Fast R-CNN

Fast R-CNN의 구조 Feature Extractor -> ROI Pooling -> Classifier & Regressor ※ ROI(Region of interest): 관심 영역
Feature extractor
R-CNN이나 SPPNet에서 사용된것과 같이 CNN을 통해 이미지의 Feature Map을 추출하는 단계이다
R-CNN을 떠올려보면 먼저 Selective Search를 이용해 이미지 하나 당 약 2000개의 RoI를 뽑아내고 이를 모두 CNN에 통과시켰기 때문에 엄청난 처리시간이 요구되었다
또한 추출된 RoI는 서로 겹치는 부분이 굉장히 많이 발생하기 때문에 같은 영역의 이미지가 CNN에 여러번 들어가게 되므로 비효율적이다
반면, Fast R-CNN은 Selective Search를 적용할 때 이미지를 잘라내는 것이 아니라 그 좌표와 크기정보만을 (r, c, h, w) 추출해 낸다
이는 이미지에 비해 굉장히 적은 용량이기 때문에 다른 저장공간을 요구하지 않는다는 장점이 있다
그리고 CNN에는 이미지 한 장 만이 들어가 공통적인 Feature Map을 추출하고, 각 RoI들은 모델을 통과하며 줄어든 크기의 비율을 따져 좌표만 변경시킨다.
이를 RoI Projection이라고 한다
ROI pooling

이미지 하나의 feature map + RoI들의좌표들을 동일한 크기로 변환하는 layer를 거친다
이를 RoI pooling layer라고 하고 한 층짜리 spatial pyramid pooling layer와 똑같다고 생각 하면 된다.
spatial pyramid pooling할 때 층층이 쌓인 피라미드가 누적되서 더 좋은 효과를 내지 못한다는 사실을 알게 되었기 때문에 굳이 하지 않게 되었다
Classifier & Regressor
Classifier는 물체가 무엇인지 구별하는 classification 역할을 하고
Regressor는 물체의 영역을 표시하기 위한 localization 역할을 한다
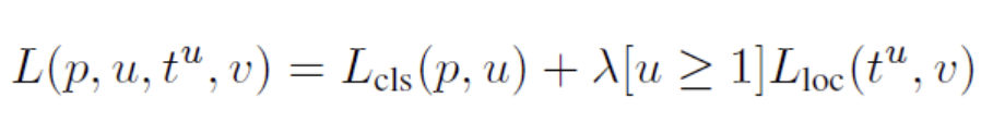
R-CNN에서는 이 둘을 따로 학습시켰지만, Fast R-CNN에서는 Multi-task loss function을 고안해서 End-to-end로 학습이 가능해 졌다

보통 기존 Loss에 새로운 Loss를 추가할 때에는 위 식처럼 덧셈으로 연결한 뒤, 새로운 Loss의 영향력을 조절하기 위해 가중치 λ를 붙여준다
Lcls는 따로 SVM을 학습시키지 않고 Classification을 하기 위한 Softmax 함수이며, Lloc는 Localization을 위한 L1 Loss 함수이다
λ는 1로 고정시켰고, [u≥1]은 'Classification 결과가 Background (u=0)이면 Lloc를 죽이고, 그렇지 않으면 살린다'는 의미이다
Bounding Box를 치고자 하는 대상은 Background가 아닌 Object이기 때문이다
R-CNN과 SPPNet에서 사용한 L2 대신 L1을 사용한 이유는 덜 민감한 함수이기 때문에 Fine Tuning을 사용하기 쉬워진다
import pandas as pd
import tensorflow as tf
air = pd.read_csv('dataset/annotations/airplane.csv', header=None, names=['filename','x1','y1','x2','y2','class'])
face = pd.read_csv('dataset/annotations/face.csv', header=None, names=['filename','x1','y1','x2','y2','class'])
motorcycle = pd.read_csv('dataset/annotations/motorcycle.csv', header=None, names=['filename','x1','y1','x2','y2','class'])
air.filename = air.filename.map(lambda x : 'airplane/'+x)
face.filename = face.filename.map(lambda x : 'face/'+x)
motorcycle.filename = motorcycle.filename.map(lambda x : 'motorcycle/'+x)
data = pd.concat([air, face, motorcycle], ignore_index=True)
data = pd.concat([data, pd.get_dummies(data['class'])], axis=1)
data.drop(columns='class',inplace=True)
data.columns[1:]
# Index(['x1', 'y1', 'x2', 'y2', 'airplane', 'face', 'motorcycle'], dtype='object')
dig = tf.keras.preprocessing.image.ImageDataGenerator() # dataframe을 바로 불러올 수 있기 때문에 imagedatagenerator를 사용한다
dig = dig.flow_from_dataframe(data, 'dataset/images/', class_mode='raw', y_col=data.columns[1:], target_size=(224,224))
