728x90
반응형

SSD+Mobilenet v3 Object Detection 수행.

!mkdir ./pretrained
!wget -O ./pretrained/ssd_mobilenet_v3_large_coco_2020_01_14.tar.gz http://download.tensorflow.org/models/object_detection/ssd_mobilenet_v3_large_coco_2020_01_14.tar.gz
!wget -O ./pretrained/ssd_config_02.pbtxt https://gist.githubusercontent.com/dkurt/54a8e8b51beb3bd3f770b79e56927bd7/raw/2a20064a9d33b893dd95d2567da126d0ecd03e85/ssd_mobilenet_v3_large_coco_2020_01_14.pbtxt

!!tar -xvf ./pretrained/ssd_mobilenet*.tar.gz -C ./pretrained
import cv2
print(cv2.__version__)
# 4.1.2

opencv의 버전을 Upgrade한 후 dnn_DetectionModel() 사용.

!pip install opencv-python==4.5.2.54
import cv2

cv_net_m = cv2.dnn_DetectionModel('/content/pretrained/ssd_mobilenet_v3_large_coco_2020_01_14/frozen_inference_graph.pb',
                                      '/content/pretrained/ssd_config_02.pbtxt')
cv_net_m.setInputSize(320, 320)
cv_net_m.setInputScale(1.0 / 127.5)
cv_net_m.setInputMean((127.5, 127.5, 127.5))
cv_net_m.setInputSwapRB(True)

dnn_Model 객체의 detect() 메소드는 입력 이미지를 받아서 특정 confidence threshold 이상의 모든 object inference 결과를 반환.

  • class id값, confidence score값, bbox 좌표값이 arrary로 반환됨.
  • bbox 좌표값의 경우 0~1사이 값이 아니라 정수형의 위치값이 반환됨. 단 xmin, ymin, width, height 형태로 반환되므로 유의 필요.
img = cv2.imread('/content/data/beatles01.jpg')
draw_img = img.copy()

classes, confidences, boxes = cv_net_m.detect(img, confThreshold=0.5)
classes, confidences, boxes

(array([[1],
        [1],
        [1],
        [1],
        [3],
        [3],
        [3],
        [3],
        [3],
        [3],
        [1]], dtype=int32), array([[0.7795709 ],
        [0.7573837 ],
        [0.75332576],
        [0.71246046],
        [0.6756758 ],
        [0.6396257 ],
        [0.5794208 ],
        [0.5773531 ],
        [0.553491  ],
        [0.5314793 ],
        [0.50632125]], dtype=float32), array([[ 48, 258, 154, 291],
        [213, 252, 158, 298],
        [386, 266, 167, 300],
        [560, 251, 153, 322],
        [496, 226,  80,  67],
        [451, 227,  28,  21],
        [472, 226,  43,  35],
        [375, 219,  17,  17],
        [415, 220,  18,  17],
        [314, 227,  38,  23],
        [258, 259, 101, 268]], dtype=int32))
classes.shape, confidences.shape, boxes.shape
# ((11, 1), (11, 1), (11, 4))
labels_to_names = {1:'person',2:'bicycle',3:'car',4:'motorcycle',5:'airplane',6:'bus',7:'train',8:'truck',9:'boat',10:'traffic light',
                    11:'fire hydrant',12:'street sign',13:'stop sign',14:'parking meter',15:'bench',16:'bird',17:'cat',18:'dog',19:'horse',20:'sheep',
                    21:'cow',22:'elephant',23:'bear',24:'zebra',25:'giraffe',26:'hat',27:'backpack',28:'umbrella',29:'shoe',30:'eye glasses',
                    31:'handbag',32:'tie',33:'suitcase',34:'frisbee',35:'skis',36:'snowboard',37:'sports ball',38:'kite',39:'baseball bat',40:'baseball glove',
                    41:'skateboard',42:'surfboard',43:'tennis racket',44:'bottle',45:'plate',46:'wine glass',47:'cup',48:'fork',49:'knife',50:'spoon',
                    51:'bowl',52:'banana',53:'apple',54:'sandwich',55:'orange',56:'broccoli',57:'carrot',58:'hot dog',59:'pizza',60:'donut',
                    61:'cake',62:'chair',63:'couch',64:'potted plant',65:'bed',66:'mirror',67:'dining table',68:'window',69:'desk',70:'toilet',
                    71:'door',72:'tv',73:'laptop',74:'mouse',75:'remote',76:'keyboard',77:'cell phone',78:'microwave',79:'oven',80:'toaster',
                    81:'sink',82:'refrigerator',83:'blender',84:'book',85:'clock',86:'vase',87:'scissors',88:'teddy bear',89:'hair drier',90:'toothbrush',
                    91:'hair brush'}
import matplotlib.pyplot as plt

green_color=(0, 255, 0)
red_color=(0, 0, 255)

for class_id, confidence_score, box in zip(classes.flatten(), confidences.flatten(), boxes):
    if confidence_score > 0.5:
      caption = "{}: {:.4f}".format(labels_to_names[class_id], confidence_score)
      # box 반환 좌표값은 정수형 위치 좌표임. xmin, ymin, width, height임에 유의 
      cv2.rectangle(draw_img, (box[0], box[1]), (box[0]+box[2], box[1]+box[3]), color=green_color, thickness=2)
      cv2.putText(draw_img, caption, (box[0], box[1]), cv2.FONT_HERSHEY_SIMPLEX, 0.6, red_color, 2)
      print(caption, class_id, box)  

draw_img = cv2.cvtColor(draw_img, cv2.COLOR_BGR2RGB)
plt.figure(figsize=(12, 12))
plt.imshow(draw_img)

person: 0.7796 1 [ 48 258 154 291]
person: 0.7574 1 [213 252 158 298]
person: 0.7533 1 [386 266 167 300]
person: 0.7125 1 [560 251 153 322]
car: 0.6757 3 [496 226  80  67]
car: 0.6396 3 [451 227  28  21]
car: 0.5794 3 [472 226  43  35]
car: 0.5774 3 [375 219  17  17]
car: 0.5535 3 [415 220  18  17]
car: 0.5315 3 [314 227  38  23]
person: 0.5063 1 [258 259 101 268]
<matplotlib.image.AxesImage at 0x7fbc190c4950>

단일 이미지의 object detection을 함수로 생성

import time 
def get_detected_img_renew(cv_net, img_array, score_threshold, is_print=True):
    
  draw_img = img_array.copy()
   
  start = time.time()

  classes, confidences, boxes = cv_net.detect(img_array, confThreshold=0.5)
  
  green_color=(0, 255, 0)
  red_color=(0, 0, 255)

  # detected 된 object들을 iteration 하면서 정보 추출
  for class_id, confidence_score, box in zip(classes.flatten(), confidences.flatten(), boxes):
    if confidence_score > 0.5:
      caption = "{}: {:.4f}".format(labels_to_names[class_id], confidence_score)
      cv2.rectangle(draw_img, (box[0], box[1]), (box[0]+box[2], box[1]+box[3]), color=green_color, thickness=2)
      cv2.putText(draw_img, caption, (box[0], box[1]), cv2.FONT_HERSHEY_SIMPLEX, 0.6, red_color, 2)
      print(caption)
  
  if is_print:
      print('Detection 수행시간:',round(time.time() - start, 2),"초")

  return draw_img

dnn_Model을 만드는 함수 생성

## dnn_Model을 만드는 함수 생성. 
def get_cv_detection_model(pretrained_path, config_path):
  cv_net = cv2.dnn_DetectionModel(pretrained_path, config_path)
  cv_net.setInputSize(320, 320)
  cv_net.setInputScale(1.0 / 127.5)
  cv_net.setInputMean((127.5, 127.5, 127.5))
  cv_net.setInputSwapRB(True)

  return cv_net

cv_net_m = get_cv_detection_model('/content/pretrained/ssd_mobilenet_v3_large_coco_2020_01_14/frozen_inference_graph.pb',
                       '/content/pretrained/ssd_config_02.pbtxt')
img = cv2.imread('./data/beatles01.jpg')

# Object Detetion 수행 후 시각화 
draw_img = get_detected_img_renew(cv_net_m, img, score_threshold=0.5,  is_print=True)

img_rgb = cv2.cvtColor(draw_img, cv2.COLOR_BGR2RGB)

plt.figure(figsize=(12, 12))
plt.imshow(img_rgb)

# person: 0.7796
person: 0.7574
person: 0.7533
person: 0.7125
car: 0.6757
car: 0.6396
car: 0.5794
car: 0.5774
car: 0.5535
car: 0.5315
person: 0.5063
Detection 수행시간: 0.17 초

!wget -O ./data/baseball01.jpg https://raw.githubusercontent.com/chulminkw/DLCV/master/data/image/baseball01.jpg

img = cv2.imread('./data/baseball01.jpg')

# Object Detetion 수행 후 시각화 
draw_img = get_detected_img_renew(cv_net_m, img, score_threshold=0.5,  is_print=True)

img_rgb = cv2.cvtColor(draw_img, cv2.COLOR_BGR2RGB)

plt.figure(figsize=(12, 12))
plt.imshow(img_rgb)


person: 0.8579
person: 0.8535
person: 0.8509
baseball glove: 0.6942
sports ball: 0.5895
baseball bat: 0.5015
Detection 수행시간: 0.12 초

Video Inferece 수행.

!wget -O ./data/Jonh_Wick_small.mp4 https://github.com/chulminkw/DLCV/blob/master/data/video/John_Wick_small.mp4?raw=true
def do_detected_video_renew(cv_net, input_path, output_path, score_threshold, is_print):
    
    cap = cv2.VideoCapture(input_path)

    codec = cv2.VideoWriter_fourcc(*'XVID')

    vid_size = (round(cap.get(cv2.CAP_PROP_FRAME_WIDTH)),round(cap.get(cv2.CAP_PROP_FRAME_HEIGHT)))
    vid_fps = cap.get(cv2.CAP_PROP_FPS)

    vid_writer = cv2.VideoWriter(output_path, codec, vid_fps, vid_size) 

    frame_cnt = int(cap.get(cv2.CAP_PROP_FRAME_COUNT))
    print('총 Frame 갯수:', frame_cnt, )

    green_color=(0, 255, 0)
    red_color=(0, 0, 255)
    while True:
        hasFrame, img_frame = cap.read()
        if not hasFrame:
            print('더 이상 처리할 frame이 없습니다.')
            break
        
        returned_frame = get_detected_img_renew(cv_net, img_frame, score_threshold=score_threshold, is_print=True)
        vid_writer.write(returned_frame)
    # end of while loop

    vid_writer.release()
    cap.release()
do_detected_video_renew(cv_net_m, '/content/data/Jonh_Wick_small.mp4', './data/John_Wick_small_m3.mp4', 0.2, False)

Detection 수행시간: 0.12 초
person: 0.7723
car: 0.7415
car: 0.6630
person: 0.6345
person: 0.5755
person: 0.5379
person: 0.5283
car: 0.5281
person: 0.5165
car: 0.5078
person: 0.5013
Detection 수행시간: 0.11 초
person: 0.7713
car: 0.7474
car: 0.6665
person: 0.6326
person: 0.5710
person: 0.5382
person: 0.5300
car: 0.5279
person: 0.5178
person: 0.5146
car: 0.5085
Detection 수행시간: 0.11 초
person: 0.7318
car: 0.7291
car: 0.7254
person: 0.7085
car: 0.6152
person: 0.5985
car: 0.5417
person: 0.5402
Detection 수행시간: 0.11 초
person: 0.7599
car: 0.7229
car: 0.7176
person: 0.6913
person: 0.6340
car: 0.5954
car: 0.5493
car: 0.5431
bicycle: 0.5312
person: 0.5130
Detection 수행시간: 0.11 초
person: 0.7522
car: 0.7364
car: 0.7213
car: 0.6430
person: 0.6416
person: 0.6216
car: 0.5797
bicycle: 0.5395
person: 0.5202
car: 0.5138
bicycle: 0.5034
Detection 수행시간: 0.12 초
더 이상 처리할 frame이 없습니다.

 

 

 

반응형
728x90
반응형

OpenCV DNN을 이용하여 SSD 기반 Object Detection 수행

  • Tensorflow 에서 Pretrained 된 모델 파일을 OpenCV에서 로드하여 이미지와 영상에 대한 Object Detection 수행.
  • SSD+Inception과 SSD+MobileNet v3 를 모두 테스트
  • CPU기반 환경에서 SSD의 Inference 속도 주시.

입력 이미지로 사용될 이미지 다운로드

!mkdir /content/data
!wget -O ./data/beatles01.jpg https://raw.githubusercontent.com/chulminkw/DLCV/master/data/image/beatles01.jpg

Tensorflow에서 Pretrained 된 Inference모델(Frozen graph)와 환경파일을 다운로드 받은 후 이를 이용해 OpenCV에서 Inference 모델 생성

!mkdir ./pretrained

!wget -O ./pretrained/ssd_inception_v2_coco_2017_11_17.tar.gz http://download.tensorflow.org/models/object_detection/ssd_inception_v2_coco_2017_11_17.tar.gz 
!wget -O ./pretrained/ssd_config_01.pbtxt  https://raw.githubusercontent.com/opencv/opencv_extra/master/testdata/dnn/ssd_inception_v2_coco_2017_11_17.pbtxt

!tar -xvf ./pretrained/ssd_inception*.tar.gz -C ./pretrained
!pwd
!ls -lia ./pretrained/ssd_inception*

# /content
# 6160390 -rw-r--r-- 1 root   root 278126337 Nov 18  2017 ./pretrained/ssd_inception_v2_coco_2017_11_17.tar.gz
# 
# ./pretrained/ssd_inception_v2_coco_2017_11_17:
# total 201120
# 6160392 drwxr-x--- 3 275875 5000      4096 Nov 18  2017 .
# 6160389 drwxr-xr-x 3 root   root      4096 Oct 20 14:02 ..
# 6170292 -rw-r----- 1 275875 5000        77 Nov 18  2017 checkpoint
# 6170280 -rw-r----- 1 275875 5000 101987441 Nov 18  2017 frozen_inference_graph.pb
# 6170281 -rw-r----- 1 275875 5000 100214372 Nov 18  2017 model.ckpt.data-00000-of-00001
# 6160393 -rw-r----- 1 275875 5000     18073 Nov 18  2017 model.ckpt.index
# 6170279 -rw-r----- 1 275875 5000   3701354 Nov 18  2017 model.ckpt.meta
# 6170282 drwxr-x--- 3 275875 5000      4096 Nov 18  2017 saved_model

dnn에서 readNetFromTensorflow()로 tensorflow inference 모델을 로딩

import cv2

cv_net = cv2.dnn.readNetFromTensorflow('/content/pretrained/ssd_inception_v2_coco_2017_11_17/frozen_inference_graph.pb',
                                      '/content/pretrained/ssd_config_01.pbtxt')

coco 데이터 세트의 클래스id별 클래스명 지정.

labels_to_names = {1:'person',2:'bicycle',3:'car',4:'motorcycle',5:'airplane',6:'bus',7:'train',8:'truck',9:'boat',10:'traffic light',
                    11:'fire hydrant',12:'street sign',13:'stop sign',14:'parking meter',15:'bench',16:'bird',17:'cat',18:'dog',19:'horse',20:'sheep',
                    21:'cow',22:'elephant',23:'bear',24:'zebra',25:'giraffe',26:'hat',27:'backpack',28:'umbrella',29:'shoe',30:'eye glasses',
                    31:'handbag',32:'tie',33:'suitcase',34:'frisbee',35:'skis',36:'snowboard',37:'sports ball',38:'kite',39:'baseball bat',40:'baseball glove',
                    41:'skateboard',42:'surfboard',43:'tennis racket',44:'bottle',45:'plate',46:'wine glass',47:'cup',48:'fork',49:'knife',50:'spoon',
                    51:'bowl',52:'banana',53:'apple',54:'sandwich',55:'orange',56:'broccoli',57:'carrot',58:'hot dog',59:'pizza',60:'donut',
                    61:'cake',62:'chair',63:'couch',64:'potted plant',65:'bed',66:'mirror',67:'dining table',68:'window',69:'desk',70:'toilet',
                    71:'door',72:'tv',73:'laptop',74:'mouse',75:'remote',76:'keyboard',77:'cell phone',78:'microwave',79:'oven',80:'toaster',
                    81:'sink',82:'refrigerator',83:'blender',84:'book',85:'clock',86:'vase',87:'scissors',88:'teddy bear',89:'hair drier',90:'toothbrush',
                    91:'hair brush'}

이미지를 preprocessing 수행하여 Network에 입력하고 Object Detection 수행 후 결과를 이미지에 시각화

import matplotlib.pyplot as plt
import cv2

img = cv2.imread('/content/data/beatles01.jpg')

# 원본 이미지 (633, 806)를 네트웍에 입력시에는 (300, 300)로 resize 함. 
# 이후 결과가 출력되면 resize된 이미지 기반으로 bounding box 위치가 예측 되므로 이를 다시 원복하기 위해 원본 이미지 shape정보 필요
rows = img.shape[0]
cols = img.shape[1]
# cv2의 rectangle()은 인자로 들어온 이미지 배열에 직접 사각형을 업데이트 하므로 그림 표현을 위한 별도의 이미지 배열 생성. 
draw_img = img.copy()

# 원본 이미지 배열을 사이즈 (300, 300)으로, BGR을 RGB로 변환하여 배열 입력
cv_net.setInput(cv2.dnn.blobFromImage(img,  size=(300, 300), swapRB=True, crop=False))
# Object Detection 수행하여 결과를 cv_out으로 반환 
cv_out = cv_net.forward()
print(cv_out.shape)

# bounding box의 테두리와 caption 글자색 지정
green_color=(0, 255, 0)
red_color=(0, 0, 255)

# detected 된 object들을 iteration 하면서 정보 추출
for detection in cv_out[0,0,:,:]:
    score = float(detection[2])
    class_id = int(detection[1])
    # detected된 object들의 score가 0.4 이상만 추출
    if score > 0.4:
        # detected된 object들은 image 크기가 (300, 300)으로 scale된 기준으로 예측되었으므로 다시 원본 이미지 비율로 계산
        left = detection[3] * cols
        top = detection[4] * rows
        right = detection[5] * cols
        bottom = detection[6] * rows
        # labels_to_names 딕셔너리로 class_id값을 클래스명으로 변경. opencv에서는 class_id + 1로 매핑해야함.
        caption = "{}: {:.4f}".format(labels_to_names[class_id], score)
        
        #cv2.rectangle()은 인자로 들어온 draw_img에 사각형을 그림. 위치 인자는 반드시 정수형.
        cv2.rectangle(draw_img, (int(left), int(top)), (int(right), int(bottom)), color=green_color, thickness=2)
        cv2.putText(draw_img, caption, (int(left), int(top - 5)), cv2.FONT_HERSHEY_SIMPLEX, 0.7, red_color, 2)
        print(caption, class_id)

img_rgb = cv2.cvtColor(draw_img, cv2.COLOR_BGR2RGB)

plt.figure(figsize=(12, 12))
plt.imshow(img_rgb)

(1, 1, 100, 7)
person: 0.9696 1
person: 0.9660 1
person: 0.8916 1
person: 0.6298 1
car: 0.8609 3
car: 0.7223 3
car: 0.7184 3
car: 0.7095 3
car: 0.5949 3
car: 0.5511 3
<matplotlib.image.AxesImage at 0x7fd72d12b4d0>

단일 이미지의 object detection을 함수로 생성

import time

def get_detected_img(cv_net, img_array, score_threshold, is_print=True):
    
    rows = img_array.shape[0]
    cols = img_array.shape[1]
    
    draw_img = img_array.copy()
    
    cv_net.setInput(cv2.dnn.blobFromImage(img_array, size=(300, 300), swapRB=True, crop=False))
    
    start = time.time()
    cv_out = cv_net.forward()
    
    green_color=(0, 255, 0)
    red_color=(0, 0, 255)

    # detected 된 object들을 iteration 하면서 정보 추출
    for detection in cv_out[0,0,:,:]:
        score = float(detection[2])
        class_id = int(detection[1])
        # detected된 object들의 score가 0.4 이상만 추출
        if score > score_threshold:
            # detected된 object들은 image 크기가 (300, 300)으로 scale된 기준으로 예측되었으므로 다시 원본 이미지 비율로 계산
            left = detection[3] * cols
            top = detection[4] * rows
            right = detection[5] * cols
            bottom = detection[6] * rows
            # labels_to_names 딕셔너리로 class_id값을 클래스명으로 변경. opencv에서는 class_id + 1로 매핑해야함.
            caption = "{}: {:.4f}".format(labels_to_names[class_id], score)

            #cv2.rectangle()은 인자로 들어온 draw_img에 사각형을 그림. 위치 인자는 반드시 정수형.
            cv2.rectangle(draw_img, (int(left), int(top)), (int(right), int(bottom)), color=green_color, thickness=2)
            cv2.putText(draw_img, caption, (int(left), int(top - 5)), cv2.FONT_HERSHEY_SIMPLEX, 0.7, red_color, 2)
    if is_print:
        print('Detection 수행시간:',round(time.time() - start, 2),"초")

    return draw_img
# image 로드 
img = cv2.imread('/content/data/beatles01.jpg')

#coco dataset 클래스명 매핑

# Object Detetion 수행 후 시각화 
draw_img = get_detected_img(cv_net, img, score_threshold=0.4, is_print=True)

img_rgb = cv2.cvtColor(draw_img, cv2.COLOR_BGR2RGB)

plt.figure(figsize=(12, 12))
plt.imshow(img_rgb)

# Detection 수행시간: 0.47 초

!wget -O ./data/baseball01.jpg https://raw.githubusercontent.com/chulminkw/DLCV/master/data/image/baseball01.jpg

img = cv2.imread('/content/data/baseball01.jpg')

#coco dataset 클래스명 매핑

# Object Detetion 수행 후 시각화 
draw_img = get_detected_img(cv_net, img, score_threshold=0.4, is_print=True)

img_rgb = cv2.cvtColor(draw_img, cv2.COLOR_BGR2RGB)

plt.figure(figsize=(12, 12))
plt.imshow(img_rgb)

# Detection 수행시간: 0.38 초

Video Object Detection 수행

!wget -O ./data/Jonh_Wick_small.mp4 https://github.com/chulminkw/DLCV/blob/master/data/video/John_Wick_small.mp4?raw=true

VideoCapture와 VideoWriter 설정하고 Video Detection용 전용 함수 생성

  • VideoCapture를 이용하여 Video를 frame별로 capture 할 수 있도록 설정
  • VideoCapture의 속성을 이용하여 Video Frame의 크기 및 FPS 설정.
  • VideoWriter를 위한 인코딩 코덱 설정 및 영상 write를 위한 설정 총 Frame 별로 iteration 하면서 Object Detection 수행. 개별 frame별로 단일 이미지 Object Detection과 유사
def do_detected_video(cv_net, input_path, output_path, score_threshold, is_print):
    
    cap = cv2.VideoCapture(input_path)

    codec = cv2.VideoWriter_fourcc(*'XVID')

    vid_size = (round(cap.get(cv2.CAP_PROP_FRAME_WIDTH)),round(cap.get(cv2.CAP_PROP_FRAME_HEIGHT)))
    vid_fps = cap.get(cv2.CAP_PROP_FPS)

    vid_writer = cv2.VideoWriter(output_path, codec, vid_fps, vid_size) 

    frame_cnt = int(cap.get(cv2.CAP_PROP_FRAME_COUNT))
    print('총 Frame 갯수:', frame_cnt, )

    green_color=(0, 255, 0)
    red_color=(0, 0, 255)
    while True:
        hasFrame, img_frame = cap.read()
        if not hasFrame:
            print('더 이상 처리할 frame이 없습니다.')
            break
        
        returned_frame = get_detected_img(cv_net, img_frame, score_threshold=score_threshold, is_print=True)
        vid_writer.write(returned_frame)
    # end of while loop

    vid_writer.release()
    cap.release()
do_detected_video(cv_net, '/content/data/Jonh_Wick_small.mp4', './data/John_Wick_small_incept.mp4', 0.2, False)
총 Frame 갯수: 58
Detection 수행시간: 0.38 초
Detection 수행시간: 0.4 초
Detection 수행시간: 0.37 초
Detection 수행시간: 0.38 초
Detection 수행시간: 0.36 초
Detection 수행시간: 0.38 초
Detection 수행시간: 0.39 초
Detection 수행시간: 0.38 초
Detection 수행시간: 0.39 초
Detection 수행시간: 0.37 초
Detection 수행시간: 0.4 초
Detection 수행시간: 0.37 초
Detection 수행시간: 0.36 초
Detection 수행시간: 0.35 초
Detection 수행시간: 0.37 초
Detection 수행시간: 0.36 초
Detection 수행시간: 0.38 초
Detection 수행시간: 0.36 초
Detection 수행시간: 0.36 초
Detection 수행시간: 0.36 초
Detection 수행시간: 0.37 초
Detection 수행시간: 0.38 초
Detection 수행시간: 0.38 초
Detection 수행시간: 0.37 초
Detection 수행시간: 0.38 초
Detection 수행시간: 0.37 초
Detection 수행시간: 0.38 초
Detection 수행시간: 0.39 초
Detection 수행시간: 0.39 초
Detection 수행시간: 0.39 초
Detection 수행시간: 0.37 초
Detection 수행시간: 0.38 초
Detection 수행시간: 0.38 초
Detection 수행시간: 0.37 초
Detection 수행시간: 0.38 초
Detection 수행시간: 0.38 초
Detection 수행시간: 0.4 초
Detection 수행시간: 0.39 초
Detection 수행시간: 0.37 초
Detection 수행시간: 0.38 초
Detection 수행시간: 0.38 초
Detection 수행시간: 0.37 초
Detection 수행시간: 0.37 초
Detection 수행시간: 0.36 초
Detection 수행시간: 0.36 초
Detection 수행시간: 0.37 초
Detection 수행시간: 0.36 초
Detection 수행시간: 0.36 초
Detection 수행시간: 0.36 초
Detection 수행시간: 0.36 초
Detection 수행시간: 0.36 초
Detection 수행시간: 0.37 초
Detection 수행시간: 0.36 초
Detection 수행시간: 0.37 초
Detection 수행시간: 0.36 초
Detection 수행시간: 0.36 초
Detection 수행시간: 0.37 초
Detection 수행시간: 0.37 초
더 이상 처리할 frame이 없습니다.

 

반응형
728x90
반응형

* tensorflow는 VGG대신 Resnet, inception을 씀, 혹은 mobilenet을 써서 detection 시간 줄이기도 함

 

# 각 다른 scale의 feature map에서 classifier를 구성하고 각 classifiers를 최종적으로 종합하는 구조임.

- object detecting 할 수 있는 Default box정보를 전달함

   => faster RCNN의 anchor box와 동일함

 

# anchor box 정보를 학습하는 방법

- 각각 feature map에서 3x3 cnn연산을 함

=> (4 : 개별 anchor box가 채워야하는 정보(class 개수 pascal 20개), 좌표 3개 ) x (4 : anchor box 개수) // * faster rcnn은 9개

 

# NMS

- 결과적으로 8732가 모였는데 너무 많으니 non-maximum suppression으로 가장 유력한 것만 남김

 

# Anchor box를 활용해서 convolution predictor for detection

(512, 38, 38) 으로 3x3 연산을 하는데 20여개의 class + bg 1개 object 확률(cs), 4개 좌표

# SSD의 multi scale Feature Map과 Anchor box 적용

8x8 feature map

- 4개의 anchorbox 중에 ground box와 매칭되는게 2개

- 매칭기준은 iou가 몇 이상인가

- 큰 개는 anchor box 내에 안들어와서 매칭이 안됨

 

4x4 feature map

- feature map이 추상화되어 scale이 작아지니 anchorbox가 매칭할 수 있게 됨.

 

feature map이 줄어드는 과정에서 anchor box와 ground box의 간격을 줄여나가는 계산을 함.

 

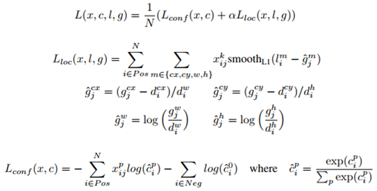
SSD Training

 n : matched anchorbox 개수, 

Matching 전략 

- bounding box와 겹치는 IOU가 0.5dltkddls anchor box 들의 classification과 bounding box Regression을 최적화 학습 수행.

 

 

 

위치 offset을 줄이도록 계속 weight를 갱신하여 줄여 냄.

 

 

 

# performance

- Data augmentation의 영향이 큼

- one-stage detector는 작은 object에 대한 성능이 떨어짐 => feature pyramid, retinanet로 개선

 augmentation을 하고나서 작은 데이터에 대한 성능이 높아졌다.

- 큰 화면, 선명도 좋은 이미지 등

 

반응형
728x90
반응형

 

 

Image pyramid

object를 인식하기 위해 window scale에 변화도 줘는 와중에

image scale을 조정하게 됨, image가 점차 작아지면 window scale은 상대적으로 커져서 같은 크기로 큰 object를 찾을 수 있음

sliding window가 작은 상태에서 보면 IOU가 너무 작은 상태로 나와서 의미가 없는 수치임.

 

feature map이 작아지면서 추상화됨. 추상화된 상태에서 detect 하면 큰 것도 찾을 수 있음

=> 그 결과를 합침

 

 

Anchor box를 활용한 object detection

feature map에서 활성화된 상태에서 anchor box로 1) feature map영역에서의 object 클래스 분류 2) gtbox위치를 예측할 수 있도록 수정된 좌표 등 정보 학습

 이상태에서 test data가 들어오면 예측

 

개별 anchor box별로 detectin 하려는 object 유형 softmax값, 수정 좌표값

 

반응형
728x90
반응형

two stage의 큰 차이는 Region Proposal로 영역 추천하는 단계가 있는가의 차이이다.

- selective search

- RPN

- anchor box

=> feature map을 object detector에게 보내서 예측 수행

 

하지만 최신모델인 faster RCNN도 수행속도가 7fpn이나 걸린다.

 

그래서 시간을 줄이기 위해 one step detector 연구가 시작됨

 

=> yolo가 등장하는데 4배의 시간단축 성공함. 하지만 mAP가 떨어짐

이후의 SSD는 당시 YOLO보다 수행속도도 빠르고 mAP도 높은 모델로 등장함.

그리고 YOLO는 독자적인 모델로 지속적으로 개선을 해냄. V5까지

RetinaNet은 수행속도는 조금 낮지만 정밀도에 집중한 모델

fps가 높을수록 빠른 수행속도, mAP가 높을수록 높은 정밀도

 

 

 

SSD Network 구조

VGG같은 CNN으로 결과로 나온 scale이 작은 feature map에서 추출한 anchor box에 기반한 detection model 임

 

주요구성요소로 1) MultiScale Feature Layer, 2) Default(Anchor) Box 등임

특히 Default Anchor box가 one step detector에 큰영향을 끼침

 

 

 

 

 

 

 

 

 

 

반응형
728x90
반응형

테스트 데이터 세트에 Inference 및 Evaluation 적용하기

  • 런타임 다시 시작 수행 필요(버그?)
  • tools/test.py 스크립트는 colab에서 오류 발생
  • 테스트용 Dataset과 DataLoader생성하고 single_gpu_test()를 호출하여 inference 결과를 반환. batch_size를 1로 설정하지 않으면 single_gpu_test() 오류 발생.
### 아래는 런타임 다시 시작 후 실행

from mmcv import Config
from mmdet.datasets.builder import DATASETS
from mmdet.datasets.coco import CocoDataset
from mmdet.apis import set_random_seed

@DATASETS.register_module(force=True)
class BCCDDataset(CocoDataset):
  CLASSES = ('WBC', 'RBC', 'Platelets') 

config_file = '/content/mmdetection/configs/faster_rcnn/faster_rcnn_r50_fpn_1x_coco.py'
checkpoint_file = '/content/mmdetection/checkpoints/faster_rcnn_r50_fpn_1x_coco_20200130-047c8118.pth'

cfg = Config.fromfile(config_file)

# dataset에 대한 환경 파라미터 수정. 
cfg.dataset_type = 'BCCDDataset'
cfg.data_root = '/content/BCCD_Dataset/BCCD/'

# train, val, test dataset에 대한 type, data_root, ann_file, img_prefix 환경 파라미터 수정. 
cfg.data.train.type = 'BCCDDataset'
cfg.data.train.data_root = '/content/BCCD_Dataset/BCCD/'
cfg.data.train.ann_file = 'train.json'
cfg.data.train.img_prefix = 'JPEGImages'

cfg.data.val.type = 'BCCDDataset'
cfg.data.val.data_root = '/content/BCCD_Dataset/BCCD/'
cfg.data.val.ann_file = 'val.json'
cfg.data.val.img_prefix = 'JPEGImages'

cfg.data.test.type = 'BCCDDataset'
cfg.data.test.data_root = '/content/BCCD_Dataset/BCCD/'
cfg.data.test.ann_file = 'test.json'
cfg.data.test.img_prefix = 'JPEGImages'

# class의 갯수 수정. 
cfg.model.roi_head.bbox_head.num_classes = 3
# pretrained 모델
cfg.load_from = '/content/mmdetection/checkpoints/faster_rcnn_r50_fpn_1x_coco_20200130-047c8118.pth'

# 학습 weight 파일로 로그를 저장하기 위한 디렉토리 설정. 
cfg.work_dir = './tutorial_exps'

# 학습율 변경 환경 파라미터 설정. 
cfg.optimizer.lr = 0.02 / 8
cfg.lr_config.warmup = None
cfg.log_config.interval = 10

# CocoDataset의 경우 metric을 bbox로 설정해야 함.(mAP아님. bbox로 설정하면 mAP를 iou threshold를 0.5 ~ 0.95까지 변경하면서 측정)
cfg.evaluation.metric = 'bbox'
cfg.evaluation.interval = 12
cfg.checkpoint_config.interval = 12

# bug(?)로 인해 test용 dataset evaluation 시 1로 설정. data loader에서 GPU갯수별 Batch size 임. 
cfg.data.samples_per_gpu = 1

# 두번 config를 로드하면 lr_config의 policy가 사라지는 오류로 인하여 설정. 
cfg.lr_config.policy='step'
# Set seed thus the results are more reproducible
cfg.seed = 0
set_random_seed(0, deterministic=False)
cfg.gpu_ids = range(1)
print(cfg.pretty_text)


#model = dict(
    type='FasterRCNN',
    backbone=dict(
        type='ResNet',
        depth=50,
        num_stages=4,
        out_indices=(0, 1, 2, 3),
        frozen_stages=1,
        norm_cfg=dict(type='BN', requires_grad=True),
        norm_eval=True,
        style='pytorch',
        init_cfg=dict(type='Pretrained', checkpoint='torchvision://resnet50')),
    neck=dict(
        type='FPN',
        in_channels=[256, 512, 1024, 2048],
        out_channels=256,
        num_outs=5),
    rpn_head=dict(
        type='RPNHead',
        in_channels=256,
        feat_channels=256,
        anchor_generator=dict(
            type='AnchorGenerator',
            scales=[8],
            ratios=[0.5, 1.0, 2.0],
            strides=[4, 8, 16, 32, 64]),
        bbox_coder=dict(
            type='DeltaXYWHBBoxCoder',
            target_means=[0.0, 0.0, 0.0, 0.0],
            target_stds=[1.0, 1.0, 1.0, 1.0]),
        loss_cls=dict(
            type='CrossEntropyLoss', use_sigmoid=True, loss_weight=1.0),
        loss_bbox=dict(type='L1Loss', loss_weight=1.0)),
    roi_head=dict(
        type='StandardRoIHead',
        bbox_roi_extractor=dict(
            type='SingleRoIExtractor',
            roi_layer=dict(type='RoIAlign', output_size=7, sampling_ratio=0),
            out_channels=256,
            featmap_strides=[4, 8, 16, 32]),
        bbox_head=dict(
            type='Shared2FCBBoxHead',
            in_channels=256,
            fc_out_channels=1024,
            roi_feat_size=7,
            num_classes=3,
            bbox_coder=dict(
                type='DeltaXYWHBBoxCoder',
                target_means=[0.0, 0.0, 0.0, 0.0],
                target_stds=[0.1, 0.1, 0.2, 0.2]),
            reg_class_agnostic=False,
            loss_cls=dict(
                type='CrossEntropyLoss', use_sigmoid=False, loss_weight=1.0),
            loss_bbox=dict(type='L1Loss', loss_weight=1.0))),
    train_cfg=dict(
        rpn=dict(
            assigner=dict(
                type='MaxIoUAssigner',
                pos_iou_thr=0.7,
                neg_iou_thr=0.3,
                min_pos_iou=0.3,
                match_low_quality=True,
                ignore_iof_thr=-1),
            sampler=dict(
                type='RandomSampler',
                num=256,
                pos_fraction=0.5,
                neg_pos_ub=-1,
                add_gt_as_proposals=False),
            allowed_border=-1,
            pos_weight=-1,
            debug=False),
        rpn_proposal=dict(
            nms_pre=2000,
            max_per_img=1000,
            nms=dict(type='nms', iou_threshold=0.7),
            min_bbox_size=0),
        rcnn=dict(
            assigner=dict(
                type='MaxIoUAssigner',
                pos_iou_thr=0.5,
                neg_iou_thr=0.5,
                min_pos_iou=0.5,
                match_low_quality=False,
                ignore_iof_thr=-1),
            sampler=dict(
                type='RandomSampler',
                num=512,
                pos_fraction=0.25,
                neg_pos_ub=-1,
                add_gt_as_proposals=True),
            pos_weight=-1,
            debug=False)),
    test_cfg=dict(
        rpn=dict(
            nms_pre=1000,
            max_per_img=1000,
            nms=dict(type='nms', iou_threshold=0.7),
            min_bbox_size=0),
        rcnn=dict(
            score_thr=0.05,
            nms=dict(type='nms', iou_threshold=0.5),
            max_per_img=100)))
dataset_type = 'BCCDDataset'
data_root = '/content/BCCD_Dataset/BCCD/'
img_norm_cfg = dict(
    mean=[123.675, 116.28, 103.53], std=[58.395, 57.12, 57.375], to_rgb=True)
train_pipeline = [
    dict(type='LoadImageFromFile'),
    dict(type='LoadAnnotations', with_bbox=True),
    dict(type='Resize', img_scale=(1333, 800), keep_ratio=True),
    dict(type='RandomFlip', flip_ratio=0.5),
    dict(
        type='Normalize',
        mean=[123.675, 116.28, 103.53],
        std=[58.395, 57.12, 57.375],
        to_rgb=True),
    dict(type='Pad', size_divisor=32),
    dict(type='DefaultFormatBundle'),
    dict(type='Collect', keys=['img', 'gt_bboxes', 'gt_labels'])
]
test_pipeline = [
    dict(type='LoadImageFromFile'),
    dict(
        type='MultiScaleFlipAug',
        img_scale=(1333, 800),
        flip=False,
        transforms=[
            dict(type='Resize', keep_ratio=True),
            dict(type='RandomFlip'),
            dict(
                type='Normalize',
                mean=[123.675, 116.28, 103.53],
                std=[58.395, 57.12, 57.375],
                to_rgb=True),
            dict(type='Pad', size_divisor=32),
            dict(type='ImageToTensor', keys=['img']),
            dict(type='Collect', keys=['img'])
        ])
]
data = dict(
    samples_per_gpu=1,
    workers_per_gpu=2,
    train=dict(
        type='BCCDDataset',
        ann_file='train.json',
        img_prefix='JPEGImages',
        pipeline=[
            dict(type='LoadImageFromFile'),
            dict(type='LoadAnnotations', with_bbox=True),
            dict(type='Resize', img_scale=(1333, 800), keep_ratio=True),
            dict(type='RandomFlip', flip_ratio=0.5),
            dict(
                type='Normalize',
                mean=[123.675, 116.28, 103.53],
                std=[58.395, 57.12, 57.375],
                to_rgb=True),
            dict(type='Pad', size_divisor=32),
            dict(type='DefaultFormatBundle'),
            dict(type='Collect', keys=['img', 'gt_bboxes', 'gt_labels'])
        ],
        data_root='/content/BCCD_Dataset/BCCD/'),
    val=dict(
        type='BCCDDataset',
        ann_file='val.json',
        img_prefix='JPEGImages',
        pipeline=[
            dict(type='LoadImageFromFile'),
            dict(
                type='MultiScaleFlipAug',
                img_scale=(1333, 800),
                flip=False,
                transforms=[
                    dict(type='Resize', keep_ratio=True),
                    dict(type='RandomFlip'),
                    dict(
                        type='Normalize',
                        mean=[123.675, 116.28, 103.53],
                        std=[58.395, 57.12, 57.375],
                        to_rgb=True),
                    dict(type='Pad', size_divisor=32),
                    dict(type='ImageToTensor', keys=['img']),
                    dict(type='Collect', keys=['img'])
                ])
        ],
        data_root='/content/BCCD_Dataset/BCCD/'),
    test=dict(
        type='BCCDDataset',
        ann_file='test.json',
        img_prefix='JPEGImages',
        pipeline=[
            dict(type='LoadImageFromFile'),
            dict(
                type='MultiScaleFlipAug',
                img_scale=(1333, 800),
                flip=False,
                transforms=[
                    dict(type='Resize', keep_ratio=True),
                    dict(type='RandomFlip'),
                    dict(
                        type='Normalize',
                        mean=[123.675, 116.28, 103.53],
                        std=[58.395, 57.12, 57.375],
                        to_rgb=True),
                    dict(type='Pad', size_divisor=32),
                    dict(type='ImageToTensor', keys=['img']),
                    dict(type='Collect', keys=['img'])
                ])
        ],
        data_root='/content/BCCD_Dataset/BCCD/'))
evaluation = dict(interval=12, metric='bbox')
optimizer = dict(type='SGD', lr=0.0025, momentum=0.9, weight_decay=0.0001)
optimizer_config = dict(grad_clip=None)
lr_config = dict(
    policy='step',
    warmup=None,
    warmup_iters=500,
    warmup_ratio=0.001,
    step=[8, 11])
runner = dict(type='EpochBasedRunner', max_epochs=12)
checkpoint_config = dict(interval=12)
log_config = dict(interval=10, hooks=[dict(type='TextLoggerHook')])
custom_hooks = [dict(type='NumClassCheckHook')]
dist_params = dict(backend='nccl')
log_level = 'INFO'
load_from = '/content/mmdetection/checkpoints/faster_rcnn_r50_fpn_1x_coco_20200130-047c8118.pth'
resume_from = None
workflow = [('train', 1)]
work_dir = './tutorial_exps'
seed = 0
gpu_ids = range(0, 1)
cfg.dump('/content/tutorial_exps/bccd_faster_rcnn_conf.py')
!mkdir -p /content/show_test_output
# tools/test.py 는 colab에서 제대로 동작하지 않음. 
%cd /content/mmdetection
!python tools/test.py /content/tutorial_exps/bccd_faster_rcnn_conf.py /content/tutorial_exps/epoch_12.pth \
--eval 'bbox' \
--show-dir /content/show_test_output

# /content/mmdetection
# Traceback (most recent call last):
#   File "tools/test.py", line 238, in <module>
#     main()
#   File "tools/test.py", line 177, in main
#     dataset = build_dataset(cfg.data.test)
#   File "/usr/local/lib/python3.7/dist-packages/mmdet-2.17.0-py3.7.egg/mmdet/datasets/builder.py", line 78, in build_dataset
#     dataset = build_from_cfg(cfg, DATASETS, default_args)
#   File "/usr/local/lib/python3.7/dist-packages/mmcv/utils/registry.py", line 45, in build_from_cfg
#     f'{obj_type} is not in the {registry.name} registry')
# KeyError: 'BCCDDataset is not in the dataset registry'

테스트용 dataset와 dataloader를 별도로 설정하고 trained된 checkpoint 모델을 로딩하여 test 수행.

from mmdet.datasets import (build_dataloader, build_dataset,
                            replace_ImageToTensor)

# test용 Dataset과 DataLoader 생성. 
# build_dataset()호출 시 list로 감싸지 않는 것이 train용 dataset 생성시와 차이. 
dataset = build_dataset(cfg.data.test)
data_loader = build_dataloader(
        dataset,
        # 반드시 아래 samples_per_gpu 인자값은 1로 설정
        samples_per_gpu=cfg.data.samples_per_gpu,
        workers_per_gpu=cfg.data.workers_per_gpu,
        dist=False,
        shuffle=False)

# 반드시 아래 코드에서 'img' 키값이 tensor로 출력되어야 함. 
next(iter(data_loader))


# loading annotations into memory...
# Done (t=0.01s)
# creating index...
# index created!
# {'img': [tensor([[[[0.9474, 0.9474, 0.9474,  ..., 0.0000, 0.0000, 0.0000],
#             [0.9474, 0.9474, 0.9474,  ..., 0.0000, 0.0000, 0.0000],
#             [0.9646, 0.9646, 0.9646,  ..., 0.0000, 0.0000, 0.0000],
#             ...,
#             [1.1700, 1.1700, 1.1700,  ..., 0.0000, 0.0000, 0.0000],
#             [1.1700, 1.1700, 1.1700,  ..., 0.0000, 0.0000, 0.0000],
#             [1.1700, 1.1700, 1.1700,  ..., 0.0000, 0.0000, 0.0000]],
#   
#            [[1.2031, 1.2031, 1.2031,  ..., 0.0000, 0.0000, 0.0000],
#             [1.2031, 1.2031, 1.2031,  ..., 0.0000, 0.0000, 0.0000],
#             [1.2206, 1.2206, 1.2206,  ..., 0.0000, 0.0000, 0.0000],
#             ...,
#             [1.5007, 1.5007, 1.5007,  ..., 0.0000, 0.0000, 0.0000],
#             [1.5007, 1.5007, 1.5007,  ..., 0.0000, 0.0000, 0.0000],
#             [1.5007, 1.5007, 1.5007,  ..., 0.0000, 0.0000, 0.0000]],
#   
#            [[1.3851, 1.3851, 1.3851,  ..., 0.0000, 0.0000, 0.0000],
#             [1.3851, 1.3851, 1.3851,  ..., 0.0000, 0.0000, 0.0000],
#             [1.4025, 1.3851, 1.3677,  ..., 0.0000, 0.0000, 0.0000],
#             ...,
#             [1.5768, 1.5768, 1.5768,  ..., 0.0000, 0.0000, 0.0000],
#             [1.5768, 1.5768, 1.5768,  ..., 0.0000, 0.0000, 0.0000],
#             [1.5768, 1.5768, 1.5768,  ..., 0.0000, 0.0000, 0.0000]]]])],
#  'img_metas': [DataContainer([[{'filename': '/content/BCCD_Dataset/BCCD/JPEGImages/BloodImage_00007.jpg', 'ori_filename': 'BloodImage_00007.jpg', 'ori_shape': (480, 640, 3), 'img_shape': (800, 1067, 3), 'pad_shape': (800, 1088, 3), 'scale_factor': array([1.6671875, 1.6666666, 1.6671875, 1.6666666], dtype=float32), 'flip': False, 'flip_direction': None, 'img_norm_cfg': {'mean': array([123.675, 116.28 , 103.53 ], dtype=float32), 'std': array([58.395, 57.12 , 57.375], dtype=float32), 'to_rgb': True}}]])]}
from mmdet.apis import inference_detector, init_detector, show_result_pyplot

checkpoint_file = '/content/tutorial_exps/epoch_12.pth'

# checkpoint 저장된 model 파일을 이용하여 모델을 생성, 이때 Config는 위에서 update된 config 사용. 
model_ckpt = init_detector(cfg, checkpoint_file, device='cuda:0')

# /usr/local/lib/python3.7/dist-packages/mmdet-2.17.0-py3.7.egg/mmdet/core/anchor/builder.py:17: UserWarning: ``build_anchor_generator`` would be deprecated soon, please use ``build_prior_generator`` 
#   '``build_anchor_generator`` would be deprecated soon, please use '
# Use load_from_local loader
from mmdet.apis import multi_gpu_test, single_gpu_test
from mmcv.parallel import MMDataParallel, MMDistributedDataParallel
from mmdet.apis import inference_detector, init_detector, show_result_pyplot

model_ckpt = MMDataParallel(model_ckpt, device_ids=[0])
# single_gpu_test() 를 호출하여 test데이터 세트의 interence 수행. 반드시 batch size는 1이 되어야 함. 
# 위에서 만든 /content/show_test_output 디렉토리에 interence 결과가 시각화된 이미지가 저장됨. 
outputs = single_gpu_test(model_ckpt, data_loader, True, '/content/show_test_output', 0.3)

batch 크기를 1보다 키우고 테스트 수행 하려면

  • 만일 batch size를 1보다 크게 해서 설정하려면 cfg.data.samples_per_gpu 값을 1보다 크게 설정하고 single_gpu_test() 함수의 bug(?) 코드를 수정 필요.
  • 다시 런타임 다시 시작을 실행 후 config 부터 재 설정후 아래 코드 수행 필요. 여기서는 수행하지 않는 걸로 스킵
'''
import os.path as osp
import pickle
import shutil
import tempfile
import time

import mmcv
import torch
import torch.distributed as dist
from mmcv.image import tensor2imgs
from mmcv.runner import get_dist_info

def single_gpu_test_batch(model,
                    data_loader,
                    show=False,
                    out_dir=None,
                    show_score_thr=0.3):
    model.eval()
    results = []
    dataset = data_loader.dataset
    prog_bar = mmcv.ProgressBar(len(dataset))
    for i, data in enumerate(data_loader):
        with torch.no_grad():
            result = model(return_loss=False, rescale=True, **data)

        batch_size = len(result)
        if show or out_dir:
            if batch_size == 1 and isinstance(data['img'][0], torch.Tensor):
                img_tensor = data['img'][0]
            else:
                # 아래 코드를 주석 처리 필요. batch_size가 1보다 클때는 data['img'][0].data[0]가 아니라 data['img'][0].data 가 되어야 함. 
                #img_tensor = data['img'][0].data[0]
                # 아래는 버그(?) 수정 코드 
                img_tensor = data['img'][0].data
                print('img_tensor shape2:', img_tensor.shape)
            img_metas = data['img_metas'][0].data[0]
            imgs = tensor2imgs(img_tensor, **img_metas[0]['img_norm_cfg'])
            assert len(imgs) == len(img_metas)

            for i, (img, img_meta) in enumerate(zip(imgs, img_metas)):
                h, w, _ = img_meta['img_shape']
                img_show = img[:h, :w, :]

                ori_h, ori_w = img_meta['ori_shape'][:-1]
                img_show = mmcv.imresize(img_show, (ori_w, ori_h))

                if out_dir:
                    out_file = osp.join(out_dir, img_meta['ori_filename'])
                else:
                    out_file = None

                model.module.show_result(
                    img_show,
                    result[i],
                    show=show,
                    out_file=out_file,
                    score_thr=show_score_thr)

        # encode mask results
        if isinstance(result[0], tuple):
            result = [(bbox_results, encode_mask_results(mask_results))
                      for bbox_results, mask_results in result]
        results.extend(result)

        for _ in range(batch_size):
            prog_bar.update()
    return results

from mmdet.apis import multi_gpu_test, single_gpu_test
from mmcv.parallel import MMDataParallel, MMDistributedDataParallel
from mmdet.apis import inference_detector, init_detector, show_result_pyplot

model_ckpt = MMDataParallel(model_ckpt, device_ids=[0])
# single_gpu_test() 를 호출하여 test데이터 세트의 interence 수행. 반드시 batch size는 1이 되어야 함. 
outputs = single_gpu_test(model_ckpt, data_loader, True, '/content/tutorial_exps', 0.3)
'''

반환된 test용 데이터세트의 inference 적용 결과 확인 및 성능 evaluation 수행.

print('결과 outputs type:', type(outputs))
print('evalution 된 파일의 갯수:', len(outputs))
print('첫번째 evalutation 결과의 type:', type(outputs[0]))
print('첫번째 evaluation 결과의 CLASS 갯수:', len(outputs[0]))
print('첫번째 evaluation 결과의 CLASS ID 0의 type과 shape', type(outputs[0][0]), outputs[0][0].shape)
# 결과 outputs type: <class 'list'>
# evalution 된 파일의 갯수: 72
# 첫번째 evalutation 결과의 type: <class 'list'>
# 첫번째 evaluation 결과의 CLASS 갯수: 3
# 첫번째 evaluation 결과의 CLASS ID 0의 type과 shape <class 'numpy.ndarray'> (1, 5)
print(outputs)