# Found 2033 validated image filenames.
def flow(x):
while True:
(X,y) = next(x)
yield X, (y[:,:4],y[:,4:]) # X는 그대로, y는 4개, 3개로 분리
dfg = tf.data.Dataset.from_generator(lambda : flow(dig), output_shapes=(((None,224,224,3)), ((None,4), (None,3))),
output_types=((tf.float32), (tf.float32, tf.float32)))
next(iter(dfg))[1][0] # y값 (4개)
<tf.Tensor: shape=(32, 4), dtype=float32, numpy=
array([[113., 9., 286., 239.],
[ 61., 47., 210., 141.],
[ 41., 22., 225., 134.],
[ 39., 32., 226., 149.],
[ 53., 29., 349., 135.],
[ 49., 28., 346., 116.],
[ 53., 63., 335., 138.],
[ 32., 16., 230., 113.],
[121., 34., 314., 302.],
[ 32., 25., 228., 164.],
[ 37., 22., 233., 140.],
[ 34., 42., 230., 133.],
[ 35., 16., 230., 112.],
[ 75., 25., 259., 283.],
[ 46., 37., 342., 140.],
[180., 23., 361., 276.],
[ 38., 25., 227., 128.],
[ 38., 25., 220., 155.],
[ 44., 41., 221., 154.],
[ 42., 52., 226., 162.],
[ 61., 24., 346., 148.],
[ 62., 16., 270., 277.],
[ 31., 19., 233., 135.],
[ 49., 30., 349., 137.],
[ 65., 42., 345., 158.],
[162., 47., 414., 302.],
[ 54., 30., 345., 130.],
[ 48., 31., 350., 112.],
[ 38., 24., 224., 127.],
[ 45., 24., 237., 142.],
[ 34., 19., 230., 127.],
[ 42., 36., 231., 150.]], dtype=float32)>
next(iter(dfg))[1][1] # y값 (3개)
<tf.Tensor: shape=(32, 3), dtype=float32, numpy=
array([[0., 0., 1.],
[0., 0., 1.],
[1., 0., 0.],
[0., 1., 0.],
[0., 1., 0.],
[0., 1., 0.],
[1., 0., 0.],
[0., 0., 1.],
[1., 0., 0.],
[0., 1., 0.],
[0., 0., 1.],
[1., 0., 0.],
[0., 0., 1.],
[1., 0., 0.],
[0., 0., 1.],
[0., 0., 1.],
[1., 0., 0.],
[0., 0., 1.],
[0., 1., 0.],
[1., 0., 0.],
[1., 0., 0.],
[0., 1., 0.],
[0., 1., 0.],
[0., 0., 1.],
[1., 0., 0.],
[0., 0., 1.],
[0., 1., 0.],
[0., 1., 0.],
[1., 0., 0.],
[0., 0., 1.],
[0., 0., 1.],
[1., 0., 0.]], dtype=float32)>
vgg = tf.keras.applications.VGG16(include_top=False, input_shape=(224,224,3))
vgg.trainable = False
input_ = tf.keras.Input((224,224,3))
preprocess = tf.keras.layers.Lambda(lambda x: tf.keras.applications.vgg16.preprocess_input(x))(input_)
x = vgg(preprocess)
x = tf.keras.layers.Flatten()(x)
x = tf.keras.layers.Dense(256, activation='relu')(x)
x = tf.keras.layers.Dense(128, activation='relu')(x)
box = tf.keras.layers.Dense(64, activation='relu')(x)
box = tf.keras.layers.Dense(4, name='box',activation='relu')(box)
target = tf.keras.layers.Dense(64, activation='relu')(x)
target = tf.keras.layers.Dense(3, name='target',activation='softmax')(target)
model=tf.keras.models.Model(input_, [box,target])
loss = {
'box': tf.keras.losses.MeanAbsoluteError(),
'target': tf.keras.losses.CategoricalCrossentropy()
}
model.compile(loss=loss)
model.fit(dfg, epochs=20, steps_per_epoch=10) # 한 epoch당 10번 업데이트
Epoch 1/20
10/10 [==============================] - 199s 16s/step - loss: 90.5833 - box_loss: 80.8374 - target_loss: 9.7459
Epoch 2/20
10/10 [==============================] - 158s 16s/step - loss: 38.9525 - box_loss: 38.9085 - target_loss: 0.0441
Epoch 3/20
10/10 [==============================] - 156s 16s/step - loss: 32.4575 - box_loss: 32.4469 - target_loss: 0.0106
Epoch 4/20
10/10 [==============================] - 155s 16s/step - loss: 28.6964 - box_loss: 28.6949 - target_loss: 0.0014
Epoch 5/20
10/10 [==============================] - 153s 15s/step - loss: 28.4143 - box_loss: 28.4143 - target_loss: 6.0349e-08
Epoch 6/20
10/10 [==============================] - 158s 16s/step - loss: 27.1531 - box_loss: 27.1531 - target_loss: 2.0451e-07
Epoch 7/20
10/10 [==============================] - 62s 5s/step - loss: 22.2554 - box_loss: 22.2548 - target_loss: 6.0339e-04
Epoch 8/20
10/10 [==============================] - 3s 350ms/step - loss: 27.1756 - box_loss: 27.1756 - target_loss: 1.8626e-09
Epoch 9/20
10/10 [==============================] - 3s 344ms/step - loss: 22.8763 - box_loss: 22.8763 - target_loss: 0.0000e+00
Epoch 10/20
10/10 [==============================] - 3s 344ms/step - loss: 23.6116 - box_loss: 23.5324 - target_loss: 0.0792
Epoch 11/20
10/10 [==============================] - 3s 351ms/step - loss: 23.6213 - box_loss: 23.6213 - target_loss: 6.5937e-08
Epoch 12/20
10/10 [==============================] - 3s 349ms/step - loss: 20.9325 - box_loss: 20.9325 - target_loss: 9.6111e-08
Epoch 13/20
10/10 [==============================] - 3s 342ms/step - loss: 19.7643 - box_loss: 19.7643 - target_loss: 6.2536e-09
Epoch 14/20
10/10 [==============================] - 3s 346ms/step - loss: 21.9087 - box_loss: 21.9071 - target_loss: 0.0016
Epoch 15/20
10/10 [==============================] - 3s 348ms/step - loss: 19.8910 - box_loss: 19.8445 - target_loss: 0.0465
Epoch 16/20
10/10 [==============================] - 3s 341ms/step - loss: 18.0794 - box_loss: 18.0794 - target_loss: 2.2352e-09
Epoch 17/20
10/10 [==============================] - 3s 349ms/step - loss: 19.9182 - box_loss: 19.9182 - target_loss: 0.0000e+00
Epoch 18/20
10/10 [==============================] - 3s 337ms/step - loss: 18.0254 - box_loss: 18.0253 - target_loss: 8.1338e-05
Epoch 19/20
10/10 [==============================] - 3s 339ms/step - loss: 19.9694 - box_loss: 19.9694 - target_loss: 1.5977e-06
Epoch 20/20
10/10 [==============================] - 3s 331ms/step - loss: 17.7530 - box_loss: 17.7530 - target_loss: 3.9085e-10
model.summary()
#Model: "model"
__________________________________________________________________________________________________
Layer (type) Output Shape Param # Connected to
==================================================================================================
input_2 (InputLayer) [(None, 224, 224, 3) 0
__________________________________________________________________________________________________
lambda (Lambda) (None, 224, 224, 3) 0 input_2[0][0]
__________________________________________________________________________________________________
vgg16 (Functional) (None, 7, 7, 512) 14714688 lambda[0][0]