# [[array([[200.52539   ,  92.739204  , 418.35672   , 284.60696   ,
          0.99753225]], dtype=float32), array([[1.7161997e+01, 2.9421707e+02, 1.3896806e+02, 3.9979282e+02,
        9.7877252e-01],
       [4.9222028e+02, 2.9748608e+02, 6.0555103e+02, 4.0151849e+02,
        9.5355266e-01],
       [5.3456342e+02, 3.6799695e+02, 6.4000000e+02, 4.7710013e+02,
        9.1202462e-01],
       [3.1212755e+01, 1.2918649e+02, 1.3549530e+02, 2.3172231e+02,
        8.3944076e-01],
       [1.6357803e+02, 2.6890323e+02, 2.6914523e+02, 3.8934702e+02,
        8.2909942e-01],
       [4.9686783e+02, 1.6922240e+02, 6.1225970e+02, 2.9487891e+02,
        7.9936832e-01],
       [3.2403314e+02, 3.0470923e+02, 4.5897992e+02, 4.3507742e+02,
        7.3746300e-01],
       [4.0063834e+02, 1.7505469e+02, 4.9044974e+02, 2.7783981e+02,
        3.9149642e-01],
       [1.7672256e+02, 4.6024315e+01, 2.9580939e+02, 1.4779662e+02,
        3.6525750e-01],
       [1.7738934e+01, 3.6607216e+01, 1.3155940e+02, 1.4271782e+02,
        2.8692830e-01],
       [5.1438306e+02, 3.7719646e+01, 6.2653558e+02, 1.4797528e+02,
        2.6563898e-01],
       [6.7035019e+01, 3.6262000e+02, 1.8478546e+02, 4.7663516e+02,
        2.5038856e-01],
       [2.6938425e+02, 3.3076352e+02, 3.4397900e+02, 4.1794055e+02,
        2.4135420e-01],
       [2.2859131e+02, 3.2165677e+02, 3.2059082e+02, 4.1296759e+02,
        2.2338705e-01],
       [3.0515436e+02, 3.3208936e+02, 3.7526111e+02, 4.2279739e+02,
        1.7713916e-01],
       [3.0313062e+02, 5.2947921e-01, 3.9315964e+02, 7.4024773e+01,
        1.6601905e-01],
       [8.6881599e+01, 6.5668274e+01, 1.8508673e+02, 1.7201787e+02,
        1.6582030e-01],
       [1.3413922e+02, 3.3622974e+02, 2.2196902e+02, 4.3628970e+02,
        1.3876209e-01],
       [1.9649214e+02, 2.9620236e+02, 2.8163809e+02, 3.9727570e+02,
        1.0988881e-01]], dtype=float32), array([[190.40208   ,   1.928508  , 249.41455   ,  53.596752  ,
          0.72563523]], dtype=float32)], [array([[ 95.058044  , 117.593155  , 304.42578   , 336.90408   ,
          0.99798656]], dtype=float32), array([[2.27881546e+01, 2.88934845e+02, 1.22559387e+02, 4.06159576e+02,
        9.83550668e-01],
       [3.60884521e+02, 1.93495972e+02, 4.61068817e+02, 2.75006439e+02,
        9.67219412e-01],
       [2.22220963e+02, 7.82205057e+00, 3.19117798e+02, 1.14660339e+02,
        9.57490087e-01],
       [4.60161316e+02, 2.35600983e+02, 5.84374268e+02, 3.41285736e+02,
        8.97422075e-01],
       [3.15736511e+02, 8.00962219e+01, 4.32226105e+02, 1.83316772e+02,
        8.77112269e-01],
       [1.86204315e+02, 3.35129059e+02, 2.97592682e+02, 4.37328430e+02,
        8.35789442e-01],
       [9.58452988e+01, 3.73430176e+02, 2.10823975e+02, 4.67960510e+02,
        7.68432021e-01],
       [3.93364136e+02, 2.86181610e+02, 4.95512543e+02, 3.93047699e+02,
        7.47329295e-01],
       [1.45720154e-01, 6.98454971e+01, 8.60034714e+01, 1.75958191e+02,
        4.26101834e-01],
       [1.12770584e+02, 2.56167769e+00, 2.14098450e+02, 8.29900665e+01,
        4.17314649e-01],
       [1.12388439e+01, 4.06329071e+02, 1.15801048e+02, 4.79824677e+02,
        3.94235700e-01],
       [3.41978821e+02, 5.11509132e+01, 4.38547333e+02, 1.42716858e+02,
        3.29336613e-01],
       [4.61112091e+02, 1.39268600e+02, 5.53948914e+02, 2.38157120e+02,
        3.11596453e-01],
       [1.10099327e+02, 3.16593384e+02, 2.18731628e+02, 4.02757690e+02,
        3.06461185e-01],
       [3.08556671e+02, 3.22725494e+02, 3.99133270e+02, 4.17385376e+02,
        2.76122808e-01],
       [2.55284119e+02, 7.96735458e+01, 3.52827972e+02, 1.76994095e+02,
        2.71079659e-01],
       [4.13098221e+01, 3.35968933e+01, 1.38950943e+02, 1.35479111e+02,
        2.57438272e-01],
       [5.40790405e+02, 1.56372253e+02, 6.29017639e+02, 2.47990433e+02,
        1.95213586e-01],
       [1.00161911e+02, 3.04670849e+01, 2.07302948e+02, 1.25443214e+02,
        1.87867060e-01],
       [2.83764099e+02, 2.85599976e+02, 3.94084045e+02, 3.64408264e+02,
        1.63163185e-01],
       [2.64978821e+02, 4.21196533e+02, 3.46315430e+02, 4.78766205e+02,
        1.41224876e-01],
       [2.77171143e+02, 3.90356415e+02, 3.96530762e+02, 4.76050781e+02,
        1.08841062e-01],
       [3.63421173e+02, 2.76799530e+02, 4.78585846e+02, 3.69097046e+02,
        1.06620818e-01],
       [5.14309937e+02, 1.57601456e+02, 5.90797363e+02, 2.39995331e+02,
        8.63720253e-02],
       [5.17845581e+02, 2.97892273e+02, 5.94811646e+02, 3.79072815e+02,
        8.59191343e-02],
       [2.68425236e+01, 5.49468079e+01, 1.02478516e+02, 1.56944153e+02,
        6.32546842e-02],
       [4.56955231e+02, 1.16780136e+02, 5.46982178e+02, 1.81986649e+02,
        5.97867519e-02]], dtype=float32), array([[ 85.620834 , 155.01825  , 122.29311  , 190.68481  ,   0.9718275]],
      dtype=float32)], [array([[138.30522 ,   7.751706, 370.63516 , 235.91324 ,   0.997373]],
      dtype=float32), array([[3.4952014e+02, 1.4057625e+01, 4.4804242e+02, 1.1636261e+02,
        9.9265772e-01],
       [4.1895633e+02, 3.6016479e+02, 5.2936157e+02, 4.5338681e+02,
        9.9143094e-01],
       [5.4100995e+02, 4.1238670e+01, 6.4000000e+02, 1.4062958e+02,
        9.8074716e-01],
       [0.0000000e+00, 2.7675687e+02, 9.6883682e+01, 3.7851062e+02,
        9.6934140e-01],
       [6.6191711e+01, 5.8839077e+01, 1.6735468e+02, 1.6452756e+02,
        9.6020144e-01],
       [4.3816367e+02, 8.4912552e+01, 5.4050562e+02, 1.6429648e+02,
        9.4425410e-01],
       [2.6250839e+02, 4.0252045e+02, 3.7537808e+02, 4.7995941e+02,
        9.3964851e-01],
       [2.4212155e+02, 1.9977582e+02, 3.5084509e+02, 2.9997134e+02,
        9.1683686e-01],
       [5.1596684e+00, 3.9718445e+02, 1.1846395e+02, 4.8000000e+02,
        9.0481925e-01],
       [3.5978836e+02, 1.8956438e+02, 4.7576300e+02, 3.0561102e+02,
        8.6553842e-01],
       [4.3606198e+02, 5.5906677e-01, 5.3782202e+02, 6.6787231e+01,
        7.9426467e-01],
       [9.0288826e+01, 2.9590295e+02, 1.8536223e+02, 3.8595749e+02,
        7.9243284e-01],
       [3.5270181e+02, 1.3938739e+02, 4.3371881e+02, 2.2423456e+02,
        5.5954176e-01],
       [5.2889716e+02, 4.1184717e+02, 6.3579138e+02, 4.7938086e+02,
        5.0796676e-01],
       [2.4014659e+02, 2.8533609e+02, 3.4540714e+02, 3.6439755e+02,
        4.9197578e-01],
       [5.6594507e+02, 1.3914386e+02, 6.3902643e+02, 2.4632446e+02,
        4.5044756e-01],
       [1.3391468e+01, 1.3505254e+02, 1.1360587e+02, 2.4469232e+02,
        3.4531093e-01],
       [4.3207553e+02, 1.0785172e+02, 5.3346338e+02, 2.0137408e+02,
        1.8456598e-01],
       [1.8560927e+02, 2.8744589e+02, 2.8506760e+02, 3.7011456e+02,
        1.6264196e-01],
       [1.8290259e+02, 2.2899924e+02, 2.8131189e+02, 3.2405453e+02,
        1.4155442e-01],
       [7.8735931e+01, 1.7607793e+02, 1.7296671e+02, 2.7036801e+02,
        1.0886172e-01],
       [1.7314535e-01, 7.5049095e+01, 6.2725983e+01, 1.6023184e+02,
        9.6663155e-02]], dtype=float32), array([[2.9372400e+02, 3.7391013e+02, 3.3780313e+02, 4.1250116e+02,
        9.6625006e-01],
       [5.9145642e+02, 3.9034033e+02, 6.1865375e+02, 4.1537048e+02,
        4.2561728e-01],
       [1.4473222e+02, 0.0000000e+00, 1.8533698e+02, 2.6729359e+01,
        3.1437564e-01],
       [5.2624829e+02, 2.6351144e+02, 5.5820917e+02, 2.8668985e+02,
        2.0433955e-01]], dtype=float32)], [array([[156.94142   , 118.34243   , 321.09885   , 274.15103   ,
          0.99571997]], dtype=float32), array([[3.2087637e+02, 1.2678441e+02, 4.1934778e+02, 2.3214348e+02,
        9.9259186e-01],
       [1.2676303e+02, 3.3063480e+02, 2.4970993e+02, 4.4701877e+02,
        9.8464763e-01],
       [2.3675189e+02, 3.3305658e+02, 3.4736154e+02, 4.2988159e+02,
        9.6323073e-01],
       [4.4580756e+02, 8.3194771e+01, 5.4435352e+02, 1.6927538e+02,
        9.6050972e-01],
       [1.8133961e+01, 3.4602355e-02, 1.1211940e+02, 7.2091301e+01,
        8.9414757e-01],
       [4.3967313e+02, 3.3288736e+02, 5.3989764e+02, 4.3776205e+02,
        8.6803836e-01],
       [3.4746616e+02, 2.4508829e+02, 4.3399167e+02, 3.3232855e+02,
        8.3659530e-01],
       [1.4793726e+02, 2.4752522e+02, 2.4860004e+02, 3.3539313e+02,
        6.8812239e-01],
       [2.1892929e+02, 2.5640833e+02, 3.1040701e+02, 3.3514905e+02,
        6.8342537e-01],
       [5.1466028e+02, 2.4930895e+01, 6.3524847e+02, 1.6176363e+02,
        6.5377986e-01],
       [1.8474014e+01, 2.1958867e+02, 1.0413157e+02, 3.0981384e+02,
        6.3387471e-01],
       [4.2063489e+02, 3.6657590e+02, 5.2138098e+02, 4.7532202e+02,
        5.3669178e-01],
       [7.5348999e+01, 1.6124586e+02, 1.6733788e+02, 2.8994696e+02,
        5.1455981e-01],
       [5.3048297e+02, 2.6964996e+02, 6.3738452e+02, 3.6151569e+02,
        5.0893378e-01],
       [3.5603329e+02, 2.0988321e+02, 4.5528775e+02, 2.8744983e+02,
        2.8953338e-01],
       [9.1688766e+01, 2.5605255e+02, 1.7251498e+02, 3.3929169e+02,
        1.0101325e-01],
       [4.1252518e+02, 2.9526370e+02, 4.9054181e+02, 3.9265295e+02,
        9.9677391e-02],
       [4.4318918e+02, 2.5924277e+02, 5.5277710e+02, 3.5596371e+02,
        8.7636441e-02],
       [3.4831039e+02, 1.7957886e+02, 4.4638589e+02, 3.3324481e+02,
        8.1850946e-02],
       [4.5380182e+02, 2.3487360e+02, 5.4935370e+02, 2.9679782e+02,
        8.0386668e-02],
       [2.1824774e+02, 3.9021622e+02, 3.1223605e+02, 4.7770285e+02,
        5.7145637e-02],
       [3.8635014e+01, 1.7574222e+02, 1.4389905e+02, 2.9948904e+02,
        5.6977697e-02],
       [5.1883197e+02, 8.4794640e+01, 6.3256555e+02, 1.7653285e+02,
        5.1325936e-02]], dtype=float32), array([[ 95.29333   , 328.3315    , 131.0512    , 359.22632   ,
          0.92272353]], dtype=float32)], [array([[311.05496   ,   8.553493  , 477.3554    , 151.16432   ,
          0.99695253]], dtype=float32), array([[4.64230835e+02, 1.03838226e+02, 5.74651794e+02, 2.02901779e+02,
        9.53496218e-01],
       [1.28273697e+02, 2.88392448e+01, 2.39480072e+02, 1.31540375e+02,
        9.10221756e-01],
       [1.77914062e+02, 9.39278946e+01, 2.98174713e+02, 1.92846069e+02,
        9.01494205e-01],
       [3.00024231e+02, 1.61518112e+02, 4.08450317e+02, 2.56657043e+02,
        8.50637853e-01],
       [7.16448669e+01, 1.87242188e+02, 1.69068878e+02, 2.68430389e+02,
        8.38949323e-01],
       [4.10464844e+02, 4.00478485e+02, 5.11940582e+02, 4.79457520e+02,
        7.84120798e-01],
       [0.00000000e+00, 2.13441452e+02, 8.76940613e+01, 3.39733002e+02,
        7.67845392e-01],
       [4.06133057e+02, 2.99457397e+02, 5.04607666e+02, 4.03005005e+02,
        6.90204799e-01],
       [3.09704132e+02, 2.46236877e+02, 4.18938416e+02, 3.16135345e+02,
        6.82317376e-01],
       [1.68953079e+02, 1.89729477e+02, 2.86139008e+02, 3.05360901e+02,
        6.04284525e-01],
       [2.07800308e+02, 1.38097692e+00, 3.18511169e+02, 6.73501053e+01,
        5.32853901e-01],
       [5.66716003e+02, 7.41417236e+01, 6.39304443e+02, 1.79353348e+02,
        4.35142785e-01],
       [4.58741516e+02, 2.03166672e+02, 5.55233093e+02, 2.90850769e+02,
        4.16097373e-01],
       [1.23323669e+02, 3.81455109e+02, 2.31256363e+02, 4.75166504e+02,
        4.11829323e-01],
       [1.76752644e+01, 4.85858879e+01, 1.25767433e+02, 1.59749130e+02,
        3.23249280e-01],
       [1.87416412e+02, 3.49567688e+02, 2.76870972e+02, 4.34792816e+02,
        2.60212243e-01],
       [5.33875854e+02, 2.73547821e+02, 6.29996460e+02, 3.85675903e+02,
        2.35239133e-01],
       [3.59052490e+02, 2.89693512e+02, 4.83295166e+02, 3.75881104e+02,
        2.01021865e-01],
       [6.94640198e+01, 3.26938263e+02, 1.98504745e+02, 4.48128235e+02,
        1.93796545e-01],
       [1.43745728e+02, 2.61668182e+02, 2.22318939e+02, 3.48624512e+02,
        1.59831628e-01],
       [2.92799896e+02, 4.27953186e+02, 3.70041382e+02, 4.78857849e+02,
        1.37603953e-01],
       [5.78612854e+02, 3.54365936e+02, 6.39665039e+02, 4.58071899e+02,
        1.27190799e-01],
       [3.05105255e+02, 2.67121307e+02, 4.35753998e+02, 3.54505157e+02,
        1.21316232e-01],
       [5.76610352e+02, 1.86289169e+02, 6.39749390e+02, 2.90705597e+02,
        1.20020226e-01],
       [1.01094675e+01, 1.32578754e+01, 1.14355598e+02, 1.02307053e+02,
        7.36863464e-02],
       [3.93220520e+02, 1.42544510e+02, 4.88029419e+02, 2.41080750e+02,
        5.91439232e-02]], dtype=float32), array([], shape=(0, 5), dtype=float32)], [array([[112.87249   ,  94.43067   , 297.386     , 280.60092   ,
          0.99693584]], dtype=float32), array([[3.86555176e+01, 1.73206863e+02, 1.31531982e+02, 2.75380341e+02,
        9.91971135e-01],
       [4.07521729e+02, 3.22568817e+02, 5.11544891e+02, 4.21538940e+02,
        9.89037693e-01],
       [1.08581734e+02, 1.66417694e+00, 2.30588074e+02, 9.51313705e+01,
        9.78961110e-01],
       [3.08945221e+02, 2.02747421e+02, 4.12588959e+02, 3.10023224e+02,
        9.40287530e-01],
       [2.44796890e+02, 4.01795807e+02, 3.35735840e+02, 4.80000000e+02,
        9.07734334e-01],
       [5.22266479e+02, 3.39421356e+02, 6.20814148e+02, 4.47877441e+02,
        9.02560055e-01],
       [5.40960632e+02, 5.33913574e+01, 6.20004395e+02, 1.39720703e+02,
        7.33228266e-01],
       [4.57470062e+02, 2.21957291e+02, 5.45210815e+02, 3.35622955e+02,
        6.77524865e-01],
       [3.78357178e+02, 1.43997391e+02, 4.77449188e+02, 2.38871292e+02,
        6.34092152e-01],
       [3.11321777e+02, 1.40796555e+02, 4.31635223e+02, 2.24323776e+02,
        5.35901129e-01],
       [5.15754639e+02, 5.61411896e+01, 5.91354309e+02, 1.38045975e+02,
        4.55637485e-01],
       [4.85405884e+01, 2.99943848e+02, 1.56386520e+02, 3.86333588e+02,
        4.47730482e-01],
       [1.55519012e+02, 2.68134888e+02, 2.71366669e+02, 3.73707794e+02,
        3.76648247e-01],
       [8.85679051e-02, 2.93782135e+02, 9.06695786e+01, 3.78779785e+02,
        2.66358346e-01],
       [1.21166344e+02, 3.51172699e+02, 2.26308578e+02, 4.46316589e+02,
        2.55894244e-01],
       [0.00000000e+00, 3.38222687e+02, 1.06351707e+02, 4.36038666e+02,
        1.71214670e-01],
       [1.50728577e+02, 4.04525513e+02, 2.44178955e+02, 4.79435364e+02,
        1.67888328e-01],
       [4.99338318e+02, 2.00540741e+02, 5.87501770e+02, 3.04663116e+02,
        1.31017327e-01],
       [5.28755005e+02, 2.01784790e+02, 6.28493896e+02, 3.20155182e+02,
        1.08214244e-01],
       [4.80231995e+02, 3.65559723e+02, 5.67728516e+02, 4.58200104e+02,
        9.45990309e-02],
       [1.83888698e+00, 1.25420464e+02, 5.25363655e+01, 2.51888123e+02,
        6.65111020e-02]], dtype=float32), array([[8.19454498e+01, 4.20505981e+02, 1.25714966e+02, 4.53629761e+02,
        1.01740025e-01]], dtype=float32)], [array([[338.49478  , 306.46518  , 478.97986  , 439.73242  ,   0.9959579]],
      dtype=float32), array([[9.68836060e+01, 3.37597900e+02, 2.13968719e+02, 4.59614471e+02,
        9.87238050e-01],
       [3.59903351e+02, 1.42095428e+02, 4.82363525e+02, 2.46641556e+02,
        9.82640326e-01],
       [5.16607239e+02, 1.02831497e+02, 6.32392761e+02, 2.08234863e+02,
        9.75634038e-01],
       [2.77223541e+02, 1.66083664e+02, 3.95125641e+02, 2.72659454e+02,
        9.67603981e-01],
       [2.09213043e+02, 2.73518384e-01, 3.19930878e+02, 1.19543976e+02,
        9.44595754e-01],
       [7.04900894e+01, 9.43644028e+01, 1.74310974e+02, 1.92078735e+02,
        9.00696278e-01],
       [9.69231427e-01, 1.05573097e+02, 9.57453842e+01, 2.01441879e+02,
        8.99776578e-01],
       [1.38947687e+01, 2.64444763e+02, 1.28330307e+02, 3.75940552e+02,
        7.91457951e-01],
       [3.86664734e+02, 2.87602401e+00, 4.88241638e+02, 9.53327484e+01,
        7.51472175e-01],
       [2.28043106e+02, 2.48834808e+02, 3.25353180e+02, 3.53321320e+02,
        6.76347315e-01],
       [2.34588516e+02, 3.56005096e+02, 3.35115814e+02, 4.74641602e+02,
        6.33580208e-01],
       [7.38621674e+01, 2.74155312e+01, 1.72992508e+02, 1.18822830e+02,
        3.25156301e-01],
       [4.63267853e+02, 3.79389374e+02, 5.74399780e+02, 4.65537201e+02,
        2.62460232e-01],
       [1.15653687e+02, 1.20188141e+00, 2.15086975e+02, 8.07990265e+01,
        2.30595008e-01],
       [1.45283615e+02, 2.37087128e+02, 2.47013687e+02, 3.27995483e+02,
        1.99608624e-01],
       [5.72734070e+02, 3.61731781e+02, 6.40000000e+02, 4.51547668e+02,
        1.23569906e-01],
       [1.65549210e+02, 1.33582642e+02, 2.55230927e+02, 2.16465515e+02,
        1.16424851e-01],
       [4.56989166e+02, 4.48420733e-01, 5.58222229e+02, 4.85356026e+01,
        6.53515831e-02]], dtype=float32), array([[373.8497   ,  99.96157  , 421.08612  , 145.15076  ,   0.9747493],
       [493.18707  , 190.81575  , 528.5072   , 225.1666   ,   0.9558402]],
      dtype=float32)], [array([[290.65854   , 367.03528   , 439.617     , 480.        ,
          0.99424213],
       [135.85587   , 156.11609   , 264.24835   , 269.54745   ,
          0.9904232 ]], dtype=float32), array([[5.3602411e+02, 5.8639648e+01, 6.3964764e+02, 1.8086349e+02,
        9.8586988e-01],
       [3.9979010e+02, 2.2848747e+02, 5.1390961e+02, 3.2089633e+02,
        9.7548419e-01],
       [5.2497253e+02, 3.9966779e+02, 6.2459357e+02, 4.8000000e+02,
        9.6652728e-01],
       [3.3255228e+02, 1.5303398e+02, 4.4372577e+02, 2.4552625e+02,
        9.6352673e-01],
       [1.4780360e+02, 3.7802521e+02, 2.5578224e+02, 4.8000000e+02,
        9.3394500e-01],
       [5.1112485e+02, 1.8984312e+02, 6.0615741e+02, 2.7843323e+02,
        8.8504475e-01],
       [4.8028721e+01, 3.3751099e+02, 1.6376562e+02, 4.5376904e+02,
        7.6575869e-01],
       [4.0996185e+01, 1.9806683e+02, 1.4352432e+02, 3.2326318e+02,
        7.3313695e-01],
       [3.3789936e+01, 1.7918748e+00, 1.4983830e+02, 9.3218285e+01,
        7.2659582e-01],
       [5.1957513e+02, 2.4550031e+02, 6.2853638e+02, 3.3820822e+02,
        7.1600157e-01],
       [0.0000000e+00, 5.6118721e+01, 8.5067886e+01, 1.6421977e+02,
        6.7752880e-01],
       [2.9481763e+02, 2.1319847e+02, 4.0362781e+02, 3.0247058e+02,
        6.0532457e-01],
       [2.4142514e+02, 2.9159976e+02, 3.4354047e+02, 3.7085645e+02,
        4.7988901e-01],
       [5.6164700e+01, 6.2960091e+01, 1.3905553e+02, 1.5778770e+02,
        3.9424184e-01],
       [4.6339899e+02, 3.0443573e-01, 5.9337238e+02, 6.9871635e+01,
        2.9275736e-01],
       [1.3884257e+00, 2.4276651e+02, 8.0461723e+01, 3.6808041e+02,
        2.0304126e-01],
       [5.6442694e+02, 1.8417690e+02, 6.3967212e+02, 2.8315350e+02,
        1.8770088e-01],
       [1.4153641e+02, 1.5597406e+02, 2.6050891e+02, 2.6833029e+02,
        7.7845082e-02],
       [1.8115981e+02, 2.4230812e+02, 2.9599988e+02, 3.3126828e+02,
        6.9406442e-02],
       [3.2736807e+02, 0.0000000e+00, 4.5885391e+02, 4.6550373e+01,
        5.5211607e-02]], dtype=float32), array([[4.07795898e+02, 9.03884888e+01, 4.50599152e+02, 1.25580116e+02,
        9.74340260e-01],
       [2.43577103e+02, 3.76961700e+02, 2.97720154e+02, 4.26624207e+02,
        9.53733981e-01],
       [3.41946960e+02, 1.10591934e+02, 3.77821930e+02, 1.43622787e+02,
        8.79582584e-01],
       [1.10130577e+02, 2.49518234e+02, 1.46949051e+02, 2.87870850e+02,
        2.25227192e-01]], dtype=float32)], [array([[124.167625  , 109.460335  , 298.89413   , 250.48108   ,
          0.99651575]], dtype=float32), array([[8.8934669e+01, 2.2540558e+02, 1.9112242e+02, 3.2659836e+02,
        9.9379975e-01],
       [2.9468164e+02, 2.3961557e+02, 3.9877646e+02, 3.6243524e+02,
        9.8525697e-01],
       [4.4659415e+02, 2.1746765e+02, 5.5455292e+02, 3.1852881e+02,
        9.7447544e-01],
       [3.9768335e+02, 2.0694019e+02, 4.9756226e+02, 3.0826184e+02,
        9.1642088e-01],
       [2.5202703e+01, 2.2530470e+01, 1.3339922e+02, 1.1885174e+02,
        9.1045851e-01],
       [3.5987213e+02, 7.3748795e+01, 4.6210049e+02, 1.8464601e+02,
        8.1921679e-01],
       [1.9131856e+02, 3.0431958e+02, 2.8597067e+02, 4.0608636e+02,
        7.8486538e-01],
       [2.0164819e+02, 4.5289308e-01, 2.9560114e+02, 8.6495255e+01,
        7.1187288e-01],
       [5.7030786e+02, 3.3013177e+02, 6.3965540e+02, 4.3541748e+02,
        6.7115444e-01],
       [5.2993262e+02, 2.8212328e+01, 6.3940460e+02, 1.3417326e+02,
        6.2674433e-01],
       [1.7955063e+02, 3.8760779e+02, 2.7767972e+02, 4.7797787e+02,
        5.2701509e-01],
       [3.6273117e+02, 3.8587109e+02, 4.6466635e+02, 4.7936914e+02,
        4.0043995e-01],
       [2.4820244e+02, 2.5082703e+00, 3.3477640e+02, 9.0026436e+01,
        2.9587290e-01],
       [7.7015694e+01, 2.2598419e+01, 1.5655879e+02, 1.2067684e+02,
        1.9899847e-01],
       [2.2554218e+02, 2.9382101e+02, 3.1114194e+02, 3.9571780e+02,
        1.6178806e-01],
       [3.4209976e+02, 3.5201807e+02, 4.4313025e+02, 4.6086511e+02,
        1.6072270e-01],
       [3.9533170e+02, 3.2971274e+02, 4.9651733e+02, 4.0880847e+02,
        1.4596453e-01],
       [4.5645697e+02, 3.0876785e+02, 5.4559692e+02, 4.0482916e+02,
        8.3914168e-02],
       [2.3862663e+02, 2.8044031e+02, 3.1044644e+02, 3.5570837e+02,
        8.3777286e-02],
       [4.3791974e+02, 3.7311234e+02, 5.2280536e+02, 4.6223761e+02,
        7.5928465e-02],
       [3.0373541e+02, 7.8152985e+01, 4.2269028e+02, 1.8417876e+02,
        7.4748136e-02],
       [4.3187408e+02, 3.5779739e+02, 5.1874725e+02, 4.2111542e+02,
        5.2562516e-02]], dtype=float32), array([[ 82.016396  , 233.1193    , 115.40881   , 262.06396   ,
          0.49502718]], dtype=float32)], [array([[265.58405  , 222.06001  , 432.56308  , 371.2451   ,   0.9967349]],
      dtype=float32), array([[4.82133698e+02, 9.70258331e+01, 5.96647522e+02, 2.04544418e+02,
        9.83344138e-01],
       [3.22559235e+02, 1.22790733e+02, 4.28906403e+02, 2.26227966e+02,
        9.78079796e-01],
       [7.82216721e+01, 2.66808009e+00, 1.92931885e+02, 1.07546654e+02,
        9.45451975e-01],
       [4.16642426e+02, 2.28124008e+02, 5.26842712e+02, 3.25981415e+02,
        9.32539523e-01],
       [2.52051788e+02, 1.52446976e+01, 3.72861084e+02, 1.21371704e+02,
        9.20471430e-01],
       [4.51554657e+02, 3.57685150e+02, 5.55735535e+02, 4.55935608e+02,
        8.96136343e-01],
       [4.20397552e+02, 1.44166174e+01, 5.39254517e+02, 1.14986542e+02,
        8.56126904e-01],
       [0.00000000e+00, 2.46923084e+01, 7.97681351e+01, 1.25189270e+02,
        8.03900003e-01],
       [4.44453857e+02, 1.73196182e+02, 5.49542114e+02, 2.68110718e+02,
        7.38794088e-01],
       [2.41506332e+02, 1.12842743e+02, 3.53749817e+02, 2.20034729e+02,
        6.83990955e-01],
       [5.45311203e+01, 4.05718140e+02, 1.49752502e+02, 4.78605469e+02,
        5.65963209e-01],
       [4.92222656e+02, 3.09773895e+02, 5.78658081e+02, 4.01290161e+02,
        5.48435390e-01],
       [5.44709167e+02, 3.13592285e+02, 6.29735718e+02, 4.03026062e+02,
        5.14282584e-01],
       [3.97406998e+01, 1.21800583e+02, 1.66369461e+02, 2.47525162e+02,
        3.60677779e-01],
       [2.61973297e+02, 3.83948090e+02, 3.58856201e+02, 4.73349121e+02,
        3.42578977e-01],
       [1.90856140e+02, 1.24064545e+02, 2.97402344e+02, 2.19795532e+02,
        3.15514296e-01],
       [2.81418793e+02, 1.18005020e+02, 3.87715454e+02, 2.21545135e+02,
        2.79045343e-01],
       [3.19846497e+02, 3.81821869e+02, 3.90273804e+02, 4.50954712e+02,
        1.55222937e-01],
       [8.83322299e-01, 3.74338165e+02, 9.38217010e+01, 4.67602570e+02,
        1.28506780e-01],
       [1.02296181e+02, 4.08324463e+02, 1.87327850e+02, 4.79630432e+02,
        8.56445506e-02],
       [3.23278542e+01, 1.66879654e+02, 1.31905289e+02, 2.53305145e+02,
        7.06280917e-02],
       [4.24592926e+02, 1.97447754e+02, 5.49344055e+02, 3.07005798e+02,
        5.85562848e-02]], dtype=float32), array([[2.1281369e+02, 4.2293030e+02, 2.4758083e+02, 4.5508997e+02,
        8.9432412e-01],
       [3.9649789e+02, 0.0000000e+00, 4.4447778e+02, 6.3465668e+01,
        8.6004907e-01],
       [5.8679395e+02, 1.7949371e+00, 6.4000000e+02, 8.8432007e+01,
        6.6226736e-02]], dtype=float32)], [array([[172.86987  ,  80.00579  , 309.51675  , 207.5246   ,   0.9906042]],
      dtype=float32), array([[2.13555679e+02, 3.14406677e+02, 3.18151733e+02, 4.07176483e+02,
        9.87121642e-01],
       [3.88851135e+02, 1.26968651e+02, 4.88879181e+02, 2.14938080e+02,
        9.84211862e-01],
       [4.85964722e+02, 2.55791260e+02, 5.95807617e+02, 3.51741119e+02,
        9.72950399e-01],
       [4.65241943e+02, 6.24830627e+01, 5.66910217e+02, 1.68515778e+02,
        9.68781471e-01],
       [7.28487730e+00, 3.23248505e+02, 1.09158676e+02, 4.25773285e+02,
        9.58657086e-01],
       [4.10824097e+02, 2.94262390e+02, 5.13650879e+02, 4.05316223e+02,
        7.18940139e-01],
       [3.64997345e+02, 2.21256542e+01, 4.64250153e+02, 1.02202644e+02,
        6.82164729e-01],
       [3.29641479e+02, 3.13183746e+02, 4.16454193e+02, 3.90381531e+02,
        4.69118357e-01],
       [2.87669556e+02, 1.58889221e+02, 4.05694305e+02, 2.80219452e+02,
        3.12750787e-01],
       [5.28369507e+02, 5.49991608e-01, 6.17528870e+02, 7.21063156e+01,
        1.43111542e-01],
       [3.40792450e+02, 7.23367920e+01, 4.46234924e+02, 1.59715256e+02,
        1.42479345e-01],
       [3.08021729e+02, 1.57755768e+02, 4.06428619e+02, 2.29066849e+02,
        1.03490494e-01],
       [2.90902283e+02, 2.85202820e+02, 4.10213745e+02, 3.86352997e+02,
        1.00368425e-01],
       [2.67211884e+02, 1.97792034e+01, 3.69051514e+02, 1.20253349e+02,
        8.74988586e-02],
       [5.81680298e+02, 3.89224121e+02, 6.40000000e+02, 4.80000000e+02,
        8.48496482e-02],
       [1.59076248e+02, 3.11920166e-01, 2.93705292e+02, 7.41018906e+01,
        8.11503381e-02],
       [2.67366516e+02, 1.77934158e+02, 3.81314514e+02, 2.63594299e+02,
        8.02580640e-02],
       [4.46210876e+02, 2.98574921e+02, 5.61102905e+02, 3.94920776e+02,
        6.47771284e-02],
       [6.12589359e-01, 3.69783600e+02, 5.95215149e+01, 4.73032227e+02,
        6.10951334e-02]], dtype=float32), array([[548.3277   , 407.25665  , 582.96124  , 441.97073  ,   0.9740923],
       [506.80356  , 401.9165   , 549.16327  , 441.48795  ,   0.9631927]],
      dtype=float32)], [array([[215.25876   ,   3.598288  , 341.41046   , 123.61702   ,
          0.98731637]], dtype=float32), array([[2.03105896e+02, 2.14748062e+02, 3.13819763e+02, 3.23558807e+02,
        9.84932005e-01],
       [0.00000000e+00, 2.53042328e+02, 8.68082047e+01, 3.60470490e+02,
        9.64249849e-01],
       [5.07292358e+02, 2.97369507e+02, 6.31970154e+02, 4.15325684e+02,
        9.48631287e-01],
       [4.67982025e+02, 0.00000000e+00, 5.80753723e+02, 8.92593384e+01,
        9.20767188e-01],
       [8.67675781e+00, 3.08071938e+01, 1.15702324e+02, 1.60817245e+02,
        8.78551662e-01],
       [4.63864014e+02, 7.42621613e+01, 5.63631897e+02, 1.74860840e+02,
        7.83464253e-01],
       [1.33406235e+02, 3.51642822e+02, 2.34600739e+02, 4.62000854e+02,
        7.36747801e-01],
       [1.84993668e+02, 1.29410019e+02, 2.97223938e+02, 2.26918365e+02,
        7.26536095e-01],
       [5.26158997e+02, 9.36514740e+01, 6.18686462e+02, 1.86951614e+02,
        6.32688105e-01],
       [1.86599792e+02, 3.36263214e+02, 2.89694641e+02, 4.38513489e+02,
        6.05586529e-01],
       [9.57273636e+01, 2.29738388e+02, 1.94466476e+02, 3.23497559e+02,
        4.92551535e-01],
       [1.12883217e+02, 7.24263000e+01, 2.03729370e+02, 1.70806870e+02,
        4.16924566e-01],
       [4.51734543e+01, 4.02572571e+02, 1.60687363e+02, 4.79258179e+02,
        1.84561074e-01],
       [1.39085754e+02, 1.61488724e+00, 2.38649872e+02, 7.76557236e+01,
        1.82048008e-01],
       [1.49598755e+02, 2.28799622e+02, 2.32004639e+02, 3.19581146e+02,
        1.48631603e-01],
       [2.93527508e+00, 3.75262360e+02, 9.48923340e+01, 4.65465332e+02,
        1.25934854e-01],
       [2.20476166e+02, 2.48150039e+00, 3.40346497e+02, 1.25029633e+02,
        7.94345960e-02],
       [5.47605042e+02, 3.98604553e+02, 6.31083008e+02, 4.78168915e+02,
        7.27512389e-02],
       [5.74974854e+02, 1.97810993e+01, 6.40000000e+02, 9.93022537e+01,
        5.63444048e-02]], dtype=float32), array([[332.87262   , 446.5147    , 364.9741    , 477.84143   ,
          0.72693884]], dtype=float32)], [array([[ 90.90021   , 253.53917   , 247.49243   , 400.24677   ,
          0.99678934]], dtype=float32), array([[1.33315140e+02, 1.63064728e+02, 2.40780182e+02, 2.51009735e+02,
        9.58528280e-01],
       [4.05692413e+02, 4.89699707e+01, 5.06214752e+02, 1.52525116e+02,
        9.54650104e-01],
       [4.26016846e+02, 2.97397797e+02, 5.59674683e+02, 4.15250244e+02,
        9.37723160e-01],
       [3.54502075e+02, 2.76027802e+02, 4.44957367e+02, 3.75078766e+02,
        9.30764258e-01],
       [3.96857452e+02, 1.52297791e+02, 5.10895996e+02, 2.58107452e+02,
        9.19790983e-01],
       [5.49157288e+02, 4.77944450e+01, 6.40000000e+02, 1.43551926e+02,
        9.11716044e-01],
       [5.17037903e+02, 2.27726929e+02, 6.31421936e+02, 3.23948730e+02,
        8.88993263e-01],
       [4.63935638e+02, 4.04534936e-01, 5.65489319e+02, 8.79689255e+01,
        8.28621864e-01],
       [6.16573296e+01, 2.04542547e-01, 1.85402451e+02, 9.12293015e+01,
        7.62482882e-01],
       [3.68221191e+02, 8.40586901e-01, 4.76971710e+02, 9.73414917e+01,
        7.19223320e-01],
       [6.27805233e-01, 1.91866016e+01, 7.26748886e+01, 1.20963799e+02,
        5.66958249e-01],
       [3.60001411e+01, 3.12485809e+02, 1.41529739e+02, 4.37260559e+02,
        5.44847250e-01],
       [5.30421143e+02, 1.54837433e+02, 6.23429932e+02, 2.35921295e+02,
        5.16036153e-01],
       [1.95065826e+02, 6.41412544e+00, 2.94686401e+02, 9.33593063e+01,
        4.33053285e-01],
       [4.09320038e+02, 1.10193336e+00, 5.35725037e+02, 9.14385147e+01,
        3.00107837e-01],
       [2.49153076e+02, 7.84460485e-01, 3.58883667e+02, 6.25134430e+01,
        2.21930295e-01],
       [4.32934998e+02, 1.67716003e+02, 5.30649536e+02, 2.64905121e+02,
        1.80104196e-01],
       [1.76543549e+02, 1.60980759e+02, 2.59544006e+02, 2.50123108e+02,
        1.48039982e-01],
       [1.24372149e+00, 1.36004669e+02, 7.23813705e+01, 2.28450256e+02,
        1.36487320e-01],
       [5.36353088e+02, 1.09511024e+02, 6.38816895e+02, 2.30776062e+02,
        1.22925222e-01],
       [5.28394432e+01, 2.06889008e+02, 1.64368362e+02, 2.95925079e+02,
        9.64122042e-02]], dtype=float32), array([[2.6450681e+02, 7.7639542e+01, 3.0560593e+02, 1.2273774e+02,
        9.3383873e-01],
       [2.0863577e+02, 2.5040695e+02, 2.4375639e+02, 2.8478918e+02,
        3.2765701e-01],
       [5.3163312e+02, 2.3460625e+02, 5.7732202e+02, 2.7093777e+02,
        1.9985624e-01]], dtype=float32)], [array([[365.26038   , 301.1596    , 496.83554   , 420.64777   ,
          0.98721015]], dtype=float32), array([[1.1141750e+01, 1.8108817e+02, 1.2058693e+02, 2.9476917e+02,
        9.8670900e-01],
       [5.4256818e+02, 2.3311458e+02, 6.4000000e+02, 3.3763101e+02,
        9.8494947e-01],
       [4.3496765e+02, 1.2938609e+02, 5.4650397e+02, 2.3327095e+02,
        9.7962064e-01],
       [1.7120393e+02, 3.6514490e+02, 2.6494592e+02, 4.5728769e+02,
        9.6978384e-01],
       [4.0385708e+01, 6.7251495e+01, 1.6906139e+02, 1.8062456e+02,
        9.5516407e-01],
       [1.2108068e+02, 0.0000000e+00, 2.1953758e+02, 8.0692001e+01,
        9.1220254e-01],
       [1.8388242e+02, 8.8798828e+01, 2.9541843e+02, 1.9236563e+02,
        8.5518080e-01],
       [2.0746648e+02, 1.9758928e+02, 3.0492035e+02, 3.0142596e+02,
        8.5122329e-01],
       [3.7898273e+02, 5.5393990e+01, 4.7312454e+02, 1.4621837e+02,
        8.3413291e-01],
       [4.9079248e+02, 2.0664747e+01, 5.8515912e+02, 1.0892697e+02,
        8.2888663e-01],
       [3.2502823e+02, 3.7149164e+02, 4.3702216e+02, 4.6702942e+02,
        4.3333232e-01],
       [2.5894241e+02, 2.7011551e+02, 3.6203162e+02, 3.7112448e+02,
        3.9362207e-01],
       [3.1765735e+02, 1.1948121e+02, 4.1708844e+02, 2.1595029e+02,
        2.0624518e-01],
       [2.8878258e+01, 6.5299988e-01, 1.4234514e+02, 7.6829185e+01,
        2.0548029e-01],
       [4.2145794e+01, 4.1294235e+02, 1.4910078e+02, 4.8000000e+02,
        1.9462976e-01],
       [2.9926550e+02, 1.8419980e+02, 3.9529953e+02, 2.7377209e+02,
        1.7462263e-01],
       [4.8429001e+02, 4.0507227e+02, 6.0285596e+02, 4.7759521e+02,
        1.2986220e-01],
       [2.5147452e+02, 1.6878662e+02, 3.4212344e+02, 2.6087955e+02,
        1.2785996e-01],
       [5.7497314e+02, 1.1108367e+02, 6.3872382e+02, 2.2292384e+02,
        1.1250835e-01],
       [1.9656799e+02, 2.9566812e+02, 2.9934583e+02, 3.8648062e+02,
        1.0783781e-01],
       [9.8621117e+01, 1.3722151e+02, 1.9949100e+02, 2.4392711e+02,
        1.0767101e-01],
       [5.6859839e+02, 3.5604120e+02, 6.3846936e+02, 4.4705078e+02,
        7.2184168e-02]], dtype=float32), array([[9.8679535e+01, 2.6472467e+01, 1.3240221e+02, 6.0659328e+01,
        4.5044470e-01],
       [1.0956700e+02, 6.5750755e+01, 1.4051534e+02, 9.3647331e+01,
        2.5531250e-01],
       [5.4733289e+02, 4.3752618e+02, 5.7762891e+02, 4.6540802e+02,
        8.3774962e-02]], dtype=float32)], [array([[400.21365  , 103.94342  , 551.9088   , 237.77997  ,   0.9951881],
       [248.36107  , 272.64542  , 389.04633  , 391.08954  ,   0.9843567]],
      dtype=float32), array([[3.93031158e+02, 3.78203918e+02, 4.91397980e+02, 4.75889069e+02,
        9.63416457e-01],
       [3.29714241e+01, 1.20634666e+02, 1.34699692e+02, 2.24866180e+02,
        9.27606165e-01],
       [5.54111877e+02, 1.50353745e+02, 6.38450317e+02, 2.70904907e+02,
        9.26068783e-01],
       [1.63441818e+02, 1.73015030e+02, 2.68035156e+02, 2.91144379e+02,
        8.95870328e-01],
       [8.77346878e+01, 1.10402733e+02, 1.81806870e+02, 2.05899857e+02,
        8.34904134e-01],
       [3.97800293e+01, 3.77945282e+02, 1.49051361e+02, 4.61488281e+02,
        7.08903015e-01],
       [1.02987404e+02, 4.47909403e+00, 1.95283249e+02, 9.42925644e+01,
        6.42246723e-01],
       [2.36650848e+02, 1.42313881e+01, 3.33586548e+02, 1.13725662e+02,
        5.45596004e-01],
       [1.72466297e+01, 3.31949621e-01, 1.06694427e+02, 7.51839981e+01,
        5.18335640e-01],
       [2.45633148e+02, 4.08425232e+02, 3.56910736e+02, 4.79840668e+02,
        3.61558855e-01],
       [4.72621965e+00, 1.77599125e+01, 1.06317551e+02, 1.13483078e+02,
        3.39895785e-01],
       [4.62635773e+02, 3.54706238e+02, 5.42703857e+02, 4.42275848e+02,
        3.30378354e-01],
       [2.89525818e+02, 4.30395470e+01, 3.74225464e+02, 1.45522980e+02,
        3.03792626e-01],
       [1.97479095e+02, 6.51346664e+01, 2.98128937e+02, 1.52307297e+02,
        2.41372958e-01],
       [2.20712387e+02, 4.04988098e+01, 3.25436920e+02, 1.42729294e+02,
        1.78839773e-01],
       [6.41256094e+00, 3.55035370e+02, 1.04079308e+02, 4.39899780e+02,
        6.98285028e-02],
       [1.37914001e+02, 4.84953022e+00, 2.22022537e+02, 1.02607010e+02,
        5.98891750e-02]], dtype=float32), array([[496.75797   , 293.32373   , 533.458     , 328.92337   ,
          0.79308796]], dtype=float32)], [array([[134.98477  , 343.11713  , 261.6752   , 475.24246  ,   0.9932422]],
      dtype=float32), array([[5.44073730e+02, 1.33418854e+02, 6.40000000e+02, 2.36815033e+02,
        9.82149422e-01],
       [1.39916229e+02, 7.51569748e+01, 2.53538239e+02, 1.75766937e+02,
        9.69241202e-01],
       [4.77518463e+02, 2.36625229e+02, 5.98743042e+02, 3.32972992e+02,
        9.62881565e-01],
       [2.53082474e+02, 1.84731064e+02, 3.58958099e+02, 2.94690125e+02,
        9.14395630e-01],
       [4.31371002e+02, 4.16358582e+02, 5.30106018e+02, 4.79908051e+02,
        8.88663292e-01],
       [7.77749405e+01, 2.21414917e+02, 1.93428314e+02, 3.51985565e+02,
        8.51564527e-01],
       [3.95654261e-01, 3.26932465e+02, 1.00764488e+02, 4.25693268e+02,
        8.24223101e-01],
       [1.56810028e+02, 1.88933273e+02, 2.62668976e+02, 2.84130463e+02,
        7.85949588e-01],
       [5.32030725e+00, 1.00080391e+02, 1.00776924e+02, 2.03176147e+02,
        7.29407728e-01],
       [2.12669640e+01, 1.88449407e+00, 1.33711441e+02, 1.06545807e+02,
        7.20332205e-01],
       [3.32026459e+02, 2.12526566e+02, 4.33609833e+02, 3.10358032e+02,
        6.53480411e-01],
       [4.89767517e+02, 3.60330048e+01, 6.09700745e+02, 1.56901245e+02,
        5.79164565e-01],
       [3.69639191e+02, 6.77547150e+01, 4.65650635e+02, 1.80079834e+02,
        5.71128726e-01],
       [5.54442322e+02, 3.89774933e+02, 6.39044006e+02, 4.79299957e+02,
        3.95758897e-01],
       [5.63800842e+02, 3.22224976e+02, 6.40000000e+02, 4.11756683e+02,
        3.30948174e-01],
       [2.93774567e+02, 2.54104161e+00, 4.07126923e+02, 1.23551460e+02,
        3.25842112e-01],
       [5.58774719e+02, 2.50917816e+02, 6.39465820e+02, 3.46000824e+02,
        1.82860568e-01],
       [3.48945427e+01, 1.89526794e+02, 1.26736488e+02, 2.77354767e+02,
        1.63529485e-01],
       [4.10835358e+02, 2.26037186e+02, 5.04534058e+02, 3.10795197e+02,
        1.62701696e-01],
       [3.75175744e-01, 3.90601929e+02, 1.01855003e+02, 4.78487427e+02,
        1.44185916e-01],
       [1.04302826e+02, 1.74857376e+02, 1.88841583e+02, 2.33120880e+02,
        1.22802965e-01],
       [4.14184387e+02, 2.83309948e-02, 5.04846741e+02, 5.59963608e+01,
        7.22078308e-02],
       [5.29791077e+02, 4.07940308e+02, 6.12877808e+02, 4.79675995e+02,
        6.80060014e-02],
       [2.04049362e+02, 1.94453094e+02, 2.89868591e+02, 2.87276978e+02,
        6.66621104e-02]], dtype=float32), array([[4.7704257e+02, 2.2340715e+02, 5.1626062e+02, 2.5245782e+02,
        9.3552005e-01],
       [4.9382996e+02, 1.2779909e+02, 5.2560175e+02, 1.5878091e+02,
        3.1736803e-01]], dtype=float32)], [array([[  0.       , 228.47484  ,  98.06139  , 348.1074   ,   0.9914791]],
      dtype=float32), array([[2.27449631e+02, 2.10332241e+01, 3.47252594e+02, 1.29554138e+02,
        9.95775521e-01],
       [3.77876709e+02, 1.42023300e+02, 4.89068604e+02, 2.43569717e+02,
        9.93879437e-01],
       [4.82669220e+02, 2.12958679e+02, 6.02574646e+02, 3.40457428e+02,
        9.89183664e-01],
       [3.62713593e+02, 2.71182953e+02, 4.76741180e+02, 3.79279541e+02,
        9.85817015e-01],
       [2.65712967e+01, 3.96787079e+02, 1.23879730e+02, 4.79120453e+02,
        9.43961561e-01],
       [2.77539616e+01, 1.74937180e+02, 1.41627914e+02, 2.49023697e+02,
        9.37025130e-01],
       [2.77531464e+02, 3.63408783e+02, 3.74020966e+02, 4.51208008e+02,
        9.13726449e-01],
       [1.50819901e+02, 2.18538147e+02, 2.65516174e+02, 3.41619415e+02,
        7.93330610e-01],
       [2.90100922e+02, 2.94533112e+02, 3.87053009e+02, 3.81094971e+02,
        7.84858882e-01],
       [2.37704208e+02, 2.92139954e+02, 3.28519012e+02, 3.81456879e+02,
        6.57834411e-01],
       [1.90984253e+02, 3.87344421e+02, 3.14445587e+02, 4.80000000e+02,
        4.56131846e-01],
       [4.20242676e+02, 3.59113007e+02, 5.10105164e+02, 4.53121857e+02,
        4.26169991e-01],
       [4.68017090e+02, 3.31852478e+02, 5.67468323e+02, 4.32966553e+02,
        3.84428144e-01],
       [5.61193726e+02, 1.16807737e+01, 6.39335999e+02, 8.94139709e+01,
        1.20110415e-01],
       [1.06803780e+02, 1.68139252e+02, 2.11844711e+02, 2.81366364e+02,
        8.99454951e-02],
       [5.90912231e+02, 2.85300690e+02, 6.40000000e+02, 4.06135986e+02,
        6.32491931e-02],
       [9.00011718e-01, 2.22566879e+02, 9.59714584e+01, 3.53754486e+02,
        5.42280264e-02],
       [1.30240738e+02, 1.87612930e+02, 2.35163940e+02, 3.10311859e+02,
        5.29983230e-02],
       [5.32020264e+02, 3.35046326e+02, 6.22235046e+02, 4.27987793e+02,
        5.24943359e-02]], dtype=float32), array([[3.55363312e+02, 1.13478966e+02, 3.97631592e+02, 1.57191711e+02,
        9.83108222e-01],
       [1.26099300e+01, 1.01725586e+02, 5.31830635e+01, 1.42127899e+02,
        9.80858743e-01],
       [3.82449860e+02, 9.01091766e+01, 4.27488068e+02, 1.28112808e+02,
        9.80270624e-01],
       [3.19499298e+02, 1.11733780e+02, 3.58875031e+02, 1.47300568e+02,
        8.79278600e-01],
       [3.21222809e+02, 1.10766472e+02, 3.87757050e+02, 1.54463470e+02,
        1.69266641e-01]], dtype=float32)], [array([[ 14.966397  ,  21.24711   , 128.77795   , 136.33575   ,
          0.98885906]], dtype=float32), array([[7.93530731e+01, 2.94259491e+02, 1.88273636e+02, 3.95131226e+02,
        9.90051925e-01],
       [3.28739532e+02, 3.72826660e+02, 4.25858276e+02, 4.72495575e+02,
        9.70825255e-01],
       [5.17736511e+02, 1.44899948e+02, 6.21425842e+02, 2.57333496e+02,
        9.62284029e-01],
       [4.04790100e+02, 2.33167358e+02, 5.25445923e+02, 3.61669678e+02,
        9.51124609e-01],
       [3.07865021e+02, 1.80151489e+02, 4.20892487e+02, 2.80313416e+02,
        9.12685454e-01],
       [4.03566742e+02, 3.93311646e+02, 5.07245941e+02, 4.78055420e+02,
        8.94953370e-01],
       [4.89548401e+02, 3.97118011e+02, 5.72188965e+02, 4.78543549e+02,
        8.11027706e-01],
       [2.11996552e+02, 1.86981628e+02, 2.94332642e+02, 2.75999939e+02,
        8.01548719e-01],
       [1.39538269e+02, 3.46332283e+01, 2.40792923e+02, 1.49513748e+02,
        7.38634109e-01],
       [1.96247589e+02, 9.12102814e+01, 2.93223602e+02, 1.89710922e+02,
        7.18038082e-01],
       [8.29561615e+01, 1.94443771e+02, 1.75940674e+02, 2.84399231e+02,
        6.47671759e-01],
       [1.38696640e+02, 2.04982132e+02, 2.33312180e+02, 2.86086761e+02,
        6.37217879e-01],
       [4.87011871e+02, 4.96444702e+00, 5.93298340e+02, 9.63034210e+01,
        6.27744138e-01],
       [5.47508972e+02, 2.28445175e+02, 6.40000000e+02, 3.34301910e+02,
        5.09140015e-01],
       [4.46675110e+02, 6.03314285e+01, 5.66399597e+02, 1.81857773e+02,
        4.73077655e-01],
       [3.42630554e+02, 3.29540497e+02, 4.45946014e+02, 4.05690399e+02,
        4.13775951e-01],
       [5.46827942e+02, 5.72971535e+01, 6.40000000e+02, 1.77350433e+02,
        3.96859020e-01],
       [8.00374889e+00, 3.98382355e+02, 9.97061005e+01, 4.79231415e+02,
        3.87419850e-01],
       [4.52330261e+02, 3.97276428e+02, 5.43421204e+02, 4.78679352e+02,
        3.58868599e-01],
       [5.66154556e+01, 2.07017654e+02, 1.60687393e+02, 3.12520538e+02,
        2.39004835e-01],
       [5.50054504e+02, 2.62497437e+02, 6.39291321e+02, 3.69071625e+02,
        2.22684637e-01],
       [1.32199936e+02, 1.00260038e+01, 2.32202576e+02, 1.07264404e+02,
        1.55331463e-01],
       [3.21543884e+02, 2.45754852e+02, 4.18664825e+02, 3.21847717e+02,
        1.16572320e-01],
       [1.26303841e+02, 1.07747307e+02, 2.17308151e+02, 2.07091629e+02,
        7.27365315e-02],
       [1.57241486e+02, 1.39838837e+02, 1.89331024e+02, 1.66542679e+02,
        5.66191152e-02],
       [1.62145370e+02, 8.14424057e+01, 2.59295349e+02, 1.82057419e+02,
        5.41709401e-02]], dtype=float32), array([[3.3379312e+02, 3.5555637e+01, 3.7546289e+02, 7.3156364e+01,
        9.5729077e-01],
       [6.9567291e+01, 1.7359941e+02, 1.0733781e+02, 2.0749904e+02,
        7.9717797e-01],
       [1.5804822e+02, 1.4095328e+02, 1.9042784e+02, 1.6778339e+02,
        1.4100426e-01]], dtype=float32)], [array([[164.72855   ,   4.4873657 , 330.99048   , 118.70736   ,
          0.99531096]], dtype=float32), array([[3.35314789e+02, 2.22097565e+02, 4.45632324e+02, 3.28302032e+02,
        9.88138258e-01],
       [4.44041718e+02, 3.60218109e+02, 5.56532593e+02, 4.80000000e+02,
        9.76306975e-01],
       [2.49585251e+02, 2.56258911e+02, 3.56588440e+02, 3.50210846e+02,
        9.74331439e-01],
       [5.48153931e+02, 1.35891724e+00, 6.39378662e+02, 8.08517380e+01,
        9.63559270e-01],
       [2.55048737e+02, 1.61701248e+02, 3.56541107e+02, 2.56664978e+02,
        8.60869288e-01],
       [1.38926071e+02, 1.53189758e+02, 2.53579529e+02, 2.61526520e+02,
        8.44679534e-01],
       [4.55660156e+02, 2.42133301e+02, 5.71833557e+02, 3.48783844e+02,
        8.02041888e-01],
       [3.38852234e+01, 1.74417297e+02, 1.25453415e+02, 2.72631775e+02,
        7.17254102e-01],
       [5.09206085e+02, 2.47940002e+02, 6.12332703e+02, 3.50054382e+02,
        6.96765482e-01],
       [8.12665272e+00, 4.05062073e+02, 1.36243835e+02, 4.79273865e+02,
        6.92110002e-01],
       [1.32911354e-01, 2.10307622e+00, 6.68284912e+01, 1.29571793e+02,
        6.16623580e-01],
       [5.92074203e+00, 1.30238617e+02, 9.85279160e+01, 2.47687592e+02,
        5.37218034e-01],
       [1.46991684e+02, 3.88782959e+02, 2.67559570e+02, 4.75362976e+02,
        4.43983555e-01],
       [2.34284866e+02, 3.90015320e+02, 3.38313232e+02, 4.77985413e+02,
        2.36137792e-01],
       [7.31529922e+01, 7.45890045e+01, 1.73944336e+02, 1.53186600e+02,
        1.68775976e-01],
       [3.91870422e+02, 3.46315521e+02, 4.84327667e+02, 4.42291870e+02,
        1.47787213e-01],
       [4.56072723e+02, 4.63600159e-01, 5.48985352e+02, 5.77099762e+01,
        1.32934242e-01],
       [3.03141113e+02, 3.52138123e+02, 4.03547058e+02, 4.58207092e+02,
        9.39030647e-02],
       [9.67303238e+01, 1.17991409e+02, 1.84568481e+02, 1.84418060e+02,
        6.92002997e-02]], dtype=float32), array([[596.79114  , 151.91644  , 637.2388   , 186.896    ,   0.7346317]],
      dtype=float32)], [array([[131.7823   ,  87.369965 , 300.61835  , 213.69434  ,   0.9958656]],
      dtype=float32), array([[5.0093999e+00, 1.5676373e+02, 1.0582282e+02, 2.5350122e+02,
        9.9133170e-01],
       [2.4181419e+02, 2.0221823e+02, 3.5279538e+02, 3.2197360e+02,
        9.8746455e-01],
       [4.7131326e+02, 1.2841704e+02, 5.8438092e+02, 2.3700301e+02,
        9.7127998e-01],
       [4.1480988e+02, 3.3492474e+02, 5.2908612e+02, 4.2929971e+02,
        9.1732782e-01],
       [3.9184235e+02, 1.6502498e+02, 4.8957037e+02, 2.5139708e+02,
        7.6167214e-01],
       [2.2556398e+00, 3.0640231e+02, 9.2041725e+01, 4.1913947e+02,
        7.2877300e-01],
       [3.7830795e+02, 2.2420437e+01, 4.8560843e+02, 1.3677728e+02,
        6.2519383e-01],
       [3.8244855e+02, 3.7332562e+02, 4.7391953e+02, 4.7331696e+02,
        5.3621262e-01],
       [5.5081592e+02, 1.4858031e+02, 6.3890051e+02, 2.3478314e+02,
        4.6053228e-01],
       [3.0008499e+02, 9.4667946e+01, 3.9128583e+02, 1.9465381e+02,
        3.4392190e-01],
       [5.6274921e+02, 2.6563275e+02, 6.3899054e+02, 3.8171298e+02,
        1.9847254e-01],
       [4.0610173e-01, 4.0091071e+02, 9.3236954e+01, 4.7863086e+02,
        1.9795309e-01],
       [3.0321060e+02, 1.5130153e+02, 3.8985980e+02, 2.3586235e+02,
        1.7752148e-01],
       [5.0906665e+02, 1.4214253e+02, 6.1401263e+02, 2.3832117e+02,
        1.7190711e-01],
       [5.6914374e+02, 6.7646484e+01, 6.4000000e+02, 1.8139876e+02,
        1.4811324e-01],
       [5.8519421e+02, 1.2672547e+00, 6.3932379e+02, 8.3497238e+01,
        1.1058305e-01],
       [3.8302722e+02, 3.4174292e+02, 4.9532843e+02, 4.3937741e+02,
        9.9130571e-02],
       [3.0064423e+02, 8.2742088e+01, 3.9512619e+02, 1.3894846e+02,
        6.7232914e-02],
       [4.0806683e+02, 3.0583742e+00, 5.1351917e+02, 8.0315041e+01,
        6.2469304e-02]], dtype=float32), array([[5.6550616e+02, 4.2279767e+02, 6.0300195e+02, 4.5658173e+02,
        8.8161117e-01],
       [4.7124344e+02, 2.5204013e+02, 5.1029779e+02, 2.9231500e+02,
        8.1977063e-01],
       [5.3655334e+02, 3.9643280e+02, 5.7502631e+02, 4.2849902e+02,
        8.0537075e-01],
       [4.8726761e+02, 1.9558709e+00, 5.1472021e+02, 3.1134720e+01,
        8.3667047e-02]], dtype=float32)], [array([[249.40997  , 225.35504  , 385.0568   , 369.14313  ,   0.9951338]],
      dtype=float32), array([[4.19643951e+02, 2.06498535e+02, 5.36486389e+02, 3.20542877e+02,
        9.95046496e-01],
       [2.91997967e+01, 7.87193298e-01, 1.37389526e+02, 1.00209084e+02,
        9.78814065e-01],
       [2.24104828e+02, 3.76043549e+02, 3.36576874e+02, 4.60185577e+02,
        9.74822938e-01],
       [1.45618240e+02, 1.26272133e+02, 2.72276184e+02, 2.51072021e+02,
        9.18563068e-01],
       [1.16104568e+02, 2.33456039e+02, 2.28701920e+02, 3.24526093e+02,
        9.01893973e-01],
       [3.62572388e+02, 1.11310913e+02, 4.64726501e+02, 2.24282928e+02,
        8.94316375e-01],
       [2.63612390e-01, 1.30165192e+02, 1.02900970e+02, 2.45681442e+02,
        8.93895447e-01],
       [5.28838806e+02, 3.25267563e+01, 6.38546326e+02, 1.57471664e+02,
        7.46715724e-01],
       [2.54484283e+02, 1.25649353e+02, 3.68637512e+02, 2.16935928e+02,
        5.85829258e-01],
       [3.86649902e+02, 0.00000000e+00, 4.81193237e+02, 7.76528702e+01,
        3.48312974e-01],
       [3.29695007e+02, 3.97750275e+02, 4.40003418e+02, 4.71124237e+02,
        3.35375845e-01],
       [1.44028442e+02, 4.17941803e+02, 2.34261429e+02, 4.78622009e+02,
        1.97780728e-01],
       [6.32459211e+00, 2.90613373e+02, 1.04926628e+02, 3.87850647e+02,
        1.94781020e-01],
       [2.16863525e+02, 2.15005875e+01, 3.57590149e+02, 1.23993477e+02,
        1.58781424e-01],
       [6.22440910e+01, 2.39385040e+02, 1.29072540e+02, 3.19703094e+02,
        1.34920269e-01],
       [1.23003456e+02, 2.43512893e+00, 2.22407608e+02, 8.78704605e+01,
        1.29230753e-01],
       [3.36444397e+02, 0.00000000e+00, 4.18533356e+02, 8.53190384e+01,
        1.03659451e-01],
       [1.88525940e+02, 1.69775295e+01, 2.81373810e+02, 1.04218536e+02,
        9.42777991e-02],
       [8.98968887e+01, 2.15076691e+02, 1.93887405e+02, 3.07990570e+02,
        9.28663984e-02],
       [3.55774597e+02, 7.37451782e+01, 4.63579132e+02, 1.91059937e+02,
        7.30091259e-02],
       [5.39703735e+02, 3.53639388e+00, 6.40000000e+02, 1.00651924e+02,
        6.80146888e-02],
       [2.61606049e+02, 2.22534836e+02, 3.72490723e+02, 3.61984070e+02,
        5.27843535e-02]], dtype=float32), array([[ 74.70017  , 429.12964  , 108.81691  , 470.46564  ,   0.9155438],
       [ 58.259926 , 385.0741   ,  93.70532  , 418.3374   ,   0.8912784]],
      dtype=float32)], [array([[  6.2960277 ,   0.53427887, 143.90216   ,  96.96389   ,
          0.98170865]], dtype=float32), array([[3.59919830e+02, 3.13614655e+02, 4.70862091e+02, 4.14110352e+02,