__________________________________________________________________________________________________
flatten (Flatten) (None, 25088) 0 vgg16[0][0]
__________________________________________________________________________________________________
dense (Dense) (None, 256) 6422784 flatten[0][0]
__________________________________________________________________________________________________
dense_1 (Dense) (None, 128) 32896 dense[0][0]
__________________________________________________________________________________________________
dense_2 (Dense) (None, 64) 8256 dense_1[0][0]
__________________________________________________________________________________________________
dense_3 (Dense) (None, 64) 8256 dense_1[0][0]
__________________________________________________________________________________________________
box (Dense) (None, 4) 260 dense_2[0][0]
__________________________________________________________________________________________________
target (Dense) (None, 3) 195 dense_3[0][0]
==================================================================================================
Total params: 21,187,335
Trainable params: 6,472,647
Non-trainable params: 14,714,688
__________________________________________________________________________________________________
tf.keras.utils.plot_model(model, rankdir='BT')

history = model.fit(dfg, epochs=20, steps_per_epoch=20)
Epoch 1/20
20/20 [==============================] - 7s 352ms/step - loss: 17.1495 - box_loss: 17.1495 - target_loss: 8.9183e-06
Epoch 2/20
20/20 [==============================] - 7s 349ms/step - loss: 16.8312 - box_loss: 16.8311 - target_loss: 1.7778e-05
Epoch 3/20
20/20 [==============================] - 7s 338ms/step - loss: 16.1163 - box_loss: 16.1148 - target_loss: 0.0015
Epoch 4/20
20/20 [==============================] - 7s 346ms/step - loss: 16.0480 - box_loss: 16.0480 - target_loss: 0.0000e+00
Epoch 5/20
20/20 [==============================] - 7s 349ms/step - loss: 16.7372 - box_loss: 16.7371 - target_loss: 1.0930e-04
Epoch 6/20
20/20 [==============================] - 7s 344ms/step - loss: 15.5043 - box_loss: 15.4865 - target_loss: 0.0177
Epoch 7/20
20/20 [==============================] - 7s 347ms/step - loss: 14.6377 - box_loss: 14.6377 - target_loss: 9.2198e-08
Epoch 8/20
20/20 [==============================] - 7s 343ms/step - loss: 14.4987 - box_loss: 14.4818 - target_loss: 0.0169
Epoch 9/20
20/20 [==============================] - 7s 344ms/step - loss: 14.9790 - box_loss: 14.9560 - target_loss: 0.0229
Epoch 10/20
20/20 [==============================] - 7s 340ms/step - loss: 13.8011 - box_loss: 13.8011 - target_loss: 0.0000e+00
Epoch 11/20
20/20 [==============================] - 7s 349ms/step - loss: 14.2557 - box_loss: 14.2554 - target_loss: 2.6677e-04
Epoch 12/20
20/20 [==============================] - 7s 338ms/step - loss: 12.9601 - box_loss: 12.9229 - target_loss: 0.0371
Epoch 13/20
20/20 [==============================] - 7s 343ms/step - loss: 13.7806 - box_loss: 13.7806 - target_loss: 0.0000e+00
Epoch 14/20
20/20 [==============================] - 7s 337ms/step - loss: 12.5579 - box_loss: 12.5379 - target_loss: 0.0200
Epoch 15/20
20/20 [==============================] - 7s 343ms/step - loss: 14.1479 - box_loss: 14.1479 - target_loss: 2.3356e-07
Epoch 16/20
20/20 [==============================] - 7s 342ms/step - loss: 12.5556 - box_loss: 12.5556 - target_loss: 3.8147e-10
Epoch 17/20
20/20 [==============================] - 7s 344ms/step - loss: 12.5946 - box_loss: 12.5944 - target_loss: 2.0212e-04
Epoch 18/20
20/20 [==============================] - 7s 340ms/step - loss: 11.9439 - box_loss: 11.9369 - target_loss: 0.0070
Epoch 19/20
20/20 [==============================] - 7s 337ms/step - loss: 12.3697 - box_loss: 12.3697 - target_loss: 3.1069e-06
Epoch 20/20
20/20 [==============================] - 7s 341ms/step - loss: 11.9605 - box_loss: 11.9605 - target_loss: 4.5287e-05
pd.DataFrame(history.history).plot.line()

im = tf.keras.preprocessing.image.load_img('dataset/images/airplane/image_0001.jpg')
import numpy as np
import matplotlib.pyplot as plt
import matplotlib.patches as mpt
bim = np.array(im.resize((224,224,)))[tf.newaxis]
model(bim)
# [<tf.Tensor: shape=(1, 4), dtype=float32, numpy=array([[ 42.0325 , 28.545605, 291.0303 , 110.72619 ]], dtype=float32)>,
# <tf.Tensor: shape=(1, 3), dtype=float32, numpy=array([[1.0000000e+00, 1.5445283e-31, 0.0000000e+00]], dtype=float32)>]
fig, ax = plt.subplots(1,1)
ax.imshow(im)
pt = mpt.Rectangle((42.0325, 28.545605),291.0303-42.0325,110.72619-28.545605,fill=False)
ax.add_patch(pt)

!pip install -U tensorflow-hub
모델 가져다 쓰는 3가지
1. tf.keras.applications
2. tensorflow hub
3. model garden
import tensorflow_hub as hub # 공개된 모델을 사용할 수 있는 Package
model = tf.keras.models.Sequential([
hub.KerasLayer('https://tfhub.dev/google/tf2-preview/mobilenet_v2/classification/4', trainable=True,
input_shape=(224,224,3))
])
# 주소에 classification가 있으면 classification전용이고 build하지 않아도 모델 안에 넣을 수 있다 (일반적으로) / 뒤에 있는 번호는 버전
model.summary()
Model: "sequential"
_________________________________________________________________
Layer (type) Output Shape Param #
=================================================================
keras_layer_1 (KerasLayer) (None, 1001) 3540265
=================================================================
Total params: 3,540,265
Trainable params: 3,506,153
Non-trainable params: 34,112
_________________________________________________________________
model = tf.keras.models.Sequential([
hub.KerasLayer('https://tfhub.dev/google/tf2-preview/mobilenet_v2/feature_vector/4', trainable=True,
input_shape=(224,224,3))
])
model.summary()