        9.90062237e-01],
       [4.67320374e+02, 2.02856598e+02, 5.79913269e+02, 3.07239594e+02,
        9.87775803e-01],
       [4.31594116e+02, 2.85702858e+01, 5.44631897e+02, 1.26213089e+02,
        9.85013306e-01],
       [9.99607010e+01, 2.18382431e+02, 2.10978271e+02, 3.26515045e+02,
        9.74858105e-01],
       [2.96253082e+02, 3.75186371e+02, 4.01136536e+02, 4.74172821e+02,
        9.59122241e-01],
       [2.71023010e+02, 1.10847923e+02, 3.59859711e+02, 2.14967651e+02,
        9.24415946e-01],
       [1.97803177e+02, 3.82300903e+02, 3.09023926e+02, 4.76275604e+02,
        9.13732767e-01],
       [6.85296118e-01, 3.45853241e+02, 1.05883095e+02, 4.73909241e+02,
        8.53821039e-01],
       [3.57702850e+02, 2.49448252e+00, 4.68874023e+02, 9.65693130e+01,
        7.81137109e-01],
       [1.81177368e+02, 1.13522964e+02, 3.04397369e+02, 2.51256851e+02,
        7.60099173e-01],
       [1.81023651e+02, 7.91677399e+01, 2.96144836e+02, 1.70009384e+02,
        6.77370131e-01],
       [5.72473999e+02, 2.64815033e+02, 6.39661377e+02, 3.69287933e+02,
        6.10770762e-01],
       [2.22009583e+02, 2.95575592e+02, 3.30073151e+02, 3.91626709e+02,
        4.90701854e-01],
       [1.74875824e+02, 2.56651703e+02, 2.99952515e+02, 3.54349701e+02,
        2.71099538e-01],
       [5.67279114e+02, 2.12875223e+00, 6.38456055e+02, 7.59402771e+01,
        1.57497346e-01],
       [7.26327324e+00, 0.00000000e+00, 1.45538712e+02, 9.61731110e+01,
        1.25952363e-01],
       [1.35423690e-01, 2.45493561e+02, 6.79896317e+01, 3.27685120e+02,
        1.23069525e-01],
       [2.24831879e+02, 1.12225906e+02, 3.26100800e+02, 2.21468750e+02,
        1.10983372e-01],
       [1.72036530e+02, 3.77808197e+02, 4.33565979e+02, 4.77432007e+02,
        7.05127642e-02],
       [1.81614628e+01, 3.16750519e+02, 1.08007393e+02, 4.23858521e+02,
        6.22817501e-02]], dtype=float32), array([[480.6251    , 288.7665    , 525.12415   , 326.499     ,
          0.52984643]], dtype=float32)], [array([[171.15654   , 132.29791   , 364.33868   , 316.16595   ,
          0.99707496]], dtype=float32), array([[3.71046906e+02, 2.74878143e+02, 4.85776215e+02, 3.82645599e+02,
        9.96233761e-01],
       [5.30940491e+02, 1.64886932e+02, 6.35541504e+02, 2.65248657e+02,
        9.81179535e-01],
       [1.01024796e+02, 2.16880981e+02, 1.93777939e+02, 3.20656708e+02,
        9.75297391e-01],
       [4.14438324e+02, 6.20049973e+01, 5.24771912e+02, 1.65475052e+02,
        9.64420974e-01],
       [4.91408813e+02, 5.43657684e+01, 6.04299988e+02, 1.63296158e+02,
        9.63177562e-01],
       [2.52594574e+02, 2.93767738e+01, 3.82129059e+02, 1.33475967e+02,
        9.41356361e-01],
       [4.99558380e+02, 2.50520319e-01, 6.18775940e+02, 9.05429459e+01,
        9.33406353e-01],
       [3.71788147e+02, 1.52665176e+02, 4.72230896e+02, 2.54887100e+02,
        9.05055940e-01],
       [1.94083557e+02, 3.41273956e+02, 3.08715302e+02, 4.46310211e+02,
        8.97358894e-01],
       [5.88733139e+01, 2.67034363e+02, 1.52500320e+02, 3.53055450e+02,
        8.46703827e-01],
       [4.07010529e+02, 4.12401062e+02, 5.20408936e+02, 4.80000000e+02,
        8.39815319e-01],
       [1.88544121e+01, 1.48646500e+02, 1.15126106e+02, 2.42611328e+02,
        8.29032838e-01],
       [6.09353676e+01, 3.92200470e+01, 1.58139389e+02, 1.56351791e+02,
        8.19184005e-01],
       [5.95492661e-01, 5.90013921e-01, 9.39077988e+01, 7.53704224e+01,
        7.87106872e-01],
       [3.02266266e+02, 3.60938385e+02, 4.00275787e+02, 4.57453644e+02,
        7.66068876e-01],
       [0.00000000e+00, 2.63819519e+02, 7.82213974e+01, 3.58654755e+02,
        6.59724593e-01],
       [3.89513611e+02, 1.75866837e+02, 4.94139832e+02, 2.74061920e+02,
        1.75291792e-01],
       [3.86016418e+02, 1.88829809e-01, 4.87674377e+02, 5.06020050e+01,
        1.33796737e-01],
       [1.23566826e+02, 7.90175171e+01, 2.18230057e+02, 1.89881760e+02,
        1.12068482e-01],
       [1.85647446e+02, 5.35287933e+01, 2.66701691e+02, 1.36897888e+02,
        9.36513096e-02],
       [1.42491272e+02, 7.08832397e+01, 2.25368347e+02, 1.52896317e+02,
        5.28690927e-02]], dtype=float32), array([[3.07563705e+01, 4.13056396e+02, 6.41391144e+01, 4.44803589e+02,
        7.93114305e-01],
       [1.58402145e+02, 2.76981506e+01, 1.92330246e+02, 6.41151886e+01,
        2.96322972e-01],
       [1.03043236e+02, 3.66559509e+02, 1.32527954e+02, 3.97664886e+02,
        1.80526659e-01]], dtype=float32)], [array([[135.54146  ,   2.5413575, 285.4241   ,  99.36341  ,   0.9682147]],
      dtype=float32), array([[3.3139703e+02, 2.6695935e+02, 4.4126276e+02, 3.6502158e+02,
        9.8601019e-01],
       [1.3745183e+02, 1.8911975e+02, 2.3794774e+02, 2.9131909e+02,
        9.7514367e-01],
       [1.8345428e+02, 2.8740103e+02, 2.8766806e+02, 3.8398288e+02,
        9.6600902e-01],
       [2.5299892e+02, 2.3194318e+02, 3.5453412e+02, 3.2729272e+02,
        9.6048576e-01],
       [4.1271713e+02, 2.9174496e+02, 5.0499295e+02, 3.9536185e+02,
        9.4485396e-01],
       [3.5556003e+02, 1.1263820e+02, 4.9585846e+02, 2.0388916e+02,
        9.4203806e-01],
       [2.9605295e+02, 3.9828957e+01, 3.8938614e+02, 1.3104858e+02,
        9.2523509e-01],
       [3.6494131e+02, 1.7499390e+01, 4.7155273e+02, 1.1607590e+02,
        9.2432523e-01],
       [4.6436041e+02, 5.5584656e+01, 5.6419916e+02, 1.5851939e+02,
        9.0937984e-01],
       [1.0305558e+01, 3.8273175e+02, 1.1149280e+02, 4.7086334e+02,
        8.9513940e-01],
       [4.7051598e+01, 2.2549780e+02, 1.5800310e+02, 3.3432870e+02,
        8.4213775e-01],
       [4.7545181e+02, 4.1563922e+02, 5.8042517e+02, 4.8000000e+02,
        8.3817434e-01],
       [4.4655496e+02, 2.2174007e+02, 5.5172504e+02, 3.2566336e+02,
        8.2346642e-01],
       [0.0000000e+00, 1.9521886e+02, 8.5227074e+01, 2.8522891e+02,
        7.5741398e-01],
       [5.5570795e+02, 3.2005682e+02, 6.3813928e+02, 4.0932465e+02,
        2.9937860e-01],
       [1.8978399e+00, 7.0778778e+01, 7.7782631e+01, 2.0507660e+02,
        2.6823774e-01],
       [8.3422913e+01, 7.9636917e+01, 1.8261655e+02, 1.6619304e+02,
        2.3203966e-01],
       [1.0820030e+02, 1.2765535e+02, 2.0331494e+02, 2.2382642e+02,
        2.2515835e-01],
       [5.1420294e+02, 2.7519724e+02, 6.0180280e+02, 3.8487610e+02,
        1.6117747e-01],
       [0.0000000e+00, 3.7817688e+00, 6.8680260e+01, 9.9448174e+01,
        1.5353541e-01],
       [6.0309513e+01, 4.3120853e+01, 1.4376492e+02, 1.2670312e+02,
        1.3160771e-01],
       [4.8472809e+02, 2.0675721e+00, 5.6568005e+02, 6.2158398e+01,
        9.8696336e-02],
       [5.5787488e+02, 2.3276831e+01, 6.3887158e+02, 1.4096252e+02,
        9.7814254e-02],
       [1.3282466e+02, 0.0000000e+00, 2.8668939e+02, 1.0395282e+02,
        9.1914594e-02],
       [5.1780115e+02, 1.6968713e+02, 6.3411346e+02, 2.7825003e+02,
        7.2316609e-02]], dtype=float32), array([[ 45.86862   , 185.57384   ,  74.65402   , 213.04446   ,
          0.66447276]], dtype=float32)], [array([[ 50.495502 , 217.26466  , 198.88506  , 377.18036  ,   0.9953172]],
      dtype=float32), array([[7.5905540e+01, 3.8272815e+02, 1.8449365e+02, 4.8000000e+02,
        9.9137348e-01],
       [2.5463458e+02, 4.0186020e+01, 3.6939880e+02, 1.4889555e+02,
        9.8576885e-01],
       [1.7750110e+02, 1.4946114e+02, 2.9238135e+02, 2.7195959e+02,
        9.8490137e-01],
       [2.3263780e+02, 2.6607275e+02, 3.4416003e+02, 3.9064651e+02,
        9.6976155e-01],
       [3.7458746e+02, 1.3784459e+01, 4.9873233e+02, 1.3428032e+02,
        9.3836641e-01],
       [1.3820566e+02, 3.2724522e+01, 2.7577130e+02, 1.5098964e+02,
        9.0400553e-01],
       [1.9260166e+01, 1.1356188e+01, 1.4850629e+02, 1.1200580e+02,
        8.1488657e-01],
       [1.8401315e+02, 4.1276605e+02, 3.0285751e+02, 4.7941690e+02,
        8.0115670e-01],
       [0.0000000e+00, 1.2890341e+02, 1.2442680e+02, 2.3944342e+02,
        6.4928728e-01],
       [3.1371606e+02, 4.2501337e+02, 4.2948209e+02, 4.8000000e+02,
        1.9150640e-01],
       [0.0000000e+00, 3.1013638e+02, 7.3058617e+01, 4.3043787e+02,
        1.8101217e-01],
       [2.6713318e+02, 2.3757866e+02, 3.4743527e+02, 3.5810114e+02,
        1.7219345e-01],
       [5.7089166e+02, 3.4961493e+02, 6.3856946e+02, 4.5509900e+02,
        1.3427904e-01]], dtype=float32), array([[451.05878  , 453.3886   , 486.2066   , 480.       ,   0.8328378]],
      dtype=float32)], [array([[ 40.0835    , 327.00546   , 187.25102   , 480.        ,
          0.99736893]], dtype=float32), array([[8.0776787e+01, 9.7507896e+01, 1.7706821e+02, 1.9536990e+02,
        9.9113655e-01],
       [2.4562190e+02, 8.0478737e+01, 3.7684341e+02, 2.0945657e+02,
        9.8815441e-01],
       [2.2523043e+01, 2.4123187e+02, 1.1373541e+02, 3.2363699e+02,
        9.7125018e-01],
       [1.9752739e+02, 2.6766824e+02, 3.1145789e+02, 3.4469241e+02,
        9.6912766e-01],
       [3.8789935e+02, 3.1645325e+02, 4.7439764e+02, 4.1672876e+02,
        9.6271062e-01],
       [9.0722603e+01, 1.9498428e+02, 2.1942638e+02, 3.0697583e+02,
        9.6012729e-01],
       [1.4105643e+02, 1.0111366e+02, 2.3984213e+02, 2.0855231e+02,
        9.3494987e-01],
       [3.4163577e+02, 3.1524091e+02, 4.3218265e+02, 4.1201367e+02,
        9.0386993e-01],
       [4.4753336e+02, 2.2958070e+02, 5.3430548e+02, 3.3128909e+02,
        8.1606162e-01],
       [4.5503677e+02, 5.9861296e-01, 5.4790668e+02, 7.0229317e+01,
        7.7999568e-01],
       [5.2776324e+02, 6.3293762e+01, 6.3035431e+02, 1.7610522e+02,
        7.4514014e-01],
       [4.9501740e+02, 2.4872157e+02, 5.7885510e+02, 3.5062198e+02,
        6.7445314e-01],
       [5.3026593e+02, 2.5359438e+02, 6.1675305e+02, 3.5513098e+02,
        4.3198404e-01],
       [2.7763525e+02, 4.2021182e+02, 3.7264972e+02, 4.7932397e+02,
        2.9180598e-01],
       [3.5254871e+02, 3.9981982e+02, 4.6574728e+02, 4.7952747e+02,
        1.1382009e-01],
       [5.9029034e+02, 3.2106699e+02, 6.3931799e+02, 4.3964923e+02,
        8.7838471e-02]], dtype=float32), array([[1.7795779e+02, 3.0575195e+01, 2.1635435e+02, 6.7008881e+01,
        9.7507465e-01],
       [2.2732489e+02, 1.6585490e+02, 2.7630319e+02, 2.0934656e+02,
        9.7084159e-01],
       [3.4935931e+02, 1.9614221e+02, 3.9767328e+02, 2.4073364e+02,
        9.6747613e-01],
       [4.5787164e+02, 6.0970592e+01, 4.8947852e+02, 8.6764153e+01,
        5.3873807e-02]], dtype=float32)], [array([[ 97.613106  , 115.1449    , 282.225     , 283.08017   ,
          0.99702007]], dtype=float32), array([[4.36022705e+02, 2.75161224e+02, 5.53204224e+02, 3.75513153e+02,
        9.93965447e-01],
       [2.42497086e+02, 3.23986237e+02, 3.46148224e+02, 4.16830902e+02,
        9.88744617e-01],
       [4.61785217e+02, 1.14626076e+02, 5.75516968e+02, 2.27046143e+02,
        9.88294840e-01],
       [3.21404480e+02, 4.52891655e+01, 4.22230743e+02, 1.38143234e+02,
        9.78490829e-01],
       [4.06139160e+02, 4.63609428e+01, 5.06479279e+02, 1.45005066e+02,
        9.76659298e-01],
       [3.16081787e+02, 2.15141769e+02, 4.29990387e+02, 3.33809265e+02,
        9.69872117e-01],
       [3.48776367e+02, 9.61837006e+01, 4.53782532e+02, 2.01328537e+02,
        9.05432642e-01],
       [3.45756500e+02, 3.54260559e+02, 4.61239471e+02, 4.62903198e+02,
        8.71933699e-01],
       [2.01466949e+02, 3.88715027e+02, 3.20618744e+02, 4.79970825e+02,
        7.74029195e-01],
       [5.48703003e+02, 8.05053406e+01, 6.39055786e+02, 1.86414841e+02,
        6.74522996e-01],
       [8.12527847e+01, 3.68434753e+01, 1.87477432e+02, 1.12810150e+02,
        6.11686289e-01],
       [5.71223328e+02, 1.86856384e+02, 6.38398010e+02, 2.95674835e+02,
        3.95848483e-01],
       [8.52214355e+01, 2.86223907e+02, 1.82301468e+02, 4.03604187e+02,
        3.94628465e-01],
       [3.30965012e-01, 3.35792450e+02, 8.55689163e+01, 4.25024139e+02,
        2.33212382e-01],
       [0.00000000e+00, 2.92776031e+01, 8.80665359e+01, 1.45159058e+02,
        1.90519944e-01],
       [1.09069817e+02, 8.28822374e-01, 2.02465515e+02, 7.51983566e+01,
        1.80240467e-01],
       [1.37831326e+01, 1.88553909e+02, 9.91344986e+01, 2.94748413e+02,
        1.58408284e-01],
       [3.27261871e+02, 3.20150665e+02, 4.28436310e+02, 4.04495636e+02,
        1.21794090e-01],
       [5.51066322e+01, 3.72916016e+02, 1.37530487e+02, 4.45424011e+02,
        9.91791636e-02]], dtype=float32), array([[5.4772656e+02, 4.4626294e+02, 5.8987067e+02, 4.8000000e+02,
        9.5776123e-01],
       [3.3279608e+02, 1.7704587e+02, 3.7288782e+02, 2.0917638e+02,
        8.5287726e-01],
       [9.9425972e+01, 2.3719348e+02, 1.4388841e+02, 2.8458261e+02,
        1.6939989e-01]], dtype=float32)], [array([[226.21786  ,  11.227002 , 404.32513  , 167.69273  ,   0.9970215]],
      dtype=float32), array([[1.50349030e+02, 3.30060760e+02, 2.70254944e+02, 4.58308563e+02,
        9.87495005e-01],
       [2.08881821e+02, 2.44063110e+02, 3.04941559e+02, 3.44170135e+02,
        9.63477135e-01],
       [3.77461639e+02, 3.10371826e+02, 4.85957275e+02, 4.03840210e+02,
        9.57389355e-01],
       [8.09854126e+01, 1.50349731e+02, 2.05592316e+02, 2.61334320e+02,
        9.41125154e-01],
       [4.63828278e+02, 2.25199753e+02, 5.61546387e+02, 3.20890472e+02,
        9.13406432e-01],
       [3.59525208e+02, 2.07157837e+02, 4.66464661e+02, 3.14682617e+02,
        8.87339532e-01],
       [5.05841003e+02, 3.47566925e+02, 6.26593201e+02, 4.67793457e+02,
        8.19672942e-01],
       [1.26262726e+02, 1.03457954e+02, 2.17452759e+02, 1.81588303e+02,
        7.80818939e-01],
       [5.60863220e+02, 2.24294682e+01, 6.39867920e+02, 1.29277954e+02,
        7.25301623e-01],
       [2.58005188e+02, 2.55416260e+02, 3.54053528e+02, 3.50784302e+02,
        7.24779427e-01],
       [4.52741486e+02, 1.58325815e+00, 5.54921692e+02, 8.87824173e+01,
        6.80675924e-01],
       [1.04637253e+00, 1.33978943e+02, 8.49246063e+01, 2.53248779e+02,
        6.52711689e-01],
       [1.21549660e+02, 1.37159729e+00, 2.33497833e+02, 1.15415878e+02,
        5.63846231e-01],
       [3.08474518e+02, 2.49945587e+02, 3.91840637e+02, 3.42254150e+02,
        5.16322315e-01],
       [3.03854632e+00, 1.96039581e+02, 9.02238083e+01, 3.07274384e+02,
        4.87600654e-01],
       [5.23836182e+02, 2.32476025e+01, 6.06902344e+02, 1.23015602e+02,
        4.27585125e-01],
       [4.47054474e+02, 3.18504456e+02, 5.46888123e+02, 4.07112854e+02,
        3.46278876e-01],
       [4.11267944e+02, 2.19278442e+02, 5.40189880e+02, 3.22634735e+02,
        1.54806122e-01],
       [4.07213226e+02, 2.34949040e+00, 4.80051331e+02, 7.22557297e+01,
        6.01174533e-02],
       [1.24928467e+02, 4.25936470e+01, 2.25167603e+02, 1.60526657e+02,
        5.93239293e-02]], dtype=float32), array([], shape=(0, 5), dtype=float32)], [array([[ 60.213947,  60.06668 , 217.28372 , 211.8913  ,   0.995824]],
      dtype=float32), array([[3.2689166e+02, 1.7842561e+02, 4.2967114e+02, 2.8142639e+02,
        9.9671602e-01],
       [5.1633527e+02, 1.8871317e+01, 6.2926587e+02, 1.2349353e+02,
        9.7564191e-01],
       [5.2978485e+02, 3.6048282e+02, 6.3496808e+02, 4.6175839e+02,
        9.4673759e-01],
       [1.5945875e+01, 2.2626801e-01, 1.3259157e+02, 9.2926796e+01,
        9.3500370e-01],
       [4.3272601e+02, 1.5761977e+02, 5.4306049e+02, 2.6173923e+02,
        8.6976242e-01],
       [2.2808334e+02, 4.3254364e+01, 3.4167654e+02, 1.5348839e+02,
        8.6256593e-01],
       [1.0101768e+02, 2.3546510e+02, 2.1339464e+02, 3.4172858e+02,
        8.3507317e-01],
       [3.6760007e+02, 7.1766403e+01, 4.6550409e+02, 1.5067223e+02,
        7.5579506e-01],
       [2.9765021e+02, 6.7300049e+01, 3.9316595e+02, 1.5778802e+02,
        5.6908834e-01],
       [1.6217075e+01, 3.6273203e+02, 1.1002106e+02, 4.6605096e+02,
        4.2247707e-01],
       [5.0039493e+02, 1.5926213e+02, 5.9940509e+02, 2.5547798e+02,
        4.1442755e-01],
       [5.6055579e+02, 1.5168535e+02, 6.3926868e+02, 2.5217780e+02,
        3.9040011e-01],
       [2.2334959e+01, 2.1599802e+02, 1.2273028e+02, 3.3482318e+02,
        1.8699995e-01],
       [8.0390680e-01, 2.4282297e+02, 7.7865150e+01, 3.3994632e+02,
        1.6752100e-01],
       [9.9817413e+01, 3.3667487e+02, 2.0440997e+02, 4.3163321e+02,
        1.5740201e-01],
       [1.7821217e+02, 3.7954706e+02, 2.8384433e+02, 4.7690762e+02,
        9.7868308e-02],
       [1.6513574e+02, 3.7517874e+02, 2.4754132e+02, 4.5363367e+02,
        7.5765021e-02],
       [3.3617075e+02, 5.4471679e+00, 4.4308237e+02, 9.2830208e+01,
        6.8362564e-02],
       [1.2246363e+02, 3.1545245e+02, 2.2905132e+02, 4.1262201e+02,
        5.9740651e-02]], dtype=float32), array([[405.62793  , 394.50742  , 447.12512  , 432.1378   ,   0.9670253]],
      dtype=float32)], [array([[198.61609 , 185.30576 , 372.2161  , 347.79977 ,   0.995806]],
      dtype=float32), array([[1.05024620e+02, 1.47555267e+02, 2.20059113e+02, 2.52208588e+02,
        9.79260862e-01],
       [5.18365845e+02, 1.30102295e+02, 6.36642822e+02, 2.30264954e+02,
        9.63472784e-01],
       [1.67294052e+02, 1.13860476e+00, 2.70913269e+02, 8.70840683e+01,
        9.23653185e-01],
       [2.98954487e+01, 3.19316193e+02, 1.34013809e+02, 4.18906769e+02,
        9.04907644e-01],
       [3.80143005e+02, 3.56976715e+02, 4.89781586e+02, 4.53023163e+02,
        8.92940223e-01],
       [1.04436966e+02, 2.46343536e+02, 2.05196579e+02, 3.57035461e+02,
        8.14377427e-01],
       [3.64782715e+00, 2.11094009e+02, 9.54136581e+01, 2.91292908e+02,
        7.59072006e-01],
       [3.00206909e+02, 3.53359344e+02, 4.34337158e+02, 4.61962067e+02,
        7.24250972e-01],
       [3.56055878e+02, 2.87376404e+01, 4.67979340e+02, 1.44266052e+02,
        6.23879313e-01],
       [3.08177948e+02, 8.86149368e+01, 4.11137482e+02, 2.10529022e+02,
        5.79339921e-01],
       [4.10973969e+02, 4.88648224e+01, 5.35318420e+02, 1.59917892e+02,
        3.26937288e-01],
       [0.00000000e+00, 1.82461472e+02, 8.45807724e+01, 2.44679718e+02,
        1.81185141e-01],
       [5.48609802e+02, 2.08543587e+01, 6.36839722e+02, 9.90913086e+01,
        1.22192189e-01],
       [3.26657623e+02, 4.62914238e+01, 4.43687988e+02, 1.67326889e+02,
        6.54150769e-02],
       [2.86379883e+02, 9.33970690e-01, 3.70144073e+02, 5.85471382e+01,
        5.34303673e-02]], dtype=float32), array([[4.09884338e+02, 1.08452240e+02, 4.48318665e+02, 1.47036621e+02,
        7.64422357e-01],
       [5.33711304e+02, 3.06082306e+02, 5.71909668e+02, 3.34788513e+02,
        6.23435497e-01],
       [7.54751740e+01, 2.05864136e+02, 1.03610466e+02, 2.34762497e+02,
        4.78855312e-01],
       [5.47317688e+02, 3.44597656e+02, 5.86780762e+02, 3.88680359e+02,
        2.19835743e-01],
       [1.03337723e+02, 4.57836060e+02, 1.40240921e+02, 4.79915558e+02,
        1.42871231e-01]], dtype=float32)], [array([[198.47737  ,  23.963306 , 381.4839   , 211.56042  ,   0.9953843]],
      dtype=float32), array([[8.0919182e+01, 2.3572552e+02, 1.9037332e+02, 3.3916571e+02,
        9.8958999e-01],
       [4.5207233e+02, 1.4487526e+02, 5.6632147e+02, 2.5971637e+02,
        9.7824836e-01],
       [2.5307709e+02, 3.5003644e+02, 3.6333679e+02, 4.5570059e+02,
        9.6750927e-01],
       [4.9170584e+02, 2.5984589e+02, 5.8845251e+02, 3.7467499e+02,
        9.6517020e-01],
       [3.8801675e+02, 2.6368228e+02, 5.0212881e+02, 3.9635422e+02,
        9.4880706e-01],
       [1.2723696e+02, 3.3323703e+02, 2.5093919e+02, 4.4072351e+02,
        9.3507999e-01],
       [5.1676831e+02, 0.0000000e+00, 6.3916992e+02, 9.3500908e+01,
        8.9319986e-01],
       [3.0501062e+02, 3.0504657e+02, 4.0425763e+02, 3.9919733e+02,
        8.9148283e-01],
       [1.4977388e+02, 1.5228270e+02, 2.3486061e+02, 2.4857556e+02,
        8.5323596e-01],
       [5.2036572e+02, 3.9308878e+02, 6.3830017e+02, 4.7942749e+02,
        8.0404830e-01],
       [6.2976715e+01, 3.4146512e+02, 1.5964261e+02, 4.3670853e+02,
        6.8675452e-01],
       [1.0741082e+02, 1.4392622e+02, 1.9651831e+02, 2.3613150e+02,
        6.5111482e-01],
       [3.5037631e+02, 3.9185541e+02, 4.4722189e+02, 4.7876028e+02,
        6.1530983e-01],
       [4.0492670e+02, 1.9104414e+02, 5.1529132e+02, 2.8077429e+02,
        5.3799707e-01],
       [1.3961869e+00, 1.9012895e+02, 8.5312889e+01, 3.1591391e+02,
        3.7592030e-01],
       [2.0750718e+00, 8.6791992e+01, 6.1620056e+01, 1.8318797e+02,
        1.8849298e-01],
       [3.5792786e+02, 2.4783326e-02, 4.6820120e+02, 4.9790600e+01,
        1.3094296e-01]], dtype=float32), array([], shape=(0, 5), dtype=float32)], [array([[217.1279    , 255.99889   , 438.17606   , 472.45505   ,
          0.99818295]], dtype=float32), array([[3.0044751e+02, 9.6252686e+01, 4.0925223e+02, 2.0444061e+02,
        9.9480247e-01],
       [1.7682565e+02, 1.7389023e+00, 2.8749872e+02, 1.0976439e+02,
        9.9448848e-01],
       [4.0547476e+02, 1.2608267e+02, 5.1143005e+02, 2.2908881e+02,
        9.9338067e-01],
       [3.0698046e+01, 2.7836920e+02, 1.4515497e+02, 3.8000656e+02,
        9.9249190e-01],
       [6.0919559e+01, 0.0000000e+00, 1.6060158e+02, 8.9780945e+01,
        9.9059933e-01],
       [4.6563373e+02, 2.6588791e+02, 5.7783105e+02, 3.5084604e+02,
        9.8802382e-01],
       [1.3659895e+02, 1.1052435e+02, 2.4318921e+02, 2.1629808e+02,
        9.8617178e-01],
       [7.7403465e+01, 1.9747772e+02, 1.8620438e+02, 2.9984146e+02,
        9.8614061e-01],
       [3.2503775e+02, 8.5991365e-01, 4.5077304e+02, 9.0486916e+01,
        9.8518664e-01],
       [1.5388452e+02, 3.8209482e+02, 2.7247452e+02, 4.8000000e+02,
        9.8489815e-01],
       [4.6823300e+02, 2.8433853e+01, 5.7367120e+02, 1.3112842e+02,
        9.7315878e-01],
       [5.0874454e+02, 7.9231239e+01, 6.1616669e+02, 1.8565520e+02,
        9.6072173e-01],
       [5.2246759e+02, 1.9153525e+02, 6.3659174e+02, 2.7730533e+02,
        9.4260782e-01],
       [1.8962061e+02, 2.0919815e+02, 2.9171078e+02, 3.0776801e+02,
        9.3375909e-01],
       [1.9228372e+02, 1.4850410e+02, 2.9726242e+02, 2.3911026e+02,
        3.2036468e-01],
       [3.9151602e+02, 4.2425830e+02, 4.9899002e+02, 4.7987564e+02,
        3.1271839e-01]], dtype=float32), array([[414.55212   , 271.8613    , 454.09692   , 308.7112    ,
          0.9461837 ],
       [610.32245   , 171.01144   , 639.80084   , 194.20743   ,
          0.65767205]], dtype=float32)], [array([[156.65115   ,   9.7636595 , 379.72098   , 190.3482    ,
          0.99632406]], dtype=float32), array([[6.9621864e+01, 3.1361426e+02, 1.8354393e+02, 4.2671191e+02,
        9.9473709e-01],
       [4.5586697e+02, 1.8253532e+02, 5.7172778e+02, 2.8116394e+02,
        9.9440104e-01],
       [4.0787994e+02, 8.6976501e+01, 5.0732150e+02, 1.8811458e+02,
        9.9277532e-01],
       [4.5252769e+01, 7.9233498e+01, 1.5384094e+02, 1.8331802e+02,
        9.8966110e-01],
       [3.5468619e+02, 3.3631564e+02, 4.7744891e+02, 4.5073444e+02,
        9.8958987e-01],
       [1.3642575e+02, 2.5861676e+02, 2.4208272e+02, 3.6603207e+02,
        9.8794764e-01],
       [3.2708948e+02, 2.2908261e+02, 4.5596225e+02, 3.3526611e+02,
        9.8774278e-01],
       [2.3600827e+02, 3.0556018e+02, 3.5027682e+02, 4.0217389e+02,
        9.8670167e-01],
       [5.4989252e+02, 0.0000000e+00, 6.4000000e+02, 9.0183456e+01,
        9.8038906e-01],
       [2.0949162e+01, 1.8717021e+02, 1.3256154e+02, 2.8131006e+02,
        9.7919089e-01],
       [4.3901483e+02, 2.8498700e+02, 5.5773102e+02, 4.0193634e+02,
        9.7868365e-01],
       [2.4100832e+02, 3.8235831e+02, 3.5453131e+02, 4.8000000e+02,
        9.7650415e-01],
       [7.4297981e+01, 0.0000000e+00, 1.8053806e+02, 7.7271324e+01,
        9.7069901e-01],
       [4.5343622e+02, 1.7874298e+00, 5.4232086e+02, 8.2973640e+01,
        9.6416694e-01],
       [5.3758203e+02, 3.3239877e+02, 6.3881073e+02, 4.4059973e+02,
        9.3847346e-01],
       [8.9236374e+01, 1.6501627e+02, 1.8952284e+02, 2.6759537e+02,
        8.7075645e-01],
       [4.7139148e+02, 8.4838463e+01, 5.6905914e+02, 1.7166945e+02,
        8.5758656e-01],
       [5.1756885e+02, 4.0076483e+02, 6.1733606e+02, 4.7944809e+02,
        4.9787843e-01],
       [1.4622040e+02, 4.2211371e+02, 2.4844739e+02, 4.7915201e+02,
        4.6058807e-01],
       [4.3746140e+02, 8.4521614e+01, 5.3957257e+02, 1.8082361e+02,
        2.7979884e-01],
       [5.9246661e+02, 2.1062936e+02, 6.3830084e+02, 3.1910532e+02,
        8.3192691e-02]], dtype=float32), array([[388.7479    , 190.73674   , 426.2162    , 229.70389   ,
          0.95410156]], dtype=float32)], [array([[1.5648544e+02, 4.5351381e+00, 3.7859161e+02, 2.2166005e+02,
        9.8566586e-01],
       [2.7075323e+02, 3.0199988e+02, 3.9523816e+02, 4.4751123e+02,
        6.2583286e-01],
       [2.3863412e+02, 9.1757011e+01, 4.2792096e+02, 4.4835477e+02,
        3.8672590e-01],
       [1.5581084e+02, 2.8350880e+01, 4.5270255e+02, 3.5527295e+02,
        3.7907282e-01],
       [3.4967584e+02, 7.1635979e+01, 4.6159418e+02, 2.2780983e+02,
        2.2199850e-01]], dtype=float32), array([[1.30066233e+01, 1.90090958e+02, 1.23236565e+02, 3.05850891e+02,
        9.95176315e-01],
       [5.11011993e+02, 1.11430244e+02, 6.17906250e+02, 2.12476669e+02,
        9.93969679e-01],
       [7.20181046e+01, 3.01481537e+02, 2.02826340e+02, 4.08866821e+02,
        9.91236925e-01],
       [4.49810913e+02, 0.00000000e+00, 5.53962708e+02, 9.24518585e+01,
        9.85729337e-01],
       [1.68782547e+02, 2.05626694e+02, 2.85914093e+02, 3.15117126e+02,
        9.70642030e-01],
       [5.42582512e-01, 3.82022858e+02, 8.18267136e+01, 4.80000000e+02,
        9.01552796e-01],
       [3.78387085e+02, 3.15095490e+02, 4.84018097e+02, 4.27279968e+02,
        8.98641467e-01],
       [1.00725204e+02, 4.20180328e+02, 1.84696762e+02, 4.79091888e+02,
        7.85473943e-01],
       [5.74031372e+02, 2.34486572e+02, 6.40000000e+02, 3.32184753e+02,
        7.83205211e-01],
       [1.34759226e+01, 7.44948566e-01, 1.20432907e+02, 6.61395187e+01,
        7.30618238e-01],
       [3.59840729e+02, 2.44947815e+02, 4.80648041e+02, 3.43817993e+02,
        6.07182682e-01],
       [3.67231842e+02, 1.01764313e+02, 4.67055908e+02, 2.24583435e+02,
        5.90321541e-01],
       [1.98037933e+02, 4.11436798e+02, 2.88852020e+02, 4.79052795e+02,
        3.87413263e-01],
       [3.53617157e+02, 0.00000000e+00, 4.55011902e+02, 7.51145401e+01,
        3.67236614e-01],
       [1.63252974e+00, 7.08880997e+01, 5.83993492e+01, 1.89156570e+02,
        1.78225726e-01],
       [5.87796631e+02, 3.60950714e+02, 6.39317444e+02, 4.78640167e+02,
        7.37047121e-02]], dtype=float32), array([[3.6020969e+02, 9.8225227e+01, 4.6846069e+02, 2.2786302e+02,
        5.8470085e-02]], dtype=float32)], [array([[250.73924   ,  30.35768   , 465.70343   , 247.80711   ,
          0.99710244]], dtype=float32), array([[2.29387802e+02, 2.19288025e+02, 3.47419830e+02, 3.31724121e+02,
        9.90659475e-01],
       [1.10901817e+02, 2.15114258e+02, 2.24572266e+02, 3.32820343e+02,
        9.88922119e-01],
       [1.78407120e+02, 1.70093083e+00, 2.81935089e+02, 1.02667305e+02,
        9.86383975e-01],
       [1.65366631e+01, 3.38501556e+02, 1.27233574e+02, 4.52874451e+02,
        9.74466503e-01],
       [4.60328522e+02, 1.87510910e+02, 5.74597839e+02, 2.84587311e+02,
        9.67644870e-01],
       [3.65657440e+02, 3.33512695e+02, 4.78192017e+02, 4.46602448e+02,
        9.67445433e-01],
       [4.97997017e+01, 9.31569519e+01, 1.77566162e+02, 2.06153183e+02,
        9.65417683e-01],
       [3.50360382e+02, 2.27533966e+02, 4.51883514e+02, 3.19172729e+02,
        9.34542000e-01],
       [5.64450012e+02, 2.76579865e+02, 6.40000000e+02, 3.82661499e+02,
        9.14303482e-01],
       [1.32966141e+02, 3.51742767e+02, 2.33475418e+02, 4.66788208e+02,
        9.01088715e-01],
       [6.24648438e+01, 1.36235046e+00, 1.72283859e+02, 8.66059113e+01,
        8.54111731e-01],
       [4.63818115e+02, 4.08931183e+02, 5.93475586e+02, 4.80000000e+02,
        8.28299463e-01],
       [4.24972382e+02, 4.96911645e-01, 5.33766907e+02, 8.65892563e+01,
        7.69450665e-01],
       [3.17693958e+01, 1.51028915e+02, 1.30302338e+02, 2.57251099e+02,
        7.55708873e-01],
       [3.05553741e+02, 3.30166107e+02, 4.09730499e+02, 4.20021332e+02,
        6.02791965e-01],
       [4.46375061e+02, 2.47037979e+02, 5.61390869e+02, 3.52562653e+02,
        3.81551325e-01],
       [1.28929367e+02, 4.11403107e+02, 2.29457428e+02, 4.78674011e+02,
        9.52172205e-02]], dtype=float32), array([], shape=(0, 5), dtype=float32)], [array([[198.97363   ,   2.0133636 , 425.40082   , 173.39287   ,
          0.99580824]], dtype=float32), array([[2.94111206e+02, 3.41689453e+02, 4.19084930e+02, 4.54055664e+02,
        9.81580913e-01],
       [4.57051086e+01, 1.51156998e+02, 1.56906128e+02, 2.69822632e+02,
        9.59629416e-01],
       [7.11505508e+01, 2.35480862e+01, 1.79443863e+02, 1.27067726e+02,
        9.59434330e-01],
       [5.22934143e+02, 1.84614517e+02, 6.39065308e+02, 3.09620148e+02,
        9.57841277e-01],
       [4.21144623e+02, 2.76999664e+02, 5.50333252e+02, 3.71657715e+02,
        9.54700232e-01],
       [2.36843224e+01, 2.89724884e+02, 1.20822708e+02, 3.88928406e+02,
        9.50630724e-01],
       [4.84754211e+02, 2.66234207e+01, 6.01578186e+02, 1.46478973e+02,
        9.36527431e-01],
       [5.47932861e+02, 3.48150055e+02, 6.37963928e+02, 4.42883698e+02,
        8.53718638e-01],
       [8.48483181e+00, 3.92582764e+02, 1.00737190e+02, 4.79736053e+02,
        8.47431183e-01],
       [4.09146973e+02, 1.20524673e+02, 5.17206055e+02, 2.16671341e+02,
        7.64483094e-01],
       [4.02434265e+02, 1.10251462e+00, 5.12268921e+02, 7.89549713e+01,
        7.33675659e-01],
       [1.27801979e+02, 3.11568787e+02, 2.66273285e+02, 4.30557312e+02,
        7.07530320e-01],
       [2.72037750e+02, 2.18638306e+02, 3.86157745e+02, 3.28090485e+02,
        6.12627149e-01],
       [3.30425354e+02, 2.35907990e+02, 4.31054138e+02, 3.38529358e+02,
        5.83124042e-01],
       [1.88945496e+02, 1.58763687e+02, 3.00311218e+02, 2.48875198e+02,
        3.41925979e-01],
       [1.50170227e+02, 1.99699997e+02, 2.68576019e+02, 3.01895508e+02,
        2.92544961e-01],
       [1.19840789e+00, 4.88306046e+01, 7.41134033e+01, 1.82607513e+02,
        8.90194103e-02]], dtype=float32), array([], shape=(0, 5), dtype=float32)], [array([[176.49695   ,   0.        , 381.39133   , 116.48579   ,
          0.99540627]], dtype=float32), array([[2.67931728e+01, 6.82382736e+01, 1.36025406e+02, 1.67800491e+02,
        9.94453132e-01],
       [3.91474724e+01, 1.95490356e+02, 1.48819473e+02, 3.16535858e+02,
        9.93937969e-01],
       [3.87202873e+01, 3.83447510e+02, 1.56296768e+02, 4.80000000e+02,
        9.86719787e-01],
       [1.10211105e+02, 4.45472641e+01, 2.04716690e+02, 1.42669388e+02,
        9.81567562e-01],
       [1.66978882e+02, 2.95191284e+02, 2.78948120e+02, 3.76610718e+02,
        9.81067061e-01],
       [5.29136902e+02, 5.82474213e+01, 6.40000000e+02, 1.57475555e+02,
        9.77307916e-01],
       [3.76752228e+02, 1.35150024e+02, 4.72973663e+02, 2.23268326e+02,
        9.77168560e-01],
       [2.43374283e+02, 2.10192047e+02, 3.41380157e+02, 3.11118103e+02,
        9.76790547e-01],
       [2.01295624e+02, 3.78998596e+02, 3.23215759e+02, 4.80000000e+02,
        9.67727661e-01],
       [3.06920410e+02, 3.44905243e+02, 4.17264832e+02, 4.47440857e+02,
        9.53142583e-01],
       [4.31026398e+02, 1.34709839e+02, 5.28328918e+02, 2.36616852e+02,
        9.52509880e-01],
       [5.22347473e+02, 1.67316101e+02, 6.26873718e+02, 2.56836151e+02,
        9.32430804e-01],
       [4.58331604e+02, 4.06208313e+02, 5.89777954e+02, 4.80000000e+02,
        8.52134824e-01],
       [1.56401428e+02, 1.76130966e+02, 2.43052917e+02, 2.63947906e+02,
        8.39879572e-01],
       [5.37256958e+02, 5.52783537e+00, 6.38978271e+02, 8.89323654e+01,
        7.96091378e-01],
       [4.15170746e+02, 2.64343506e+02, 5.10705933e+02, 3.60965271e+02,
        6.86118841e-01],
       [5.06374573e+02, 3.04587341e+02, 6.14315857e+02, 4.07564392e+02,
        6.61240876e-01],
       [4.52014130e+02, 2.77804077e+02, 5.46586670e+02, 3.75291046e+02,
        6.31819844e-01],
       [3.60815338e+02, 9.97572803e+00, 4.80827881e+02, 1.26259026e+02,
        4.21219468e-01],
       [1.57021622e+02, 1.32726440e+02, 2.56364105e+02, 2.40962067e+02,
        2.24076733e-01],
       [2.09031418e+02, 1.12718834e+02, 3.00614166e+02, 1.94972626e+02,
        1.63483247e-01],
       [3.81337677e+02, 3.03146672e+00, 4.91690460e+02, 8.14971771e+01,
        1.44077614e-01],
       [3.18136322e+02, 3.26550476e+02, 4.18976227e+02, 4.01222137e+02,
        8.92492533e-02],
       [1.55236038e+02, 3.52195892e+02, 2.50363113e+02, 4.54171814e+02,
        7.98138380e-02]], dtype=float32), array([], shape=(0, 5), dtype=float32)], [array([[ 95.62262   ,   0.51627505, 294.3373    , 166.79715   ,
          0.99469143]], dtype=float32), array([[4.50916656e+02, 1.16171967e+02, 5.76646362e+02, 2.24080078e+02,
        9.88594770e-01],
       [6.21370163e+01, 3.21984497e+02, 1.64828049e+02, 4.20772095e+02,
        9.77578163e-01],
       [3.22502289e+02, 7.09043655e+01, 4.32983917e+02, 1.76181564e+02,
        9.71678138e-01],
       [1.22065521e+02, 1.63681686e+02, 2.33266388e+02, 2.64467590e+02,
        9.36195254e-01],
       [4.46358276e+02, 2.96564148e+02, 5.56173889e+02, 4.04150665e+02,
        9.10071552e-01],
       [2.89037415e+02, 1.57597046e+02, 3.82808167e+02, 2.52034393e+02,
        8.59798968e-01],
       [2.79858551e+02, 3.08883820e+02, 3.66310272e+02, 3.98364685e+02,
        8.47456813e-01],
       [1.74077515e+02, 3.88335724e+02, 2.79207275e+02, 4.79532135e+02,
        7.61975169e-01],
       [2.12249161e+02, 2.15495789e+02, 3.17871765e+02, 3.16684357e+02,
        7.34021902e-01],
       [3.81855652e+02, 1.99203323e+02, 4.87163605e+02, 3.02783630e+02,
        7.23530829e-01],
       [1.50418544e+00, 2.80603912e+02, 8.60280380e+01, 3.62563751e+02,
        7.18648493e-01],
       [3.22671906e+02, 3.22146698e+02, 4.19645081e+02, 4.23873138e+02,
        7.06518829e-01],
       [4.85438538e+02, 1.96966559e-01, 5.93713379e+02, 9.22237015e+01,
        3.91012907e-01],
       [1.70721222e+02, 2.66412048e+02, 2.81322174e+02, 3.72495026e+02,
        2.77820706e-01],
       [9.04162369e+01, 1.56873337e+02, 1.84300522e+02, 2.58142609e+02,
        2.36031711e-01],
       [4.68595673e+02, 4.18196930e+02, 5.93873047e+02, 4.78926422e+02,
        2.23797023e-01],
       [4.72271576e+02, 2.58528015e+02, 5.86727539e+02, 3.23340454e+02,
        2.18675956e-01],
       [3.66427155e+02, 3.76845490e+02, 4.72340271e+02, 4.75152618e+02,
        2.18275666e-01],
       [2.73686910e+00, 2.47237253e+00, 9.98743439e+01, 1.36168671e+02,
        1.88291579e-01],
       [6.10557497e-01, 3.69585419e+02, 7.98952560e+01, 4.77024414e+02,
        1.51581213e-01],
       [3.74444122e+02, 1.60683978e+00, 4.85985474e+02, 7.59054947e+01,
        1.17378145e-01],
       [1.83528931e+02, 2.29987610e+02, 3.00206207e+02, 3.47528503e+02,
        8.83401483e-02],
       [5.73098572e+02, 4.67347450e+01, 6.39998474e+02, 1.58129623e+02,
        7.80570656e-02]], dtype=float32), array([], shape=(0, 5), dtype=float32)], [array([[143.27501  , 233.40993  , 344.8829   , 422.7905   ,   0.9971414]],
      dtype=float32), array([[1.48726059e+02, 1.38335281e+02, 2.55217911e+02, 2.45989441e+02,
        9.93363023e-01],
       [3.54895813e+02, 3.47252533e+02, 4.59451813e+02, 4.44548279e+02,
        9.87966239e-01],
       [6.39939270e+01, 2.95097412e+02, 1.67908386e+02, 4.13049194e+02,
        9.86961603e-01],
       [3.74360077e+02, 1.30798645e+02, 4.84793396e+02, 2.41588562e+02,
        9.86746490e-01],
       [2.76534149e+02, 1.23263420e+02, 3.77688660e+02, 2.30368835e+02,
        9.85947490e-01],
       [4.43266022e+02, 3.71298309e+02, 5.48545349e+02, 4.67520538e+02,
        9.83007789e-01],
       [3.45967010e+02, 2.36631744e+02, 4.47539978e+02, 3.38064240e+02,
        9.82030571e-01],
       [4.07984711e+02, 2.39637497e+02, 5.12108582e+02, 3.36467224e+02,
        9.75232422e-01],
       [9.68220115e-01, 2.17733261e+02, 9.21771088e+01, 3.17386749e+02,
        9.73229885e-01],
       [2.47885799e+01, 5.00208092e+01, 1.37759140e+02, 1.64869553e+02,
        9.68498468e-01],
       [4.17038513e+02, 3.62654120e-01, 5.32050476e+02, 8.53579865e+01,
        9.58454251e-01],
       [1.03467819e+02, 0.00000000e+00, 2.20706207e+02, 8.52290802e+01,
        8.60212386e-01],
       [3.19358063e+02, 1.12151182e+00, 4.07383423e+02, 6.58073425e+01,
        6.96853042e-01],
       [9.00702209e+01, 3.98069641e+02, 1.88890884e+02, 4.80000000e+02,
        6.01381838e-01],
       [4.59040588e+02, 5.96851959e+01, 5.56365295e+02, 1.62331894e+02,
        4.33560789e-01],
       [5.63070007e+02, 6.48858109e+01, 6.39310303e+02, 1.62357422e+02,
        2.52565324e-01],
       [5.55435059e+02, 3.66190887e+02, 6.38115295e+02, 4.49613739e+02,
        2.26276964e-01],
       [4.72333221e+02, 9.60844498e+01, 5.76759460e+02, 1.79159180e+02,
        6.12047128e-02],
       [2.51903748e+02, 1.20195076e+02, 3.29160522e+02, 2.09485367e+02,
        6.02489188e-02]], dtype=float32), array([], shape=(0, 5), dtype=float32)], [array([[264.6381    ,  82.15293   , 481.9674    , 248.17464   ,
          0.99775106]], dtype=float32), array([[9.17332840e+01, 2.78632080e+02, 1.99634750e+02, 3.79920197e+02,
        9.93133008e-01],
       [1.42123917e+02, 4.38848883e-01, 2.54782730e+02, 1.07557655e+02,
        9.92188692e-01],
       [3.58799896e+02, 2.92276459e+02, 4.60688232e+02, 3.98355927e+02,
        9.81450677e-01],
       [2.41098724e+02, 5.41442893e-02, 3.51910370e+02, 8.56996613e+01,
        9.76679206e-01],
       [2.68456898e+01, 3.97114166e+02, 1.20977699e+02, 4.80000000e+02,
        9.41811621e-01],
       [2.61868896e+02, 3.23281281e+02, 3.66284454e+02, 4.16724121e+02,
        9.33864236e-01],
       [1.35948391e+01, 1.54088348e+02, 1.17497284e+02, 2.47642609e+02,
        9.29056168e-01],
       [1.82399139e+02, 1.62592148e+02, 3.08327026e+02, 2.82930786e+02,
        8.71133447e-01],
       [3.30953033e+02, 3.96400757e+02, 4.36926849e+02, 4.79948792e+02,
        8.57810497e-01],
       [3.70040649e+02, 1.15995491e+00, 4.91982147e+02, 7.15635223e+01,
        7.49588609e-01],
       [2.27441597e+00, 1.52025108e+01, 9.78562851e+01, 1.27596741e+02,
        6.86661959e-01],
       [4.41556000e+02, 2.22447006e+02, 5.38768311e+02, 3.12842072e+02,
        6.42319560e-01],
       [4.05705505e+02, 3.96627380e+02, 4.96756226e+02, 4.77214935e+02,
        5.55280626e-01],
       [4.95315704e+02, 1.60547119e+02, 5.98657349e+02, 2.61970642e+02,
        4.65953588e-01],
       [3.50695435e+02, 2.37721573e+02, 4.57287964e+02, 3.22058868e+02,
        3.90296280e-01],
       [2.02130234e+02, 2.73588470e+02, 2.95070343e+02, 3.64328217e+02,
        3.69487494e-01],
       [5.15889648e+02, 2.53207415e-01, 6.29012878e+02, 7.06937332e+01,
        1.95752770e-01],
       [4.58747375e+02, 3.90208801e+02, 5.39420105e+02, 4.76003510e+02,
        1.43042088e-01],
       [1.29671631e+02, 4.19576843e+02, 2.38961029e+02, 4.79930481e+02,
        1.34990901e-01],
       [4.86145203e+02, 1.78246872e+02, 5.60452454e+02, 2.65235321e+02,
        1.01678342e-01],
       [5.45622864e+02, 1.55702591e+02, 6.18202759e+02, 2.47902374e+02,
        5.84373847e-02],
       [1.81253662e+02, 3.43928009e+02, 2.85179260e+02, 4.37979919e+02,
        5.67076169e-02],
       [3.06897461e+02, 3.88694366e+02, 5.23786987e+02, 4.79204132e+02,
        5.29630333e-02]], dtype=float32), array([[119.63209  ,  14.2105055, 157.73839  ,  50.541676 ,   0.9602975]],
      dtype=float32)], [array([[262.77008  ,  23.120253 , 468.67035  , 220.81554  ,   0.9973122]],
      dtype=float32), array([[5.4334619e+02, 3.4295966e+02, 6.3932990e+02, 4.2630841e+02,
        9.6515286e-01],
       [2.2283765e+02, 1.8508824e+02, 3.2394681e+02, 2.8439447e+02,
        9.4073772e-01],
       [9.6587667e+00, 7.0178146e+01, 1.3112820e+02, 1.8736520e+02,
        9.2877060e-01],
       [4.4447769e+02, 3.0695938e+02, 5.3743750e+02, 4.0501837e+02,
        9.2511708e-01],
       [1.1814250e+02, 2.1751507e+01, 2.4826050e+02, 1.3325745e+02,
        8.7957937e-01],
       [3.0478416e+01, 3.2830273e+02, 1.4280487e+02, 4.2785483e+02,
        7.8036243e-01],
       [1.7046744e+02, 1.4067906e+02, 2.7008926e+02, 2.4610555e+02,
        7.5066447e-01],
       [1.7989728e+02, 3.2306534e+02, 3.0236505e+02, 4.2591647e+02,
        7.3572421e-01],
       [3.6011169e+02, 3.2155917e+02, 4.6812811e+02, 4.3132571e+02,
        5.7617271e-01],
       [4.6733121e+02, 1.0103465e+02, 5.6382452e+02, 2.0278760e+02,
        5.7068753e-01],
       [5.0282855e+02, 6.3407173e+01, 5.9990918e+02, 1.6886842e+02,
        5.5432546e-01],
       [5.5555878e+02, 0.0000000e+00, 6.4000000e+02, 7.9643875e+01,
        4.4885170e-01],
       [1.0085731e+02, 1.5218774e+02, 1.9667940e+02, 2.5398956e+02,
        4.0012476e-01],
       [1.1015799e+02, 2.7976938e+02, 2.0975558e+02, 3.9899164e+02,
        3.6248487e-01],
       [1.1752110e+02, 2.1413643e+02, 2.1432991e+02, 3.0970755e+02,
        1.4701132e-01],
       [3.8499158e+02, 1.9380893e+02, 4.9821741e+02, 3.0470856e+02,
        1.3990945e-01],
       [3.9583633e+02, 3.0948993e+02, 5.1342761e+02, 4.1091101e+02,
        9.9809319e-02],
       [4.6681860e+02, 1.7245918e+02, 5.7097479e+02, 2.6469958e+02,
        9.1677964e-02],
       [5.7529785e+02, 1.0313350e+02, 6.3982800e+02, 2.1541348e+02,
        7.2945766e-02]], dtype=float32), array([[546.3641    , 412.28146   , 592.8351    , 459.90976   ,
          0.972786  ],
       [ 26.88661   , 189.7188    ,  69.29115   , 229.82642   ,
          0.8863914 ],
       [195.94305   , 421.8866    , 245.55397   , 465.43442   ,
          0.78731734]], dtype=float32)], [array([[261.2988   ,   0.       , 550.5536   , 218.22906  ,   0.9977302]],
      dtype=float32), array([[1.87625610e+02, 3.21719696e+02, 3.00116669e+02, 4.38372528e+02,
        9.89765942e-01],
       [3.29553528e+01, 2.70407959e+02, 1.43947968e+02, 3.73341797e+02,
        9.74731326e-01],
       [3.42641876e+02, 3.06940430e+02, 4.52931396e+02, 4.21080139e+02,
        9.74069774e-01],
       [5.35774536e+02, 6.86148224e+01, 6.39091431e+02, 1.75504761e+02,
        9.60450888e-01],
       [4.02609650e+02, 1.89217880e+02, 5.19070801e+02, 2.81850159e+02,
        9.42902982e-01],
       [1.78168457e+02, 9.24794235e+01, 2.79359436e+02, 1.96035690e+02,
        9.26974773e-01],
       [5.11168365e+02, 1.69601227e+02, 6.26728210e+02, 2.66287445e+02,
        9.17777777e-01],
       [4.93154913e-01, 1.22586151e+02, 1.00265205e+02, 2.24868240e+02,
        9.16827619e-01],
       [1.06052643e+02, 1.01964203e+02, 2.22163528e+02, 2.11869934e+02,
        9.12518263e-01],
       [1.51621826e+02, 2.45586121e+02, 2.38364197e+02, 3.40970367e+02,
        9.00571287e-01],
       [2.47154160e+01, 1.57482929e+01, 1.42260635e+02, 1.12883354e+02,
        7.94976294e-01],
       [4.89360443e+02, 3.84269043e+02, 6.03731079e+02, 4.71630127e+02,
        7.79857635e-01],
       [2.02378174e+02, 2.51558533e+02, 3.10928101e+02, 3.51746826e+02,
        7.72625089e-01],
       [4.45782013e+01, 3.30830719e+02, 1.59874374e+02, 4.39821472e+02,
        7.16933787e-01],
       [3.27817078e+02, 2.15831299e+02, 4.33774078e+02, 3.13124634e+02,
        6.45733953e-01],
       [4.92653290e+02, 3.47234406e+02, 5.98638550e+02, 4.12477966e+02,
        4.18662965e-01],
       [3.98205780e+02, 3.24587250e+02, 5.04201263e+02, 4.28343903e+02,
        3.77874404e-01]], dtype=float32), array([[5.5726185e-02, 2.4230025e+02, 1.6782084e+01, 2.6630878e+02,
        6.8508744e-02]], dtype=float32)], [array([[202.6311   ,  72.36629  , 396.61945  , 264.49997  ,   0.9974025]],
      dtype=float32), array([[4.40897179e+01, 1.58629272e+02, 1.39714600e+02, 2.69125427e+02,
        9.95200992e-01],
       [4.22609192e+02, 1.63117462e+02, 5.33438110e+02, 2.64026642e+02,
        9.89348531e-01],
       [2.17406708e+02, 2.74584229e+02, 3.41050934e+02, 3.79629791e+02,
        9.85737681e-01],
       [5.15247070e+02, 1.90441376e+02, 6.08664795e+02, 2.91516388e+02,
        9.83512461e-01],
       [3.57036743e+02, 6.54865265e-01, 4.58271393e+02, 7.53427811e+01,
        9.77827728e-01],
       [1.14121262e+02, 8.22230453e+01, 2.15741241e+02, 1.77747849e+02,
        9.66386735e-01],
       [4.75358887e+02, 8.28582306e+01, 5.87206360e+02, 1.85750168e+02,
        9.65354264e-01],
       [3.82300751e+02, 2.90028076e+02, 4.79716187e+02, 3.77884216e+02,
        9.30712640e-01],
       [3.56797302e+02, 3.76894531e+02, 4.79619232e+02, 4.79822571e+02,
        9.19994354e-01],
       [2.07795105e+02, 1.00443196e+00, 3.22441498e+02, 7.72159500e+01,
        9.09752727e-01],
       [2.66373627e+02, 4.05386902e+02, 3.66411499e+02, 4.78985352e+02,
        8.96366656e-01],
       [4.94686920e+02, 3.54226715e+02, 5.83967285e+02, 4.58965759e+02,
        8.59956384e-01],
       [9.47444153e+01, 1.02523041e+00, 2.10558121e+02, 8.03532715e+01,
        6.98615849e-01],
       [6.29969292e+01, 3.24751221e+02, 1.53085754e+02, 4.29841370e+02,
        6.65229380e-01],
       [1.47961594e+02, 4.01825470e+02, 2.43345047e+02, 4.79202026e+02,
        6.28899932e-01],
       [4.93881775e+02, 3.03212616e+02, 5.97010498e+02, 3.99573059e+02,
        5.35615563e-01],
       [3.65770721e+02, 2.40390350e+02, 4.86196350e+02, 3.48121796e+02,
        3.57781619e-01],
       [1.00813988e+02, 2.86858002e+02, 2.12127762e+02, 4.12903717e+02,
        2.58622020e-01],
       [0.00000000e+00, 8.96391754e+01, 6.96787033e+01, 1.91347305e+02,
        1.63073868e-01],
       [7.49115448e+01, 2.85485748e+02, 1.69260712e+02, 4.07172455e+02,
        1.51819766e-01],
       [5.85582153e+02, 3.44944420e+01, 6.37362976e+02, 1.37669510e+02,
        1.01955205e-01],
       [4.57891602e+02, 1.73138855e+02, 5.60946228e+02, 2.77536255e+02,
        6.04871660e-02],
       [9.75166783e-02, 3.69304967e+00, 7.15854263e+01, 1.07448967e+02,
        5.73536679e-02]], dtype=float32), array([[ 29.876331 , 274.59778  ,  96.330086 , 341.61694  ,   0.9414343]],
      dtype=float32)], [array([[148.78944   , 240.13252   , 384.91397   , 450.10144   ,
          0.99841785]], dtype=float32), array([[3.10941711e+02, 9.00590515e+01, 4.31372620e+02, 2.05286636e+02,
        9.83262300e-01],
       [4.55526733e+01, 3.80704224e+02, 1.55233261e+02, 4.76087006e+02,
        9.80822027e-01],
       [2.82457203e-01, 5.52569008e+01, 1.01591202e+02, 1.52495239e+02,
        9.75791574e-01],
       [7.73999481e+01, 1.57359421e+02, 1.81792236e+02, 2.52456238e+02,
        9.31167960e-01],
       [5.13756409e+02, 5.22681618e+01, 6.13752197e+02, 1.45457306e+02,
        9.27104771e-01],
       [4.15913300e+02, 4.02343445e+02, 5.49812317e+02, 4.79747040e+02,
        8.93584251e-01],
       [4.08641266e+02, 1.68389465e+02, 5.03644501e+02, 2.66960022e+02,
        8.14841866e-01],
       [4.62166595e+02, 2.59780640e+02, 5.76192810e+02, 3.49244232e+02,
        8.12850416e-01],
       [4.39024109e+02, 1.09312660e+02, 5.53306702e+02, 2.14166824e+02,
        7.24632204e-01],
       [5.13799133e+02, 3.28131622e+02, 6.35117676e+02, 4.41462128e+02,
        5.37277937e-01],
       [9.85002422e+00, 3.07478485e+02, 1.20266136e+02, 4.10008545e+02,
        5.30799091e-01],
       [2.15719070e+02, 1.14078430e+02, 3.25523895e+02, 2.22453171e+02,
        4.38877434e-01],
       [3.96209595e+02, 4.77886963e+00, 5.07243225e+02, 1.11333328e+02,
        4.09412116e-01],
       [4.79930450e+02, 1.74096481e+02, 5.90263977e+02, 2.68885101e+02,
        3.64851505e-01],
       [1.57401154e+02, 5.66698112e+01, 2.77867523e+02, 1.62651016e+02,
        3.63406211e-01],
       [7.15610657e+01, 3.64279823e+01, 1.93420700e+02, 1.20209152e+02,
        2.94773102e-01],
       [4.38694794e+02, 3.05736908e+02, 5.24681824e+02, 3.96813507e+02,
        1.77847818e-01],
       [5.37118591e+02, 1.03514984e+02, 6.36896179e+02, 2.11095490e+02,
        1.11495085e-01],
       [1.21426712e+02, 1.61681320e+02, 2.27355331e+02, 2.57488708e+02,
        8.74981806e-02],
       [4.49871918e+02, 2.81165344e+02, 5.59944031e+02, 3.80272644e+02,
        7.13948309e-02],
       [9.52621994e+01, 6.23703003e-03, 2.09630463e+02, 5.47257843e+01,
        6.99019358e-02],
       [1.38532654e+02, 1.88121811e+02, 2.47858597e+02, 2.87382050e+02,
        6.08500279e-02],
       [4.23394745e+02, 1.48123749e+02, 5.39329956e+02, 2.55171387e+02,
        5.81924208e-02]], dtype=float32), array([], shape=(0, 5), dtype=float32)], [array([[195.61769   , 255.49681   , 364.14154   , 420.2462    ,
          0.99561983]], dtype=float32), array([[3.18959686e+02, 8.26329269e+01, 4.34682068e+02, 2.03817596e+02,
        9.89166439e-01],
       [4.55249390e+02, 6.37907066e+01, 5.58971863e+02, 1.79678070e+02,
        9.71426725e-01],
       [1.03788879e+02, 2.76118683e+02, 2.11010254e+02, 4.11897491e+02,
        9.60104406e-01],
       [3.99007050e+02, 1.58551132e+02, 5.19028748e+02, 2.63728271e+02,
        9.48217154e-01],
       [2.07741108e+01, 3.20001740e+02, 1.15301926e+02, 4.12837036e+02,
        8.91385257e-01],
       [3.57200714e+02, 3.43197662e+02, 4.62142456e+02, 4.47161957e+02,
        8.45813632e-01],
       [1.15249306e+02, 1.07612915e+02, 2.20988434e+02, 2.14814331e+02,
        8.01222205e-01],
       [4.77861137e+01, 1.97469070e+02, 1.71216721e+02, 2.95068573e+02,
        7.59783387e-01],
       [5.20422241e+02, 2.77186127e+02, 6.17930908e+02, 3.72277985e+02,
        6.96071446e-01],
       [1.42019005e+01, 2.41131760e+02, 1.25443916e+02, 3.44411102e+02,
        6.65874779e-01],
       [1.05723267e+02, 3.66825752e+01, 2.03520752e+02, 1.37634949e+02,
        5.92032850e-01],
       [3.60771667e+02, 1.39134979e+01, 4.91108032e+02, 1.22007561e+02,
        3.77927065e-01],
       [1.57770216e+00, 9.65696907e+00, 8.61713409e+01, 1.00854202e+02,
        3.36157084e-01],
       [3.59334278e+00, 7.12200394e+01, 1.07196732e+02, 1.73419556e+02,
        3.24053437e-01],