Model: "sequential_2"
_________________________________________________________________
Layer (type) Output Shape Param #
=================================================================
keras_layer_3 (KerasLayer) (None, 1280) 2257984
=================================================================
Total params: 2,257,984
Trainable params: 2,223,872
Non-trainable params: 34,112
_________________________________________________________________
mv2 = tf.keras.applications.MobileNetV2(include_top=True)
mv2.summary()
Model: "mobilenetv2_1.00_224"
__________________________________________________________________________________________________
Layer (type) Output Shape Param # Connected to
==================================================================================================
input_3 (InputLayer) [(None, 224, 224, 3) 0
__________________________________________________________________________________________________
Conv1 (Conv2D) (None, 112, 112, 32) 864 input_3[0][0]
__________________________________________________________________________________________________
bn_Conv1 (BatchNormalization) (None, 112, 112, 32) 128 Conv1[0][0]
__________________________________________________________________________________________________
Conv1_relu (ReLU) (None, 112, 112, 32) 0 bn_Conv1[0][0]
__________________________________________________________________________________________________
expanded_conv_depthwise (Depthw (None, 112, 112, 32) 288 Conv1_relu[0][0]
__________________________________________________________________________________________________
expanded_conv_depthwise_BN (Bat (None, 112, 112, 32) 128 expanded_conv_depthwise[0][0]
__________________________________________________________________________________________________
expanded_conv_depthwise_relu (R (None, 112, 112, 32) 0 expanded_conv_depthwise_BN[0][0]
__________________________________________________________________________________________________
expanded_conv_project (Conv2D) (None, 112, 112, 16) 512 expanded_conv_depthwise_relu[0][0
__________________________________________________________________________________________________
expanded_conv_project_BN (Batch (None, 112, 112, 16) 64 expanded_conv_project[0][0]
__________________________________________________________________________________________________
block_1_expand (Conv2D) (None, 112, 112, 96) 1536 expanded_conv_project_BN[0][0]
__________________________________________________________________________________________________
block_1_expand_BN (BatchNormali (None, 112, 112, 96) 384 block_1_expand[0][0]
__________________________________________________________________________________________________
block_1_expand_relu (ReLU) (None, 112, 112, 96) 0 block_1_expand_BN[0][0]
__________________________________________________________________________________________________
block_1_pad (ZeroPadding2D) (None, 113, 113, 96) 0 block_1_expand_relu[0][0]
__________________________________________________________________________________________________
block_1_depthwise (DepthwiseCon (None, 56, 56, 96) 864 block_1_pad[0][0]
__________________________________________________________________________________________________
block_1_depthwise_BN (BatchNorm (None, 56, 56, 96) 384 block_1_depthwise[0][0]
__________________________________________________________________________________________________
block_1_depthwise_relu (ReLU) (None, 56, 56, 96) 0 block_1_depthwise_BN[0][0]
__________________________________________________________________________________________________
block_1_project (Conv2D) (None, 56, 56, 24) 2304 block_1_depthwise_relu[0][0]
__________________________________________________________________________________________________
block_1_project_BN (BatchNormal (None, 56, 56, 24) 96 block_1_project[0][0]
__________________________________________________________________________________________________
block_2_expand (Conv2D) (None, 56, 56, 144) 3456 block_1_project_BN[0][0]
__________________________________________________________________________________________________
block_2_expand_BN (BatchNormali (None, 56, 56, 144) 576 block_2_expand[0][0]
__________________________________________________________________________________________________
block_2_expand_relu (ReLU) (None, 56, 56, 144) 0 block_2_expand_BN[0][0]
__________________________________________________________________________________________________
block_2_depthwise (DepthwiseCon (None, 56, 56, 144) 1296 block_2_expand_relu[0][0]
__________________________________________________________________________________________________
block_2_depthwise_BN (BatchNorm (None, 56, 56, 144) 576 block_2_depthwise[0][0]
__________________________________________________________________________________________________
block_2_depthwise_relu (ReLU) (None, 56, 56, 144) 0 block_2_depthwise_BN[0][0]
__________________________________________________________________________________________________
block_2_project (Conv2D) (None, 56, 56, 24) 3456 block_2_depthwise_relu[0][0]
__________________________________________________________________________________________________
block_2_project_BN (BatchNormal (None, 56, 56, 24) 96 block_2_project[0][0]
__________________________________________________________________________________________________
block_2_add (Add) (None, 56, 56, 24) 0 block_1_project_BN[0][0]
block_2_project_BN[0][0]
__________________________________________________________________________________________________
block_3_expand (Conv2D) (None, 56, 56, 144) 3456 block_2_add[0][0]
__________________________________________________________________________________________________
block_3_expand_BN (BatchNormali (None, 56, 56, 144) 576 block_3_expand[0][0]
__________________________________________________________________________________________________
block_3_expand_relu (ReLU) (None, 56, 56, 144) 0 block_3_expand_BN[0][0]
__________________________________________________________________________________________________
block_3_pad (ZeroPadding2D) (None, 57, 57, 144) 0 block_3_expand_relu[0][0]
__________________________________________________________________________________________________
block_3_depthwise (DepthwiseCon (None, 28, 28, 144) 1296 block_3_pad[0][0]
__________________________________________________________________________________________________
block_3_depthwise_BN (BatchNorm (None, 28, 28, 144) 576 block_3_depthwise[0][0]
__________________________________________________________________________________________________
block_3_depthwise_relu (ReLU) (None, 28, 28, 144) 0 block_3_depthwise_BN[0][0]
__________________________________________________________________________________________________
block_3_project (Conv2D) (None, 28, 28, 32) 4608 block_3_depthwise_relu[0][0]
__________________________________________________________________________________________________
block_3_project_BN (BatchNormal (None, 28, 28, 32) 128 block_3_project[0][0]
__________________________________________________________________________________________________
block_4_expand (Conv2D) (None, 28, 28, 192) 6144 block_3_project_BN[0][0]
__________________________________________________________________________________________________
block_4_expand_BN (BatchNormali (None, 28, 28, 192) 768 block_4_expand[0][0]
__________________________________________________________________________________________________
block_4_expand_relu (ReLU) (None, 28, 28, 192) 0 block_4_expand_BN[0][0]
__________________________________________________________________________________________________
block_4_depthwise (DepthwiseCon (None, 28, 28, 192) 1728 block_4_expand_relu[0][0]
__________________________________________________________________________________________________
block_4_depthwise_BN (BatchNorm (None, 28, 28, 192) 768 block_4_depthwise[0][0]
__________________________________________________________________________________________________
block_4_depthwise_relu (ReLU) (None, 28, 28, 192) 0 block_4_depthwise_BN[0][0]
__________________________________________________________________________________________________
block_4_project (Conv2D) (None, 28, 28, 32) 6144 block_4_depthwise_relu[0][0]
__________________________________________________________________________________________________
block_4_project_BN (BatchNormal (None, 28, 28, 32) 128 block_4_project[0][0]
__________________________________________________________________________________________________
block_4_add (Add) (None, 28, 28, 32) 0 block_3_project_BN[0][0]
block_4_project_BN[0][0]
__________________________________________________________________________________________________
block_5_expand (Conv2D) (None, 28, 28, 192) 6144 block_4_add[0][0]
__________________________________________________________________________________________________
block_5_expand_BN (BatchNormali (None, 28, 28, 192) 768 block_5_expand[0][0]
__________________________________________________________________________________________________
block_5_expand_relu (ReLU) (None, 28, 28, 192) 0 block_5_expand_BN[0][0]
__________________________________________________________________________________________________
block_5_depthwise (DepthwiseCon (None, 28, 28, 192) 1728 block_5_expand_relu[0][0]
__________________________________________________________________________________________________
block_5_depthwise_BN (BatchNorm (None, 28, 28, 192) 768 block_5_depthwise[0][0]
__________________________________________________________________________________________________
block_5_depthwise_relu (ReLU) (None, 28, 28, 192) 0 block_5_depthwise_BN[0][0]
__________________________________________________________________________________________________
block_5_project (Conv2D) (None, 28, 28, 32) 6144 block_5_depthwise_relu[0][0]
__________________________________________________________________________________________________
block_5_project_BN (BatchNormal (None, 28, 28, 32) 128 block_5_project[0][0]
__________________________________________________________________________________________________
block_5_add (Add) (None, 28, 28, 32) 0 block_4_add[0][0]
block_5_project_BN[0][0]
__________________________________________________________________________________________________
block_6_expand (Conv2D) (None, 28, 28, 192) 6144 block_5_add[0][0]
__________________________________________________________________________________________________
block_6_expand_BN (BatchNormali (None, 28, 28, 192) 768 block_6_expand[0][0]
__________________________________________________________________________________________________
block_6_expand_relu (ReLU) (None, 28, 28, 192) 0 block_6_expand_BN[0][0]
__________________________________________________________________________________________________
block_6_pad (ZeroPadding2D) (None, 29, 29, 192) 0 block_6_expand_relu[0][0]
__________________________________________________________________________________________________
block_6_depthwise (DepthwiseCon (None, 14, 14, 192) 1728 block_6_pad[0][0]
__________________________________________________________________________________________________
block_6_depthwise_BN (BatchNorm (None, 14, 14, 192) 768 block_6_depthwise[0][0]
__________________________________________________________________________________________________
block_6_depthwise_relu (ReLU) (None, 14, 14, 192) 0 block_6_depthwise_BN[0][0]
__________________________________________________________________________________________________
block_6_project (Conv2D) (None, 14, 14, 64) 12288 block_6_depthwise_relu[0][0]