       [2.23979019e+02, 6.12625122e-01, 3.36611938e+02, 6.33667526e+01,
        2.66495436e-01],
       [1.40499477e+01, 4.12753876e+02, 1.16278030e+02, 4.78307312e+02,
        1.38542965e-01],
       [5.40766418e+02, 2.98831726e+02, 6.23106323e+02, 3.97082153e+02,
        1.08413540e-01],
       [5.77243309e+01, 7.42172470e+01, 1.34732376e+02, 1.61978806e+02,
        9.57545340e-02],
       [2.23520874e+02, 4.18213348e+02, 3.81794739e+02, 4.79754272e+02,
        6.57733753e-02]], dtype=float32), array([[225.35088  , 194.7311   , 265.6658   , 234.41382  ,   0.9812013],
       [507.85486  , 427.33002  , 548.966    , 466.0199   ,   0.9780482],
       [121.197395 , 153.82634  , 160.05818  , 191.00107  ,   0.7779658]],
      dtype=float32)], [array([[2.1124031e+02, 1.8945078e+02, 3.4338818e+02, 3.1868954e+02,
        9.8883641e-01],
       [1.1112711e+02, 2.3483392e+02, 1.8048206e+02, 2.9990170e+02,
        1.5376315e-01]], dtype=float32), array([[4.51671028e+01, 6.34080620e+01, 1.67545212e+02, 1.71044724e+02,
        9.89746094e-01],
       [3.54418793e+02, 1.75807770e+02, 4.59921600e+02, 2.65202850e+02,
        9.80696380e-01],
       [2.90684723e+02, 8.93405457e+01, 4.00891571e+02, 2.00181000e+02,
        9.74924803e-01],
       [9.65571060e+01, 3.19216492e+02, 2.27904602e+02, 4.40739868e+02,
        9.71871555e-01],
       [4.78803162e+02, 2.09187866e+02, 5.78111633e+02, 3.14465302e+02,
        9.37379062e-01],
       [1.36700638e+02, 1.32523870e+01, 2.58265381e+02, 1.00563980e+02,
        8.89685988e-01],
       [4.13876712e-01, 1.54529800e+02, 9.86298828e+01, 2.61571960e+02,
        8.61434937e-01],
       [1.11083755e+01, 3.19987274e+02, 1.12663704e+02, 3.96230957e+02,
        7.92207360e-01],
       [3.54983215e+02, 3.22420532e+02, 4.59095215e+02, 4.32724304e+02,
        7.77580202e-01],
       [2.61231018e+02, 1.48461923e-01, 3.91145569e+02, 9.86791916e+01,
        7.46412456e-01],
       [5.51882629e+02, 3.19405548e+02, 6.38674805e+02, 4.37091858e+02,
        7.28503525e-01],
       [1.73530243e+02, 7.37734756e+01, 2.88437866e+02, 1.71633194e+02,
        6.24735534e-01],
       [2.39373215e+02, 3.11147919e+02, 3.59879517e+02, 4.13927582e+02,
        4.55239654e-01],
       [1.12212898e+02, 2.33277969e+02, 1.80469650e+02, 3.01460297e+02,
        4.38846916e-01],
       [5.50189697e+02, 0.00000000e+00, 6.39502136e+02, 6.09237518e+01,
        1.86306328e-01],
       [4.24224731e+02, 2.75942688e+02, 4.95629211e+02, 3.53281067e+02,
        1.35472313e-01],
       [4.41323364e+02, 2.12940903e+02, 5.51925415e+02, 3.31698639e+02,
        7.09859654e-02]], dtype=float32), array([[4.69887009e+01, 2.92349453e+01, 8.91568298e+01, 7.58960419e+01,
        9.74235713e-01],
       [1.11806046e+02, 2.33186707e+02, 1.81077591e+02, 3.00718414e+02,
        7.81874657e-01],
       [4.79132538e+02, 2.75618591e+01, 5.07339935e+02, 5.83975639e+01,
        5.92258312e-02]], dtype=float32)], [array([[325.41367   , 188.11601   , 536.8545    , 385.13055   ,
          0.99800986]], dtype=float32), array([[5.14108521e+02, 2.71784912e+02, 6.14932861e+02, 3.75831879e+02,
        9.88358319e-01],
       [3.14686951e+02, 3.86828613e+02, 4.22965057e+02, 4.76660400e+02,
        9.84792113e-01],
       [9.41387939e+01, 1.54242081e+02, 1.94258850e+02, 2.51120514e+02,
        9.73475099e-01],
       [1.43370453e+02, 6.41866074e+01, 2.43741501e+02, 1.59966904e+02,
        9.58129287e-01],
       [1.55605820e+02, 1.49794250e+02, 2.48335556e+02, 2.52197418e+02,
        9.51576114e-01],
       [1.47983109e+02, 3.48277771e+02, 2.48964645e+02, 4.54660156e+02,
        9.44191277e-01],
       [2.56909332e+02, 1.38102936e+02, 3.64930511e+02, 2.36392242e+02,
        9.24477398e-01],
       [2.57090118e+02, 2.31618210e+02, 3.43680389e+02, 3.36486786e+02,
        9.22751844e-01],
       [3.63222321e+02, 3.17959671e+01, 4.72500305e+02, 1.47108566e+02,
        9.22354937e-01],
       [7.56491241e+01, 3.13091125e+02, 1.82538544e+02, 4.03983154e+02,
        9.02995825e-01],
       [4.54263214e+02, 2.81859703e+01, 5.67783875e+02, 1.61016876e+02,
        8.94453049e-01],
       [2.47002762e+02, 4.69015274e+01, 3.53466003e+02, 1.48782715e+02,
        8.65791440e-01],
       [1.77867310e+02, 2.52536194e+02, 2.76283478e+02, 3.51459534e+02,
        7.55350411e-01],
       [4.11279053e+02, 3.59892487e+02, 5.30587219e+02, 4.74075684e+02,
        7.02650785e-01],
       [6.62943039e+01, 1.60907688e+01, 1.74577652e+02, 1.17571136e+02,
        6.65708065e-01],
       [5.44756409e+02, 3.81054749e+02, 6.39216370e+02, 4.75594818e+02,
        5.47011852e-01],
       [2.95864410e+02, 2.13571472e+01, 4.10553925e+02, 1.22169159e+02,
        4.97888476e-01],
       [1.56737828e+00, 1.12767456e+02, 8.99974136e+01, 2.43980576e+02,
        4.91033673e-01],
       [5.77272034e+02, 9.08391190e+01, 6.39433960e+02, 2.01870010e+02,
        2.71337688e-01],
       [0.00000000e+00, 3.47056746e+00, 8.64610748e+01, 1.11359200e+02,
        1.99922815e-01],
       [4.16785858e+02, 3.66331139e+01, 5.25557617e+02, 1.59173737e+02,
        8.18427727e-02],
       [4.87807121e+01, 2.52489990e+02, 1.59808136e+02, 3.48457031e+02,
        6.80034682e-02]], dtype=float32), array([], shape=(0, 5), dtype=float32)], [array([[ 70.96388   , 323.96634   , 263.10342   , 480.        ,
          0.9969228 ],
       [170.05136   ,  18.332457  , 357.71066   , 204.68654   ,
          0.99676716]], dtype=float32), array([[4.67725098e+02, 2.34970306e+02, 5.66455688e+02, 3.43798798e+02,
        9.95548725e-01],
       [4.82107422e+02, 3.72804382e+02, 5.85559204e+02, 4.67111755e+02,
        9.87028956e-01],
       [1.43018265e+01, 3.02473236e+02, 1.24288055e+02, 4.14903534e+02,
        9.82263267e-01],
       [3.54274689e+02, 2.46911484e+02, 4.58049377e+02, 3.47758759e+02,
        9.78883445e-01],
       [4.54037056e+01, 1.01819931e+02, 1.58613297e+02, 2.04807541e+02,
        9.58894968e-01],
       [3.12304443e+02, 3.00003448e+02, 4.15556763e+02, 4.04031464e+02,
        9.56394374e-01],
       [7.74395323e+00, 7.67700815e+00, 1.25139778e+02, 1.12589485e+02,
        9.50286984e-01],
       [1.21050446e+02, 1.53519287e+02, 2.08598984e+02, 2.36440063e+02,
        9.16803718e-01],
       [3.16158966e+02, 1.57105881e+02, 4.13652222e+02, 2.65669281e+02,
        9.02255416e-01],
       [1.87273758e+02, 1.98859497e+02, 2.94550659e+02, 2.82076385e+02,
        8.98145020e-01],
       [4.73449036e+02, 1.11959982e+01, 5.83810120e+02, 1.08206970e+02,
        8.61907542e-01],
       [3.70709625e+02, 3.49985718e+02, 4.69489502e+02, 4.44947937e+02,
        8.45017910e-01],
       [3.85119080e+02, 1.19364418e+02, 4.83767578e+02, 2.09026138e+02,
        6.97172105e-01],
       [5.46481750e+02, 8.38420181e+01, 6.38427002e+02, 1.78023438e+02,
        6.09359860e-01],
       [4.39798157e+02, 9.87912292e+01, 5.30059753e+02, 1.88400146e+02,
        5.90412676e-01],
       [5.10682249e+00, 1.44849060e+02, 8.98153763e+01, 2.42361694e+02,
        5.67680955e-01],
       [5.65287354e+02, 2.60019104e+02, 6.39864502e+02, 3.55702698e+02,
        4.95396823e-01],
       [3.65616364e+02, 6.86762273e-01, 4.71189819e+02, 7.54324570e+01,
        3.47745091e-01],
       [1.70310303e+02, 2.37961472e+02, 2.70626495e+02, 3.17254333e+02,
        2.87914664e-01],
       [3.78097961e+02, 3.87527893e+02, 4.77749054e+02, 4.70239136e+02,
        2.68723637e-01],
       [7.43500888e-01, 2.34087311e+02, 7.93745422e+01, 3.25512177e+02,
        9.40491557e-02],
       [3.80154510e+02, 3.07851219e+01, 4.87365509e+02, 1.06536842e+02,
        9.33562890e-02],
       [1.78466599e+02, 1.97820644e+01, 3.50440216e+02, 2.09741821e+02,
        7.53992274e-02],
       [8.23329010e+01, 5.55129929e+01, 1.73133835e+02, 1.37991821e+02,
        5.90351559e-02],
       [3.38360443e+02, 3.09058929e+02, 4.39158539e+02, 4.21844513e+02,
        5.51660620e-02]], dtype=float32), array([[277.50873  , 263.72244  , 317.0109   , 301.15695  ,   0.9748514]],
      dtype=float32)], [array([[195.46948  , 284.94302  , 440.0585   , 478.83517  ,   0.9986002]],
      dtype=float32), array([[5.12587708e+02, 2.65287048e+02, 6.32395874e+02, 3.78996857e+02,
        9.92575645e-01],
       [1.33280609e+02, 3.49971733e+01, 2.51791809e+02, 1.25198441e+02,
        9.88248467e-01],
       [4.96073456e+02, 3.72377167e+02, 5.99823792e+02, 4.74470276e+02,
        9.79507744e-01],
       [4.78862610e+01, 2.24427948e+02, 1.35787109e+02, 3.11778290e+02,
        9.75822449e-01],
       [3.81919373e+02, 1.31382935e+02, 4.94870056e+02, 2.54661850e+02,
        9.59345937e-01],
       [9.30606689e+01, 3.78309967e+02, 1.83042557e+02, 4.76147247e+02,
        9.58271146e-01],
       [2.25966705e+02, 9.97788315e+01, 3.53263336e+02, 2.13824570e+02,
        9.49027419e-01],
       [1.18944321e+02, 2.92220490e+02, 2.17146652e+02, 3.85144592e+02,
        9.48724329e-01],
       [2.73099030e+02, 2.73134174e+01, 3.76579926e+02, 1.24538086e+02,
        9.22194958e-01],
       [4.14442566e+02, 2.92345734e+02, 5.20304260e+02, 3.95783386e+02,
        9.04091477e-01],
       [4.60367462e+02, 6.22155952e+01, 5.51701233e+02, 1.67153687e+02,
        9.03842270e-01],
       [4.89250717e+01, 4.80416679e+01, 1.27091309e+02, 1.29951523e+02,
        7.39314318e-01],
       [4.95213013e+02, 1.14573425e+02, 5.93413574e+02, 2.03197128e+02,
        6.64357245e-01],
       [8.13855469e-01, 3.86090698e+02, 9.93902359e+01, 4.80000000e+02,
        4.13379759e-01],
       [2.55516357e+01, 8.27161598e+00, 1.27560379e+02, 1.17797470e+02,
        3.76503438e-01],
       [3.96069789e+00, 2.91833740e+02, 1.01637810e+02, 3.97114441e+02,
        3.67792457e-01],
       [0.00000000e+00, 1.79202103e+02, 7.18799133e+01, 2.80458893e+02,
        2.82510936e-01],
       [4.17762970e+02, 4.10208191e+02, 5.20280457e+02, 4.75589142e+02,
        2.23514691e-01],
       [1.90180893e+02, 1.33368896e+02, 2.47155548e+02, 2.07070938e+02,
        1.54828653e-01],
       [2.14952469e+02, 5.09262085e-01, 3.58731445e+02, 9.98943710e+01,
        1.19257517e-01]], dtype=float32), array([[4.4603717e+02, 8.9564247e+01, 4.7283118e+02, 1.1999257e+02,
        7.6493300e-02]], dtype=float32)], [array([[176.53047   ,  52.37039   , 385.81732   , 258.77072   ,
          0.99796593]], dtype=float32), array([[4.9597119e+02, 3.3787439e+02, 6.1769769e+02, 4.5648859e+02,
        9.8878062e-01],
       [1.2670580e+02, 2.0200702e+02, 2.3097240e+02, 3.0969647e+02,
        9.8600060e-01],
       [5.0455252e+02, 1.8010966e+02, 6.1828412e+02, 2.9047836e+02,
        9.8374593e-01],
       [7.4727798e+01, 2.2523680e+01, 1.9188954e+02, 1.4542543e+02,
        9.5226091e-01],
       [3.8849812e+01, 1.4663660e+02, 1.4052174e+02, 2.4374124e+02,
        9.3012398e-01],
       [3.4704562e+02, 2.5085651e+02, 4.4274384e+02, 3.5144455e+02,
        9.2687929e-01],
       [3.4862067e+02, 3.5519772e+02, 4.5100009e+02, 4.5488013e+02,
        8.8003916e-01],
       [7.0154114e+01, 3.6884555e+02, 1.7491031e+02, 4.7040045e+02,
        8.1419069e-01],
       [1.3510457e+02, 3.3679834e+02, 2.3616010e+02, 4.3051202e+02,
        7.8572834e-01],
       [7.4745827e+01, 3.0628796e+02, 1.6754024e+02, 3.9813745e+02,
        7.8427774e-01],
       [5.5816498e+02, 2.7539139e+02, 6.4000000e+02, 3.7714539e+02,
        7.2710395e-01],
       [4.0198157e+02, 1.7382219e+02, 5.1487689e+02, 2.9951837e+02,
        6.6467285e-01],
       [1.6945328e+02, 0.0000000e+00, 2.6505511e+02, 6.9887497e+01,
        5.9946215e-01],
       [4.5714325e+02, 5.8311766e-01, 5.7554980e+02, 7.8239388e+01,
        5.9855479e-01],
       [1.9345657e+01, 2.0401828e+02, 1.2998352e+02, 3.2091501e+02,
        5.2223027e-01],
       [3.0739371e+02, 2.4430374e+02, 3.8991888e+02, 3.4854379e+02,
        4.8309204e-01],
       [1.7273003e+02, 3.4678604e+02, 2.7516550e+02, 4.4736346e+02,
        4.0835640e-01],
       [3.3916281e+02, 1.1054993e+00, 4.5798926e+02, 6.4598763e+01,
        1.4461190e-01],
       [2.6895303e+02, 2.4678693e+02, 3.5779932e+02, 3.4468100e+02,
        1.1334383e-01],
       [5.8149219e+02, 9.5405457e+01, 6.4000000e+02, 2.1247260e+02,
        8.7164462e-02],
       [1.9001051e+00, 9.4944124e+00, 5.2874878e+01, 1.0322168e+02,
        7.5073108e-02]], dtype=float32), array([[521.5462    , 126.966125  , 562.929     , 164.68562   ,
          0.97942525],
       [109.78269   ,   7.3278546 , 143.55211   ,  44.465622  ,
          0.6547805 ]], dtype=float32)], [array([[188.25526  ,   5.4150743, 360.25552  , 127.49916  ,   0.9893293]],
      dtype=float32), array([[2.58006317e+02, 1.33217575e+02, 3.62094727e+02, 2.61754425e+02,
        9.95413363e-01],
       [4.18859253e+02, 3.24395691e+02, 5.27061768e+02, 4.19022034e+02,
        9.95182335e-01],
       [2.39724312e+01, 1.03759438e+02, 1.38594681e+02, 2.23472321e+02,
        9.94325221e-01],
       [3.29429474e+02, 2.51098465e+02, 4.52758118e+02, 3.57340851e+02,
        9.94224370e-01],
       [2.81794342e+02, 3.75433014e+02, 3.82364532e+02, 4.78361572e+02,
        9.93162036e-01],
       [5.40036743e+02, 2.10075058e+02, 6.37139221e+02, 3.17674774e+02,
        9.92235959e-01],
       [3.49434584e-01, 2.30149750e+02, 1.12544121e+02, 3.44751160e+02,
        9.90981519e-01],
       [1.52645676e+02, 9.87409439e+01, 2.64791656e+02, 2.02247803e+02,
        9.89970863e-01],
       [7.06701584e+01, 3.39490448e+02, 1.99600693e+02, 4.54242493e+02,
        9.89805341e-01],
       [1.26904312e+02, 2.02690552e+02, 2.40342880e+02, 2.97325043e+02,
        9.89178777e-01],
       [5.32512512e+02, 1.01524605e+02, 6.38670227e+02, 2.02366638e+02,
        9.87012327e-01],
       [1.23714089e+00, 2.66281143e-02, 1.11944397e+02, 9.11871262e+01,
        9.71976936e-01],
       [2.23784454e+02, 2.71799316e+02, 3.21881256e+02, 3.76060883e+02,
        9.71470296e-01],
       [3.78677185e+02, 4.18747009e+02, 4.90372650e+02, 4.79814972e+02,
        7.98406363e-01],
       [4.97743286e+02, 0.00000000e+00, 6.26055237e+02, 5.83236008e+01,
        7.65757740e-01],
       [1.67019760e+02, 2.84881927e+02, 2.57285187e+02, 3.98290222e+02,
        4.62834716e-01],
       [4.94002533e+02, 3.84783417e+02, 5.89121399e+02, 4.79255646e+02,
        3.73776823e-01],
       [1.94660163e+00, 3.87053772e+02, 5.86011200e+01, 4.80000000e+02,
        1.95131168e-01],
       [5.35008301e+02, 9.67489777e+01, 6.37105713e+02, 3.71965729e+02,
        7.25465342e-02],
       [5.79613525e+02, 2.99039795e+02, 6.39027588e+02, 3.97334259e+02,
        5.42832538e-02]], dtype=float32), array([], shape=(0, 5), dtype=float32)], [array([[218.23627  , 225.24141  , 498.6936   , 478.50418  ,   0.9954194]],
      dtype=float32), array([[2.1956834e+02, 8.7890480e+01, 3.2972559e+02, 2.0590033e+02,
        9.9558604e-01],
       [3.5845987e+02, 1.1605729e+00, 4.7030649e+02, 1.0261798e+02,
        9.9451232e-01],
       [3.3698212e+02, 1.3222377e+02, 4.4649573e+02, 2.3178688e+02,
        9.9383038e-01],
       [1.0179133e+02, 2.9920212e+02, 2.1289911e+02, 4.1954764e+02,
        9.9368942e-01],
       [1.6210339e+02, 1.9277838e+02, 2.8335471e+02, 2.9241464e+02,
        9.9181753e-01],
       [4.4122440e+02, 8.4343620e+01, 5.5821631e+02, 2.0555991e+02,
        9.9151748e-01],
       [4.6013382e+02, 2.8535190e+02, 5.6706732e+02, 3.9721243e+02,
        9.8700458e-01],
       [5.4808838e+02, 3.3077411e+02, 6.3979535e+02, 4.2779919e+02,
        9.5663184e-01],
       [3.3419579e-01, 2.5434995e+02, 9.6470451e+01, 3.6783118e+02,
        9.5466739e-01],
       [4.6656717e-02, 5.1248051e+01, 7.4425797e+01, 1.6051567e+02,
        6.8391842e-01],
       [1.0179315e+00, 3.7593311e+02, 7.9678772e+01, 4.7115610e+02,
        4.6800777e-01],
       [2.2533470e-01, 1.7009734e+02, 6.9570580e+01, 2.6841879e+02,
        2.1558958e-01],
       [5.7269586e+02, 1.7450455e+00, 6.4000000e+02, 1.3254811e+02,
        1.2496769e-01],
       [5.3255170e+02, 0.0000000e+00, 6.0481573e+02, 8.5041214e+01,
        1.1631726e-01],
       [1.7363051e+02, 3.0832672e-02, 2.7856924e+02, 4.6339535e+01,
        1.0056497e-01]], dtype=float32), array([[2.57981384e+02, 2.54701126e+02, 3.02926208e+02, 2.89827209e+02,
        1.19268537e-01],
       [2.20307632e+02, 4.00104828e+02, 2.46952698e+02, 4.23910583e+02,
        1.07841924e-01]], dtype=float32)], [array([[  0.       , 154.45436  , 208.64098  , 363.66257  ,   0.9980617]],
      dtype=float32), array([[4.75478790e+02, 3.51856018e+02, 5.86560120e+02, 4.63393860e+02,
        9.93640602e-01],
       [3.03942841e+02, 3.79712616e+02, 3.99849884e+02, 4.75425537e+02,
        9.92684484e-01],
       [3.73536072e+02, 3.06149353e+02, 4.82850952e+02, 4.15181854e+02,
        9.92214978e-01],
       [1.93848740e+02, 2.95279541e+02, 3.09988800e+02, 3.98865479e+02,
        9.91041481e-01],
       [3.02277374e+02, 4.30740280e+01, 4.17615448e+02, 1.49218018e+02,
        9.87242818e-01],
       [1.85962616e+02, 1.07748726e+02, 2.98678009e+02, 2.29064819e+02,
        9.83381748e-01],
       [3.90028198e+02, 2.03008652e+02, 4.98681396e+02, 3.09934021e+02,
        9.50379014e-01],
       [4.42115112e+02, 1.21652435e+02, 5.41468933e+02, 2.23894363e+02,
        9.06999111e-01],
       [4.88960381e+01, 2.29269314e+01, 1.89310425e+02, 9.36669388e+01,
        8.89670670e-01],
       [3.68490204e+02, 1.28574265e+02, 4.81178070e+02, 2.34819717e+02,
        8.84289980e-01],
       [9.90401688e+01, 8.18820190e+01, 1.94601898e+02, 1.76351639e+02,
        8.07256937e-01],
       [1.84171463e+02, 3.42355514e+00, 3.01943939e+02, 1.08465424e+02,
        7.45415628e-01],
       [5.38893433e+02, 1.12244408e+02, 6.39005066e+02, 2.13309982e+02,
        6.85741603e-01],
       [5.24361084e+02, 5.90402679e+01, 6.35639221e+02, 1.45757980e+02,
        6.08507514e-01],
       [4.96385620e+02, 5.09067535e-01, 5.96650085e+02, 6.10791702e+01,
        6.06088221e-01],
       [8.58812153e-01, 3.46995148e+02, 9.21204147e+01, 4.58926941e+02,
        5.52852452e-01],
       [5.69153137e+02, 2.86051758e+02, 6.38544922e+02, 3.90296387e+02,
        5.14974236e-01],
       [0.00000000e+00, 7.35167389e+01, 7.45147858e+01, 1.83434326e+02,
        4.12243187e-01],
       [6.53547058e+01, 4.06502289e+02, 1.66836197e+02, 4.79300537e+02,
        3.49652737e-01],
       [2.10136932e+02, 4.25894043e+02, 3.12445801e+02, 4.78897339e+02,
        1.72489852e-01],
       [3.73085388e+02, 3.51944745e-01, 4.73824982e+02, 5.35361862e+01,
        6.27783835e-02]], dtype=float32), array([[1.5508014e+02, 3.1606122e+02, 2.0472054e+02, 3.6268610e+02,
        9.2556810e-01],
       [2.4432765e+02, 3.0559095e+01, 2.8315060e+02, 7.6272575e+01,
        2.8175902e-01]], dtype=float32)], [array([[1.2138147e+02, 8.9637169e+01, 3.8724643e+02, 3.0923947e+02,
        9.9790871e-01],
       [6.1817558e+01, 4.1853589e+02, 2.0016481e+02, 4.7905585e+02,
        9.4250999e-02]], dtype=float32), array([[2.17336945e+02, 3.36879395e+02, 3.30089447e+02, 4.46777039e+02,
        9.95416045e-01],
       [4.48912384e+02, 3.66069183e+02, 5.56486389e+02, 4.65666046e+02,
        9.91570473e-01],
       [3.36861176e+02, 3.70029999e+02, 4.32405487e+02, 4.64156860e+02,
        9.89454150e-01],
       [3.49931305e+02, 1.01183151e+02, 4.47928467e+02, 2.09272690e+02,
        9.85316694e-01],
       [5.29845276e+02, 2.58587830e+02, 6.40000000e+02, 3.68457275e+02,
        9.82525587e-01],
       [4.00190247e+02, 1.72830696e+01, 5.02205383e+02, 1.22941162e+02,
        9.78560627e-01],
       [4.95108002e+02, 2.06552133e-01, 5.95539551e+02, 9.36800308e+01,
        9.69639361e-01],
       [4.74852692e+02, 6.67902069e+01, 5.97669128e+02, 1.70251175e+02,
        9.62133229e-01],
       [4.59585541e+02, 1.75643600e+02, 5.61710266e+02, 2.86212982e+02,
        8.89276206e-01],
       [3.57706329e+02, 2.47838776e+02, 4.68040161e+02, 3.34729034e+02,
        8.80760252e-01],
       [2.04253960e+00, 6.10432968e+01, 1.31391373e+02, 1.82534988e+02,
        8.30205977e-01],
       [3.33122597e+01, 2.53238922e+02, 1.52403992e+02, 3.67251923e+02,
        7.29918301e-01],
       [3.91585541e+02, 1.82960968e+02, 4.92947845e+02, 2.86226807e+02,
        6.72793806e-01],
       [6.42435372e-01, 1.34198593e+02, 9.16936646e+01, 2.37327515e+02,
        6.49109662e-01],
       [2.31908264e+02, 1.05947578e+00, 3.34414307e+02, 9.80650482e+01,
        6.30363107e-01],
       [5.96080661e-01, 3.37818085e+02, 6.64043961e+01, 4.40330505e+02,
        4.99857754e-01],
       [2.66259823e+01, 5.98411560e-02, 1.23574745e+02, 5.69135666e+01,
        4.06508058e-01],
       [2.66319855e+02, 4.28251343e+01, 3.69897491e+02, 1.30658707e+02,
        2.90640503e-01],
       [1.60763199e+02, 2.31909027e+01, 2.61881866e+02, 1.18632904e+02,
        2.81986296e-01],
       [5.52234436e+02, 3.51021179e+02, 6.39471680e+02, 4.50823608e+02,
        2.09742516e-01],
       [4.79283386e+02, 2.27363205e+01, 5.91885010e+02, 1.39788910e+02,
        7.14233667e-02],
       [1.15126854e+02, 9.68146820e+01, 3.88026459e+02, 3.09513184e+02,
        6.98897019e-02],
       [3.33029594e+01, 2.32342422e+02, 1.34605469e+02, 3.22671234e+02,
        5.95960170e-02]], dtype=float32), array([[5.1178491e+02, 2.7589307e+02, 5.4761133e+02, 3.1125772e+02,
        2.0074098e-01]], dtype=float32)], [array([[119.88884  , 145.39795  , 336.21487  , 357.6528   ,   0.9981205]],
      dtype=float32), array([[2.86947266e+02, 5.99090271e+01, 4.01855988e+02, 1.72969193e+02,
        9.93846953e-01],
       [4.79322510e+02, 8.66392422e+00, 5.89291321e+02, 1.14601265e+02,
        9.92447495e-01],
       [1.36402679e+02, 3.52911407e+02, 2.43822891e+02, 4.57035278e+02,
        9.92323518e-01],
       [4.73609344e+02, 1.57302658e+02, 5.81802551e+02, 2.63657898e+02,
        9.35851336e-01],
       [6.31656952e+01, 3.05498749e+02, 1.50432587e+02, 4.20500366e+02,
        9.19840932e-01],
       [4.42363342e+02, 1.14804718e+02, 5.52554016e+02, 2.06473984e+02,
        8.90181720e-01],
       [3.50948334e+02, 0.00000000e+00, 4.46440735e+02, 7.21982498e+01,
        8.80796671e-01],
       [1.15991697e+01, 3.84629608e+02, 1.20266411e+02, 4.77721588e+02,
        8.75261903e-01],
       [1.76884598e+02, 1.99651470e+01, 2.91935516e+02, 1.13910522e+02,
        8.71981800e-01],
       [5.55645691e+02, 8.52175064e+01, 6.39561707e+02, 1.88922882e+02,
        8.64231408e-01],
       [3.97483276e+02, 2.60737946e+02, 5.07261353e+02, 3.70585999e+02,
        8.49532545e-01],
       [4.29350525e+02, 3.80941559e+02, 5.31756714e+02, 4.78518555e+02,
        6.98218346e-01],
       [3.25306702e+01, 1.38920837e+02, 1.30885559e+02, 2.34690643e+02,
        6.82161748e-01],
       [4.48996544e+01, 3.58188133e+01, 1.62036102e+02, 1.36629181e+02,
        5.31599462e-01],
       [4.14615051e+02, 2.29338562e+02, 5.12716187e+02, 3.18259491e+02,
        5.13206482e-01],
       [4.71590485e+02, 3.59985687e+02, 5.60156433e+02, 4.54903381e+02,
        8.35710689e-02],
       [5.70037498e+01, 1.76701004e+02, 1.44281067e+02, 2.74531982e+02,
        6.87363893e-02],
       [5.80793152e+02, 3.78542328e+02, 6.38085510e+02, 4.76123566e+02,
        6.57718852e-02]], dtype=float32), array([[15.580795 , 19.912611 , 41.6049   , 39.361774 ,  0.0688101]],
      dtype=float32)], [array([[195.66466   ,   8.902552  , 394.99338   , 220.67944   ,
          0.99663854]], dtype=float32), array([[4.9060532e+02, 1.3871980e+02, 6.0195825e+02, 2.3950293e+02,
        9.9672276e-01],
       [1.1756051e+02, 3.2780753e+02, 2.2597797e+02, 4.3548441e+02,
        9.9546957e-01],
       [1.6418638e+01, 2.5243814e+02, 1.3743996e+02, 3.5842752e+02,
        9.9362731e-01],
       [2.0901982e+02, 2.5715021e+02, 3.2100714e+02, 3.8499435e+02,
        9.9072802e-01],
       [4.9292975e+02, 2.4251007e+02, 6.0175378e+02, 3.5890298e+02,
        9.8847920e-01],
       [7.2958875e+00, 3.5722678e+02, 1.1732690e+02, 4.6700516e+02,
        9.8265833e-01],
       [1.1736672e+02, 1.6829605e+02, 2.2995909e+02, 2.8452832e+02,
        9.5111424e-01],
       [2.2739461e+02, 3.9798996e+02, 3.3333646e+02, 4.7959503e+02,
        9.4829297e-01],
       [1.2770460e+02, 1.3695145e+00, 2.3736603e+02, 9.5082481e+01,
        9.4421786e-01],
       [5.4822821e+02, 3.4372943e+02, 6.4000000e+02, 4.5661469e+02,
        9.3890589e-01],
       [5.4411163e+02, 4.5527987e+00, 6.4000000e+02, 9.8889381e+01,
        9.1062140e-01],
       [3.6997079e+02, 2.6515515e+02, 4.9253232e+02, 3.6115018e+02,
        9.1057467e-01],
       [3.3449419e+00, 9.8031926e-01, 1.2184411e+02, 9.4276337e+01,
        9.0858203e-01],
       [0.0000000e+00, 9.5386002e+01, 9.2654663e+01, 2.1193170e+02,
        8.7191164e-01],
       [1.1761990e+02, 1.0354303e+02, 2.2107640e+02, 2.0730261e+02,
        8.2436711e-01],
       [3.8411954e+02, 3.6687689e+02, 4.8927191e+02, 4.5790961e+02,
        5.6667465e-01],
       [3.8454007e+02, 3.2467868e+02, 4.9535464e+02, 4.2279684e+02,
        2.8714630e-01],
       [3.8037656e+02, 2.9842584e+02, 4.9370874e+02, 3.8719598e+02,
        2.6232028e-01],
       [2.0672508e+02, 8.2834721e+00, 4.0520154e+02, 2.2576711e+02,
        5.1632967e-02]], dtype=float32), array([[351.62677   , 192.94252   , 394.58752   , 243.09895   ,