__________________________________________________________________________________________________
block_6_project_BN (BatchNormal (None, 14, 14, 64) 256 block_6_project[0][0]
__________________________________________________________________________________________________
block_7_expand (Conv2D) (None, 14, 14, 384) 24576 block_6_project_BN[0][0]
__________________________________________________________________________________________________
block_7_expand_BN (BatchNormali (None, 14, 14, 384) 1536 block_7_expand[0][0]
__________________________________________________________________________________________________
block_7_expand_relu (ReLU) (None, 14, 14, 384) 0 block_7_expand_BN[0][0]
__________________________________________________________________________________________________
block_7_depthwise (DepthwiseCon (None, 14, 14, 384) 3456 block_7_expand_relu[0][0]
__________________________________________________________________________________________________
block_7_depthwise_BN (BatchNorm (None, 14, 14, 384) 1536 block_7_depthwise[0][0]
__________________________________________________________________________________________________
block_7_depthwise_relu (ReLU) (None, 14, 14, 384) 0 block_7_depthwise_BN[0][0]
__________________________________________________________________________________________________
block_7_project (Conv2D) (None, 14, 14, 64) 24576 block_7_depthwise_relu[0][0]
__________________________________________________________________________________________________
block_7_project_BN (BatchNormal (None, 14, 14, 64) 256 block_7_project[0][0]
__________________________________________________________________________________________________
block_7_add (Add) (None, 14, 14, 64) 0 block_6_project_BN[0][0]
block_7_project_BN[0][0]
__________________________________________________________________________________________________
block_8_expand (Conv2D) (None, 14, 14, 384) 24576 block_7_add[0][0]
__________________________________________________________________________________________________
block_8_expand_BN (BatchNormali (None, 14, 14, 384) 1536 block_8_expand[0][0]
__________________________________________________________________________________________________
block_8_expand_relu (ReLU) (None, 14, 14, 384) 0 block_8_expand_BN[0][0]
__________________________________________________________________________________________________
block_8_depthwise (DepthwiseCon (None, 14, 14, 384) 3456 block_8_expand_relu[0][0]
__________________________________________________________________________________________________
block_8_depthwise_BN (BatchNorm (None, 14, 14, 384) 1536 block_8_depthwise[0][0]
__________________________________________________________________________________________________
block_8_depthwise_relu (ReLU) (None, 14, 14, 384) 0 block_8_depthwise_BN[0][0]
__________________________________________________________________________________________________
block_8_project (Conv2D) (None, 14, 14, 64) 24576 block_8_depthwise_relu[0][0]
__________________________________________________________________________________________________
block_8_project_BN (BatchNormal (None, 14, 14, 64) 256 block_8_project[0][0]
__________________________________________________________________________________________________
block_8_add (Add) (None, 14, 14, 64) 0 block_7_add[0][0]
block_8_project_BN[0][0]
__________________________________________________________________________________________________
block_9_expand (Conv2D) (None, 14, 14, 384) 24576 block_8_add[0][0]
__________________________________________________________________________________________________
block_9_expand_BN (BatchNormali (None, 14, 14, 384) 1536 block_9_expand[0][0]
__________________________________________________________________________________________________
block_9_expand_relu (ReLU) (None, 14, 14, 384) 0 block_9_expand_BN[0][0]
__________________________________________________________________________________________________
block_9_depthwise (DepthwiseCon (None, 14, 14, 384) 3456 block_9_expand_relu[0][0]
__________________________________________________________________________________________________
block_9_depthwise_BN (BatchNorm (None, 14, 14, 384) 1536 block_9_depthwise[0][0]
__________________________________________________________________________________________________
block_9_depthwise_relu (ReLU) (None, 14, 14, 384) 0 block_9_depthwise_BN[0][0]
__________________________________________________________________________________________________
block_9_project (Conv2D) (None, 14, 14, 64) 24576 block_9_depthwise_relu[0][0]
__________________________________________________________________________________________________
block_9_project_BN (BatchNormal (None, 14, 14, 64) 256 block_9_project[0][0]
__________________________________________________________________________________________________
block_9_add (Add) (None, 14, 14, 64) 0 block_8_add[0][0]
block_9_project_BN[0][0]
__________________________________________________________________________________________________
block_10_expand (Conv2D) (None, 14, 14, 384) 24576 block_9_add[0][0]
__________________________________________________________________________________________________
block_10_expand_BN (BatchNormal (None, 14, 14, 384) 1536 block_10_expand[0][0]
__________________________________________________________________________________________________
block_10_expand_relu (ReLU) (None, 14, 14, 384) 0 block_10_expand_BN[0][0]
__________________________________________________________________________________________________
block_10_depthwise (DepthwiseCo (None, 14, 14, 384) 3456 block_10_expand_relu[0][0]
__________________________________________________________________________________________________
block_10_depthwise_BN (BatchNor (None, 14, 14, 384) 1536 block_10_depthwise[0][0]
__________________________________________________________________________________________________
block_10_depthwise_relu (ReLU) (None, 14, 14, 384) 0 block_10_depthwise_BN[0][0]
__________________________________________________________________________________________________
block_10_project (Conv2D) (None, 14, 14, 96) 36864 block_10_depthwise_relu[0][0]
__________________________________________________________________________________________________
block_10_project_BN (BatchNorma (None, 14, 14, 96) 384 block_10_project[0][0]
__________________________________________________________________________________________________
block_11_expand (Conv2D) (None, 14, 14, 576) 55296 block_10_project_BN[0][0]
__________________________________________________________________________________________________
block_11_expand_BN (BatchNormal (None, 14, 14, 576) 2304 block_11_expand[0][0]
__________________________________________________________________________________________________
block_11_expand_relu (ReLU) (None, 14, 14, 576) 0 block_11_expand_BN[0][0]
__________________________________________________________________________________________________
block_11_depthwise (DepthwiseCo (None, 14, 14, 576) 5184 block_11_expand_relu[0][0]
__________________________________________________________________________________________________
block_11_depthwise_BN (BatchNor (None, 14, 14, 576) 2304 block_11_depthwise[0][0]
__________________________________________________________________________________________________
block_11_depthwise_relu (ReLU) (None, 14, 14, 576) 0 block_11_depthwise_BN[0][0]
__________________________________________________________________________________________________
block_11_project (Conv2D) (None, 14, 14, 96) 55296 block_11_depthwise_relu[0][0]
__________________________________________________________________________________________________
block_11_project_BN (BatchNorma (None, 14, 14, 96) 384 block_11_project[0][0]
__________________________________________________________________________________________________
block_11_add (Add) (None, 14, 14, 96) 0 block_10_project_BN[0][0]
block_11_project_BN[0][0]
__________________________________________________________________________________________________
block_12_expand (Conv2D) (None, 14, 14, 576) 55296 block_11_add[0][0]
__________________________________________________________________________________________________
block_12_expand_BN (BatchNormal (None, 14, 14, 576) 2304 block_12_expand[0][0]
__________________________________________________________________________________________________
block_12_expand_relu (ReLU) (None, 14, 14, 576) 0 block_12_expand_BN[0][0]
__________________________________________________________________________________________________
block_12_depthwise (DepthwiseCo (None, 14, 14, 576) 5184 block_12_expand_relu[0][0]
__________________________________________________________________________________________________
block_12_depthwise_BN (BatchNor (None, 14, 14, 576) 2304 block_12_depthwise[0][0]
__________________________________________________________________________________________________
block_12_depthwise_relu (ReLU) (None, 14, 14, 576) 0 block_12_depthwise_BN[0][0]
__________________________________________________________________________________________________
block_12_project (Conv2D) (None, 14, 14, 96) 55296 block_12_depthwise_relu[0][0]
__________________________________________________________________________________________________
block_12_project_BN (BatchNorma (None, 14, 14, 96) 384 block_12_project[0][0]
__________________________________________________________________________________________________
block_12_add (Add) (None, 14, 14, 96) 0 block_11_add[0][0]
block_12_project_BN[0][0]
__________________________________________________________________________________________________
block_13_expand (Conv2D) (None, 14, 14, 576) 55296 block_12_add[0][0]
__________________________________________________________________________________________________
block_13_expand_BN (BatchNormal (None, 14, 14, 576) 2304 block_13_expand[0][0]
__________________________________________________________________________________________________
block_13_expand_relu (ReLU) (None, 14, 14, 576) 0 block_13_expand_BN[0][0]
__________________________________________________________________________________________________
block_13_pad (ZeroPadding2D) (None, 15, 15, 576) 0 block_13_expand_relu[0][0]
__________________________________________________________________________________________________
block_13_depthwise (DepthwiseCo (None, 7, 7, 576) 5184 block_13_pad[0][0]
__________________________________________________________________________________________________
block_13_depthwise_BN (BatchNor (None, 7, 7, 576) 2304 block_13_depthwise[0][0]
__________________________________________________________________________________________________
block_13_depthwise_relu (ReLU) (None, 7, 7, 576) 0 block_13_depthwise_BN[0][0]
__________________________________________________________________________________________________
block_13_project (Conv2D) (None, 7, 7, 160) 92160 block_13_depthwise_relu[0][0]
__________________________________________________________________________________________________
block_13_project_BN (BatchNorma (None, 7, 7, 160) 640 block_13_project[0][0]
__________________________________________________________________________________________________
block_14_expand (Conv2D) (None, 7, 7, 960) 153600 block_13_project_BN[0][0]
__________________________________________________________________________________________________
block_14_expand_BN (BatchNormal (None, 7, 7, 960) 3840 block_14_expand[0][0]
__________________________________________________________________________________________________
block_14_expand_relu (ReLU) (None, 7, 7, 960) 0 block_14_expand_BN[0][0]
__________________________________________________________________________________________________
block_14_depthwise (DepthwiseCo (None, 7, 7, 960) 8640 block_14_expand_relu[0][0]
__________________________________________________________________________________________________
block_14_depthwise_BN (BatchNor (None, 7, 7, 960) 3840 block_14_depthwise[0][0]
__________________________________________________________________________________________________
block_14_depthwise_relu (ReLU) (None, 7, 7, 960) 0 block_14_depthwise_BN[0][0]
__________________________________________________________________________________________________
block_14_project (Conv2D) (None, 7, 7, 160) 153600 block_14_depthwise_relu[0][0]
__________________________________________________________________________________________________
block_14_project_BN (BatchNorma (None, 7, 7, 160) 640 block_14_project[0][0]
__________________________________________________________________________________________________
block_14_add (Add) (None, 7, 7, 160) 0 block_13_project_BN[0][0]
block_14_project_BN[0][0]
__________________________________________________________________________________________________
block_15_expand (Conv2D) (None, 7, 7, 960) 153600 block_14_add[0][0]
__________________________________________________________________________________________________
block_15_expand_BN (BatchNormal (None, 7, 7, 960) 3840 block_15_expand[0][0]
__________________________________________________________________________________________________
block_15_expand_relu (ReLU) (None, 7, 7, 960) 0 block_15_expand_BN[0][0]
__________________________________________________________________________________________________
block_15_depthwise (DepthwiseCo (None, 7, 7, 960) 8640 block_15_expand_relu[0][0]
__________________________________________________________________________________________________
block_15_depthwise_BN (BatchNor (None, 7, 7, 960) 3840 block_15_depthwise[0][0]
__________________________________________________________________________________________________
block_15_depthwise_relu (ReLU) (None, 7, 7, 960) 0 block_15_depthwise_BN[0][0]
__________________________________________________________________________________________________
block_15_project (Conv2D) (None, 7, 7, 160) 153600 block_15_depthwise_relu[0][0]
__________________________________________________________________________________________________
block_15_project_BN (BatchNorma (None, 7, 7, 160) 640 block_15_project[0][0]
__________________________________________________________________________________________________
block_15_add (Add) (None, 7, 7, 160) 0 block_14_add[0][0]
block_15_project_BN[0][0]
__________________________________________________________________________________________________
block_16_expand (Conv2D) (None, 7, 7, 960) 153600 block_15_add[0][0]
__________________________________________________________________________________________________
block_16_expand_BN (BatchNormal (None, 7, 7, 960) 3840 block_16_expand[0][0]
__________________________________________________________________________________________________
block_16_expand_relu (ReLU) (None, 7, 7, 960) 0 block_16_expand_BN[0][0]
__________________________________________________________________________________________________
block_16_depthwise (DepthwiseCo (None, 7, 7, 960) 8640 block_16_expand_relu[0][0]
__________________________________________________________________________________________________
block_16_depthwise_BN (BatchNor (None, 7, 7, 960) 3840 block_16_depthwise[0][0]
__________________________________________________________________________________________________
block_16_depthwise_relu (ReLU) (None, 7, 7, 960) 0 block_16_depthwise_BN[0][0]
__________________________________________________________________________________________________
block_16_project (Conv2D) (None, 7, 7, 320) 307200 block_16_depthwise_relu[0][0]
__________________________________________________________________________________________________
block_16_project_BN (BatchNorma (None, 7, 7, 320) 1280 block_16_project[0][0]
__________________________________________________________________________________________________
Conv_1 (Conv2D) (None, 7, 7, 1280) 409600 block_16_project_BN[0][0]
__________________________________________________________________________________________________
Conv_1_bn (BatchNormalization) (None, 7, 7, 1280) 5120 Conv_1[0][0]
__________________________________________________________________________________________________
out_relu (ReLU) (None, 7, 7, 1280) 0 Conv_1_bn[0][0]
__________________________________________________________________________________________________
global_average_pooling2d (Globa (None, 1280) 0 out_relu[0][0]
__________________________________________________________________________________________________
predictions (Dense) (None, 1000) 1281000 global_average_pooling2d[0][0]
==================================================================================================
Total params: 3,538,984
Trainable params: 3,504,872
Non-trainable params: 34,112
__________________________________________________________________________________________________
'Computer_Science > Visual Intelligence' 카테고리의 다른 글
| 30일차 - 논문 수업 (Detection) (0) | 2021.10.24 |
|---|---|
| 29일차 - 논문 수업 (Detection) (0) | 2021.10.24 |
| 27일차 - 논문 수업 (Detection) (0) | 2021.10.24 |
| 26일차 - 논문 수업 (Detection) (0) | 2021.10.19 |
| 25일차 - 논문 수업 (Transfer Learning) (0) | 2021.10.19 |