          0.98141575],
       [348.706     , 344.66568   , 391.07092   , 389.72202   ,
          0.9735458 ],
       [452.53912   , 449.4678    , 490.7191    , 479.56366   ,
          0.926925  ]], dtype=float32)], [array([[ 48.029552  ,  57.79836   , 270.3445    , 262.6961    ,
          0.99762887]], dtype=float32), array([[3.9293774e+02, 1.8964400e+02, 4.9784097e+02, 3.0583600e+02,
        9.8157299e-01],
       [2.7237979e+02, 2.1532166e+02, 3.8784451e+02, 3.2570502e+02,
        9.8111683e-01],
       [4.9083859e+02, 1.5570859e+02, 6.0198346e+02, 2.7926099e+02,
        9.3421471e-01],
       [4.1868645e+01, 2.4374458e+02, 1.3952795e+02, 3.5499734e+02,
        9.2482454e-01],
       [3.8096570e+02, 7.0875450e+01, 5.0278177e+02, 1.8263559e+02,
        8.5684925e-01],
       [5.0198074e+02, 2.8397025e+02, 6.1743414e+02, 4.0524329e+02,
        8.5029280e-01],
       [2.7119342e+02, 3.4545786e+02, 3.8870551e+02, 4.5845282e+02,
        8.0266410e-01],
       [1.8971013e+02, 2.8537207e+02, 3.0985217e+02, 3.9877304e+02,
        7.4187261e-01],
       [3.7717355e+02, 3.9181006e+02, 4.7874384e+02, 4.7960046e+02,
        6.3036412e-01],
       [3.9207178e+02, 0.0000000e+00, 5.1722021e+02, 7.6137184e+01,
        5.0273347e-01],
       [1.2970760e+02, 2.5537433e+02, 2.4556500e+02, 3.5365286e+02,
        4.6154743e-01],
       [4.9305670e+02, 4.0482391e+02, 5.9157422e+02, 4.7886188e+02,
        3.0404481e-01],
       [5.5874829e+02, 5.9253273e+01, 6.3812744e+02, 1.5445813e+02,
        2.0617174e-01],
       [5.2232501e+02, 5.5077278e+01, 6.1442419e+02, 1.5061238e+02,
        8.4833875e-02],
       [5.0126492e+02, 7.8094668e+00, 5.9714203e+02, 1.0868642e+02,
        8.3889462e-02]], dtype=float32), array([], shape=(0, 5), dtype=float32)], [array([[ 77.12522  ,   2.8952637, 321.98483  , 202.38591  ,   0.9979919]],
      dtype=float32), array([[4.08177643e+02, 3.74691040e+02, 5.14537415e+02, 4.78796448e+02,
        9.91353929e-01],
       [4.55005768e+02, 9.26071472e+01, 5.64311218e+02, 1.98251724e+02,
        9.91332710e-01],
       [1.79621750e+02, 2.76224609e+02, 2.88576294e+02, 3.76761139e+02,
        9.76538479e-01],
       [3.97616150e+02, 2.42862350e+02, 5.18830505e+02, 3.57800690e+02,
        9.74367440e-01],
       [2.23999191e+02, 3.31108673e+02, 3.45680206e+02, 4.36716583e+02,
        8.54880154e-01],
       [3.08009918e+02, 6.62212219e+01, 4.19528687e+02, 1.70621994e+02,
        8.19931269e-01],
       [1.45366272e+02, 3.90026459e+02, 2.38239395e+02, 4.74642944e+02,
        7.62685239e-01],
       [6.46955299e+00, 2.58175354e+02, 1.19367813e+02, 3.63277679e+02,
        7.39404321e-01],
       [1.19738464e+02, 3.39316376e+02, 2.19301163e+02, 4.36963013e+02,
        6.42660022e-01],
       [2.37203125e+02, 1.99186737e+02, 3.52696899e+02, 3.06967285e+02,
        6.20276272e-01],
       [3.52144318e+02, 1.43236786e+02, 4.54332916e+02, 2.48181488e+02,
        5.58439314e-01],
       [3.93900146e+02, 0.00000000e+00, 4.87315826e+02, 9.27941895e+01,
        5.02840459e-01],
       [3.34116028e+02, 4.19257660e+02, 4.38186066e+02, 4.79372223e+02,
        3.79878879e-01],
       [5.77199524e+02, 2.73470520e+02, 6.38483643e+02, 3.89143585e+02,
        1.91404462e-01],
       [5.77698784e+01, 2.29816208e+02, 1.56748840e+02, 3.17084198e+02,
        1.15872808e-01],
       [3.65693703e+01, 4.18350403e+02, 1.30899246e+02, 4.79810425e+02,
        1.13915846e-01],
       [1.57411218e+00, 4.96946716e+01, 6.67494202e+01, 1.59346848e+02,
        1.10138386e-01],
       [5.61058044e+02, 1.04660545e+02, 6.39409302e+02, 2.22025589e+02,
        7.19257146e-02],
       [5.52634644e+02, 5.25259285e+01, 6.39481628e+02, 1.52421478e+02,
        6.03688397e-02],
       [4.42303162e+02, 2.51633620e+00, 5.43540222e+02, 8.63105469e+01,
        5.42090833e-02],
       [4.98273346e+02, 7.56596386e-01, 6.14980164e+02, 9.63814697e+01,
        5.25976755e-02]], dtype=float32), array([[593.2421    , 392.30865   , 631.3936    , 428.07806   ,
          0.9502193 ],
       [ 34.250443  , 230.50055   ,  75.58134   , 265.76373   ,
          0.73326236]], dtype=float32)], [array([[130.0576   , 114.929214 , 327.56995  , 322.847    ,   0.9974075]],
      dtype=float32), array([[3.4981723e+02, 2.5276810e+02, 4.7386530e+02, 3.5922629e+02,
        9.9697542e-01],
       [2.5609866e+02, 2.8519458e+02, 3.7046021e+02, 3.9512488e+02,
        9.9371183e-01],
       [0.0000000e+00, 3.7967413e+02, 8.6740379e+01, 4.7736685e+02,
        9.7069854e-01],
       [7.9880264e+01, 8.6074532e+01, 1.6993587e+02, 1.8707396e+02,
        9.6541739e-01],
       [5.2016455e+02, 1.4591855e+02, 6.3140942e+02, 2.5415648e+02,
        9.6503097e-01],
       [4.5210327e+02, 3.6470648e+02, 5.7164655e+02, 4.7280441e+02,
        9.4565237e-01],
       [4.3566837e+02, 5.3529438e+01, 5.3969153e+02, 1.6590331e+02,
        8.3506811e-01],
       [2.9056805e+02, 4.6260490e+01, 3.9036743e+02, 1.4984119e+02,
        8.0429548e-01],
       [1.4610394e+02, 3.4113834e+02, 2.4467603e+02, 4.3699042e+02,
        7.7040321e-01],
       [3.6241873e+02, 1.2047571e+02, 4.6313834e+02, 2.1455325e+02,
        7.5966316e-01],
       [1.0307494e+00, 1.0896286e+00, 1.0011342e+02, 8.9700371e+01,
        7.4344778e-01],
       [0.0000000e+00, 2.2682956e+02, 8.2749573e+01, 3.4039746e+02,
        7.2736734e-01],
       [2.5364058e+02, 2.8701706e+01, 3.4144754e+02, 1.2505426e+02,
        7.0570952e-01],
       [7.1701843e+01, 2.3792627e+02, 1.6681105e+02, 3.3939005e+02,
        6.6022408e-01],
       [3.7556052e+02, 3.6437045e+02, 4.7291370e+02, 4.7006699e+02,
        4.4069061e-01],
       [1.2374347e+02, 1.6950394e+01, 2.4159927e+02, 1.1667444e+02,
        3.1697020e-01],
       [3.9975610e+02, 8.2461037e+01, 5.0136057e+02, 1.7703215e+02,
        2.3465087e-01],
       [1.6704276e+00, 8.6443909e+01, 6.8016777e+01, 1.9642360e+02,
        1.3342535e-01],
       [2.2325024e+02, 4.0246503e+02, 3.6514407e+02, 4.7861179e+02,
        9.6929371e-02],
       [4.7307640e+01, 2.2324725e+02, 1.3729787e+02, 3.2834412e+02,
        9.5114924e-02],
       [3.7269034e+02, 4.1136029e+02, 4.6753879e+02, 4.7855539e+02,
        8.0568217e-02]], dtype=float32), array([[1.1831749e+02, 2.2993420e+02, 1.4679916e+02, 2.5859299e+02,
        9.2973851e-02]], dtype=float32)], [array([[ 20.566023  , 112.54337   , 341.386     , 354.4147    ,
          0.99352044]], dtype=float32), array([[5.36666199e+02, 2.63446472e+02, 6.38719055e+02, 3.73619873e+02,
        9.78639722e-01],
       [3.55046844e+02, 1.64247543e+02, 4.71153259e+02, 2.72939575e+02,
        9.76945281e-01],
       [5.45392273e+02, 6.41084671e+01, 6.40000000e+02, 1.72302124e+02,
        9.74570990e-01],
       [3.51278931e+02, 3.47556274e+02, 4.45549683e+02, 4.42199310e+02,
        9.73063231e-01],
       [5.82890854e+01, 7.47821033e-01, 1.70707901e+02, 1.02775429e+02,
        9.66202199e-01],
       [4.13294464e+02, 7.07761230e+01, 5.47039307e+02, 1.86040298e+02,
        9.61641133e-01],
       [4.30779388e+02, 2.57039917e+02, 5.42740417e+02, 3.61762756e+02,
        9.59472239e-01],
       [4.52865112e+02, 7.24912286e-01, 5.37197632e+02, 6.48662643e+01,
        9.36762929e-01],
       [2.89241699e+02, 7.67092285e+01, 4.05719147e+02, 1.88375214e+02,
        9.21960711e-01],
       [2.10685410e+02, 3.15058441e+02, 3.18538361e+02, 4.03083862e+02,
        9.20194209e-01],
       [4.76070160e+02, 1.71827637e+02, 5.83945984e+02, 2.44648392e+02,
        8.11253726e-01],
       [5.46850159e+02, 3.60942413e+02, 6.38032898e+02, 4.46992554e+02,
        7.99380720e-01],
       [3.75809326e+02, 2.84177124e+02, 4.78572784e+02, 3.95605103e+02,
        7.32607126e-01],
       [1.59906387e+02, 4.91807442e+01, 2.83026917e+02, 1.54352234e+02,
        6.31247580e-01],
       [1.26793461e+01, 3.67257690e+02, 1.11130402e+02, 4.66234100e+02,
        5.42549789e-01],
       [4.88797760e+02, 3.35105865e+02, 5.75422180e+02, 4.40929840e+02,
        3.43876481e-01],
       [1.92852342e+00, 9.14284058e+01, 9.10330658e+01, 1.96102509e+02,
        2.23532408e-01],
       [3.60635040e+02, 3.15777252e+02, 4.54915955e+02, 4.18761719e+02,
        1.71390876e-01],
       [3.40053436e+02, 1.16650999e+00, 4.42845428e+02, 6.40327606e+01,
        1.07839212e-01],
       [1.39223495e+02, 3.43522430e+02, 2.44711060e+02, 4.40950806e+02,
        1.02514915e-01],
       [1.48016815e+02, 3.76501434e+02, 2.43217773e+02, 4.74992493e+02,
        9.39124525e-02],
       [1.26621580e+01, 4.29451141e+01, 1.18681633e+02, 1.38930740e+02,
        8.31147656e-02],
       [1.59758606e+02, 3.17053345e+02, 2.98162628e+02, 4.12969116e+02,
        6.51719347e-02],
       [2.23884735e+02, 4.08493805e+02, 3.21277618e+02, 4.78554077e+02,
        6.05319813e-02]], dtype=float32), array([], shape=(0, 5), dtype=float32)], [array([[  0.        , 174.23      , 138.3373    , 373.40875   ,
          0.99499065]], dtype=float32), array([[2.8181448e+01, 1.9002302e+01, 1.3557639e+02, 1.1780863e+02,
        9.8176801e-01],
       [5.2221796e+02, 9.8668892e+01, 6.2310669e+02, 2.0109824e+02,
        9.7741753e-01],
       [2.5695880e+02, 1.6516454e+02, 3.8459567e+02, 2.8440274e+02,
        9.7629493e-01],
       [3.6659125e+02, 8.8811424e+01, 4.8181949e+02, 2.0994034e+02,
        9.6817970e-01],
       [2.5835239e+02, 3.3312082e+02, 3.4545316e+02, 4.2591626e+02,
        9.4109178e-01],
       [4.9211145e+02, 3.5604843e+02, 6.0910730e+02, 4.7781088e+02,
        8.8622737e-01],
       [4.2200183e+02, 2.9385565e+02, 5.2361212e+02, 3.8946072e+02,
        8.7321466e-01],
       [4.9142780e+02, 1.9908083e+02, 6.0344855e+02, 3.0984607e+02,
        8.6418480e-01],
       [6.7396980e+01, 1.3491537e+02, 1.6188002e+02, 2.2765149e+02,
        7.8256816e-01],
       [1.7736658e+02, 2.5452734e+02, 2.8971237e+02, 3.5813919e+02,
        7.7015644e-01],
       [2.3184654e+02, 2.2692354e+00, 3.5152939e+02, 9.0424332e+01,
        5.6168061e-01],
       [4.3827731e+02, 3.6951672e+01, 5.6502631e+02, 1.4849190e+02,
        4.9094555e-01],
       [1.0473980e+02, 3.2073642e+02, 2.1599632e+02, 4.3424445e+02,
        3.8735342e-01],
       [1.7254036e+02, 3.8280597e+02, 2.7488950e+02, 4.7770294e+02,
        3.6179596e-01],
       [1.6784933e+02, 8.4039352e+01, 2.8246820e+02, 1.9553462e+02,
        3.5705698e-01],
       [3.4995807e+02, 3.6739471e+02, 4.6970801e+02, 4.7655496e+02,
        1.6063762e-01],
       [1.5957368e+02, 2.1798706e-01, 2.7679770e+02, 8.1021355e+01,
        9.0341836e-02],
       [1.8095992e+00, 3.8049570e+02, 7.4021942e+01, 4.7966269e+02,
        5.5266861e-02]], dtype=float32), array([[104.48048   , 101.49406   , 144.5638    , 140.10974   ,
          0.9678035 ],
       [330.4408    ,  99.8944    , 376.3175    , 143.54515   ,
          0.90214014]], dtype=float32)], [array([[301.63367 , 265.06653 , 522.3087  , 469.67853 ,   0.998251]],
      dtype=float32), array([[1.27516495e+02, 4.36033974e+01, 2.45146500e+02, 1.40946487e+02,
        9.94172156e-01],
       [2.09720810e+02, 3.14786987e+02, 3.19536560e+02, 4.22649872e+02,
        9.91493165e-01],
       [2.57300751e+02, 2.02211182e+02, 3.66351746e+02, 3.09220764e+02,
        9.90524590e-01],
       [8.42452011e+01, 1.48053726e+02, 1.78709457e+02, 2.39177948e+02,
        9.89965439e-01],
       [1.80505524e+02, 1.45989792e+02, 2.64261566e+02, 2.83520538e+02,
        9.89536047e-01],
       [5.27153015e+02, 2.62725277e+01, 6.39575439e+02, 1.40368484e+02,
        9.85382438e-01],
       [5.26546822e+01, 2.26624359e+02, 1.60922363e+02, 3.26995636e+02,
        9.85317945e-01],
       [3.36268463e+02, 1.44150803e+02, 4.50089844e+02, 2.48276886e+02,
        9.78847980e-01],
       [3.69358307e+02, 2.94349289e+01, 4.87499939e+02, 1.46928360e+02,
        9.41891253e-01],
       [4.45562363e-01, 8.46557312e+01, 1.01625969e+02, 1.86217346e+02,
        9.35497522e-01],
       [4.95144928e+02, 2.58457336e+02, 6.01730713e+02, 3.62342804e+02,
        9.13728893e-01],
       [1.34728880e+01, 3.30411438e+02, 1.21329903e+02, 4.53278381e+02,
        8.93295169e-01],
       [4.73370300e+02, 1.14711182e+02, 5.70918762e+02, 2.11293060e+02,
        7.55330920e-01],
       [7.18433685e+01, 3.33177002e+02, 1.85622604e+02, 4.41269073e+02,
        7.39337325e-01],
       [4.33455566e+02, 1.50066376e+02, 5.35983887e+02, 2.43367523e+02,
        6.75482035e-01],
       [5.63188599e+02, 1.98366196e+02, 6.39218811e+02, 2.99422546e+02,
        6.02709353e-01],
       [5.10039917e+02, 3.18031799e+02, 6.02338135e+02, 4.10280029e+02,
        5.29295266e-01],
       [6.70479727e+00, 6.94168866e-01, 9.93248672e+01, 6.87201996e+01,
        3.88104677e-01],
       [3.31063049e+02, 3.65073776e+01, 4.10928619e+02, 1.48274078e+02,
        2.94635087e-01],
       [1.94362839e+02, 4.18739319e-02, 2.98550507e+02, 5.74589462e+01,
        1.59571007e-01],
       [1.48150360e+02, 4.28941467e+02, 2.45896820e+02, 4.79206696e+02,
        1.38091415e-01],
       [2.54208740e+02, 4.25653534e+02, 3.60406647e+02, 4.79502747e+02,
        6.22972213e-02]], dtype=float32), array([[2.8877054e+02, 8.8161537e+01, 3.2380838e+02, 1.2039609e+02,
        9.3818349e-01],
       [4.7204395e+02, 4.3999216e+02, 5.0579248e+02, 4.7646201e+02,
        9.3291473e-01],
       [2.4472044e+02, 8.3415840e+01, 2.6554620e+02, 1.0259174e+02,
        6.8307742e-02]], dtype=float32)], [array([[354.96393  ,  78.10647  , 565.69135  , 314.13486  ,   0.9977793]],
      dtype=float32), array([[1.42316513e+02, 1.80840744e+02, 2.47268967e+02, 2.93691010e+02,
        9.95434344e-01],
       [2.59271088e+02, 2.99316223e+02, 3.56777740e+02, 4.01353729e+02,
        9.94641900e-01],
       [6.29150467e+01, 4.39009552e+01, 1.56572937e+02, 1.39049850e+02,
        9.94350791e-01],
       [3.42668152e+01, 1.31646530e+02, 1.51451920e+02, 2.44787186e+02,
        9.92216706e-01],
       [5.24123993e+01, 2.72532532e+02, 1.81543274e+02, 3.78328064e+02,
        9.91009951e-01],
       [1.52481827e+02, 3.21183228e+02, 2.56007233e+02, 4.21190369e+02,
        9.86738443e-01],
       [3.30837067e+02, 0.00000000e+00, 4.60092346e+02, 9.96408920e+01,
        9.84679282e-01],
       [5.31473007e+01, 3.84112885e+02, 1.65725098e+02, 4.78902832e+02,
        9.74733233e-01],
       [3.45936035e+02, 3.39899139e+02, 4.54351501e+02, 4.40196106e+02,
        9.52570796e-01],
       [1.98412796e+02, 3.97105896e+02, 3.02338348e+02, 4.80000000e+02,
        9.49331462e-01],
       [5.05058868e+02, 3.19887024e+02, 6.10028564e+02, 4.16071289e+02,
        9.18087244e-01],
       [4.39607452e+02, 2.86174561e+02, 5.46463074e+02, 3.93161407e+02,
        8.70965362e-01],
       [5.62671326e+02, 9.64151025e-01, 6.39813965e+02, 9.16384659e+01,
        8.11419249e-01],
       [4.58824524e+02, 1.38381958e+01, 5.58638367e+02, 1.08117676e+02,
        4.48085845e-01],
       [5.56614136e+02, 3.73967560e+02, 6.39644165e+02, 4.77895660e+02,
        7.27515742e-02]], dtype=float32), array([], shape=(0, 5), dtype=float32)], [array([[158.17184   , 267.4616    , 399.33987   , 476.05646   ,
          0.99861634]], dtype=float32), array([[4.00012543e+02, 6.26219788e+01, 5.02731689e+02, 1.64963272e+02,
        9.92756069e-01],
       [1.35053162e+02, 2.00298386e+02, 2.48862320e+02, 3.03127045e+02,
        9.91807878e-01],
       [4.90708740e+02, 9.77273407e+01, 6.11551636e+02, 2.17495865e+02,
        9.88994539e-01],
       [1.59821825e+01, 3.61747650e+02, 1.18656860e+02, 4.64046478e+02,
        9.88970637e-01],
       [2.81851868e+02, 1.05911018e+02, 3.78753296e+02, 1.97315445e+02,
        9.88567233e-01],
       [4.07067719e+02, 2.48571228e+02, 5.33857422e+02, 3.55674225e+02,
        9.86271501e-01],
       [3.01931267e+01, 1.39755249e-01, 1.29577194e+02, 8.24466553e+01,
        9.85319018e-01],
       [2.18992065e+02, 3.87574196e+01, 3.13418976e+02, 1.38775452e+02,
        9.84523952e-01],
       [3.14126953e+02, 1.58982376e+02, 4.34521759e+02, 2.76938782e+02,
        9.76287067e-01],
       [4.42011505e+02, 3.55500092e+02, 5.50996887e+02, 4.51217010e+02,
        9.66461122e-01],
       [5.54995422e+02, 3.52102631e+02, 6.39468140e+02, 4.57651886e+02,
        9.63170469e-01],
       [1.36031662e+02, 4.38951187e+01, 2.45676041e+02, 1.55739639e+02,
        9.44729149e-01],
       [3.20290039e+02, 0.00000000e+00, 4.33285370e+02, 7.70853348e+01,
        9.29429114e-01],
       [4.87191833e+02, 3.52587909e-01, 6.01295410e+02, 8.87113495e+01,
        8.86711597e-01],
       [4.12148323e+01, 1.51633453e+02, 1.68445389e+02, 2.33078110e+02,
        8.11207414e-01],
       [3.49658966e+02, 3.57908356e+02, 4.39546356e+02, 4.64738403e+02,
        3.87256980e-01],
       [7.44418411e+01, 1.23641624e+02, 1.85081924e+02, 2.05735611e+02,
        1.48257747e-01]], dtype=float32), array([], shape=(0, 5), dtype=float32)], [array([[252.40462   , 206.13388   , 467.8557    , 412.01935   ,
          0.99785113]], dtype=float32), array([[3.9811287e+01, 2.4666530e+02, 1.4665411e+02, 3.5941739e+02,
        9.9617958e-01],
       [4.4916290e+02, 3.1403220e+02, 5.6248035e+02, 4.2953540e+02,
        9.9497944e-01],
       [5.0634716e+01, 6.7295525e+01, 1.6014516e+02, 1.7351117e+02,
        9.9452001e-01],
       [1.4233728e+02, 2.7665277e+02, 2.4738037e+02, 3.7724939e+02,
        9.9435556e-01],
       [1.9602200e+02, 1.4354907e+02, 3.0126953e+02, 2.4903438e+02,
        9.8451185e-01],
       [5.2438324e+02, 2.3584412e+02, 6.3190894e+02, 3.3145145e+02,
        9.7413731e-01],
       [2.9223480e+02, 1.3834076e-01, 3.9609442e+02, 8.1193581e+01,
        9.6635443e-01],
       [3.3142746e+02, 1.2435945e+02, 4.5033005e+02, 2.2577934e+02,
        9.4955271e-01],
       [1.3267041e+02, 3.9566360e+02, 2.3164651e+02, 4.7936780e+02,
        9.3918025e-01],
       [2.0863489e+02, 5.3557766e+01, 3.1145972e+02, 1.4524794e+02,
        9.3623537e-01],
       [2.1814001e+02, 3.7616669e+02, 3.3995828e+02, 4.8000000e+02,
        9.3572050e-01],
       [5.2582568e+02, 4.1133691e+02, 6.3385339e+02, 4.8000000e+02,
        7.9631966e-01],
       [4.1908990e+02, 7.5954857e+01, 5.2852008e+02, 1.7608554e+02,
        6.4795494e-01],
       [2.7275116e+02, 9.5075172e+01, 3.6792450e+02, 1.9812248e+02,
        6.2184411e-01],
       [4.4623932e+02, 1.7039034e+02, 5.5221930e+02, 2.8232129e+02,
        4.3037215e-01],
       [4.0616431e+02, 0.0000000e+00, 5.2579523e+02, 6.9219345e+01,
        2.8263289e-01],
       [5.4657123e+02, 1.7087077e+02, 6.2967969e+02, 2.5616690e+02,
        1.9287217e-01],
       [5.2975031e+02, 1.8334833e+02, 6.3342017e+02, 2.9052838e+02,
        9.0216696e-02],
       [7.1497738e-01, 6.4869189e+00, 6.1098831e+01, 9.2899971e+01,
        5.5048168e-02]], dtype=float32), array([[560.3958   , 336.73495  , 594.187    , 372.86218  ,   0.9518331]],
      dtype=float32)], [array([[  0.       ,  85.407745 , 174.5415   , 280.67596  ,   0.9970023]],
      dtype=float32), array([[1.96260178e+02, 3.37146820e+02, 3.04622009e+02, 4.37162109e+02,
        9.93568778e-01],
       [2.98865356e+02, 2.49227997e+02, 4.09617401e+02, 3.57539032e+02,
        9.93483961e-01],
       [2.76722046e+02, 1.11451302e+02, 4.11656311e+02, 1.95252304e+02,
        9.85716164e-01],
       [2.44528366e+02, 2.24140968e+01, 3.46536072e+02, 1.11454178e+02,
        9.84043539e-01],
       [4.16148529e+02, 3.09452911e+02, 5.36144897e+02, 4.12879944e+02,
        9.84042823e-01],
       [5.21141235e+02, 1.01472916e+02, 6.29382507e+02, 2.13184906e+02,
        9.83297706e-01],
       [3.98528412e+02, 1.55358780e+02, 5.11495544e+02, 2.58169067e+02,
        9.77331042e-01],
       [6.84143982e+01, 5.89606047e+00, 1.66272644e+02, 9.87197418e+01,
        9.76070106e-01],
       [1.69879181e+02, 2.38352417e+02, 2.84283722e+02, 3.28710724e+02,
        9.68578994e-01],
       [1.59523087e+02, 9.67884369e+01, 2.68323212e+02, 2.13496567e+02,
        9.59245563e-01],
       [5.18485840e+02, 1.84630005e+02, 6.19457153e+02, 2.90045502e+02,
        9.51409161e-01],
       [3.97370361e+02, 2.22036926e+02, 5.03929871e+02, 3.16630188e+02,
        9.50175166e-01],
       [1.16347313e+00, 3.72215118e+02, 8.00505753e+01, 4.65041992e+02,
        9.45289850e-01],
       [1.48903442e+02, 2.93064842e+01, 2.42338226e+02, 1.35468933e+02,
        7.59467900e-01],
       [6.51373062e+01, 2.64288361e+02, 1.63824951e+02, 3.70786316e+02,
        6.18763506e-01],
       [1.11840813e+02, 2.41722992e+02, 2.18049698e+02, 3.65131989e+02,
        5.50263226e-01],
       [3.04096252e+02, 3.77765564e+02, 3.99824219e+02, 4.67800781e+02,
        5.27086914e-01],
       [3.29044922e+02, 4.07729828e+02, 4.24913239e+02, 4.78911133e+02,
        5.01074255e-01],
       [3.86119720e+02, 2.91870117e-01, 4.93338928e+02, 6.12757263e+01,
        4.29195732e-01],
       [5.80785706e+02, 3.42833099e+02, 6.39458923e+02, 4.39951813e+02,
        1.03091858e-01],
       [5.17577576e+02, 7.74739151e+01, 6.27570679e+02, 3.09862915e+02,
        6.96814582e-02]], dtype=float32), array([[512.5836    , 402.18445   , 557.6639    , 445.479     ,
          0.97960734],
       [609.7423    , 295.35574   , 640.        , 327.58768   ,
          0.9535529 ],
       [  1.6498622 ,  17.738651  ,  41.670574  ,  51.344303  ,
          0.839236  ]], dtype=float32)], [array([[  0.        ,  78.60883   , 156.92398   , 284.86884   ,
          0.99731416]], dtype=float32), array([[3.26798828e+02, 2.55417664e+02, 4.38005249e+02, 3.63312134e+02,
        9.96493161e-01],
       [3.65164062e+02, 3.53953278e+02, 4.73281006e+02, 4.58483276e+02,
        9.94493127e-01],
       [3.40172150e+02, 1.23728508e+02, 4.64454956e+02, 2.34847275e+02,
        9.94301319e-01],
       [1.38575745e+02, 7.49462204e+01, 2.49681839e+02, 1.80667206e+02,
        9.91524518e-01],
       [6.35246162e+01, 2.74537689e+02, 1.64527069e+02, 3.70705566e+02,
        9.91476715e-01],
       [5.30999390e+02, 1.58293030e+02, 6.40000000e+02, 2.81897247e+02,
        9.89595234e-01],
       [4.72727570e+02, 7.79309158e+01, 5.71620422e+02, 1.72056122e+02,
        9.88972604e-01],
       [1.38955719e+02, 2.45526382e+02, 2.46588577e+02, 3.44615662e+02,
        9.88499582e-01],
       [1.31760483e+02, 3.50624420e+02, 2.33292786e+02, 4.41621765e+02,
        9.88229513e-01],
       [4.41475372e+02, 2.43980988e+02, 5.62698608e+02, 3.56138153e+02,
        9.86356616e-01],
       [6.70709763e+01, 1.66298351e+01, 1.57261963e+02, 9.55784378e+01,
        9.62140739e-01],
       [3.50241302e+02, 5.38786936e+00, 4.47872742e+02, 1.02730171e+02,
        9.22465503e-01],
       [5.29247498e+02, 3.20029388e+02, 6.35710022e+02, 4.28411743e+02,
        8.71153295e-01],
       [2.02895294e+02, 4.10548981e+02, 3.18306305e+02, 4.80000000e+02,
        8.54010940e-01],
       [2.01400223e+02, 1.15003288e+00, 3.17542725e+02, 7.46962051e+01,
        7.33406842e-01],
       [3.87352112e+02, 1.38500938e+01, 4.75551880e+02, 1.13548866e+02,
        5.62176406e-01],
       [5.75735962e+02, 3.21677170e+01, 6.39138306e+02, 1.48833588e+02,
        1.80557832e-01],
       [1.24202825e-01, 6.11946373e+01, 1.47391113e+02, 3.07559540e+02,
        6.37096539e-02]], dtype=float32), array([[178.25516  , 202.38853  , 216.5066   , 244.39278  ,   0.9651437]],
      dtype=float32)], [array([[209.54967   ,   0.63520205, 417.99802   , 162.37431   ,
          0.99764246]], dtype=float32), array([[7.45549316e+01, 2.44834717e+02, 1.88095566e+02, 3.45646393e+02,
        9.95226860e-01],
       [4.22158417e+02, 2.93778870e+02, 5.39768188e+02, 3.96358582e+02,
        9.92242992e-01],
       [2.50902145e+02, 2.93548584e+02, 3.60310364e+02, 3.97789734e+02,
        9.89082336e-01],
       [1.72591888e+02, 2.93924377e+02, 2.74913147e+02, 3.94746887e+02,
        9.84510243e-01],
       [3.77032318e+01, 3.73747223e+02, 1.47228241e+02, 4.68784332e+02,
        9.84253883e-01],
       [3.31478790e+02, 1.90799820e+02, 4.40122101e+02, 3.00005066e+02,
        9.83110547e-01],
       [1.01524849e+02, 1.11756218e+02, 2.14499283e+02, 2.23043335e+02,
        9.70902920e-01],
       [8.04297161e+00, 1.06124985e+02, 1.04220253e+02, 2.06258591e+02,
        9.70655560e-01],
       [5.30575439e+02, 2.69355408e+02, 6.27718445e+02, 3.73124359e+02,
        9.67592716e-01],
       [4.59797516e+02, 7.89019623e+01, 5.61441101e+02, 1.69959702e+02,
        9.13640141e-01],
       [4.24048157e+02, 1.54471603e+02, 5.27085388e+02, 2.51347397e+02,
        8.18954766e-01],
       [5.24005432e+02, 3.10461826e+01, 6.34762146e+02, 1.40146820e+02,
        7.76421428e-01],
       [3.76179771e+01, 1.22574692e+01, 1.35427307e+02, 1.09529976e+02,
        7.04518020e-01],
       [2.00282944e+02, 1.62999176e+02, 2.86206177e+02, 2.73510345e+02,
        6.97848737e-01],
       [5.04476501e+02, 3.68060791e+02, 6.19747620e+02, 4.65622375e+02,
        5.16665399e-01],
       [2.40685455e+02, 1.58469910e+02, 3.48405029e+02, 2.75065704e+02,
        5.07410109e-01],
       [4.71571960e+02, 1.88138535e+02, 5.66640564e+02, 2.73714508e+02,
        4.04296726e-01],
       [5.35680481e+02, 1.49699966e+02, 6.40000000e+02, 2.51769440e+02,
        3.78443927e-01],
       [9.17845154e+01, 2.53479996e+01, 1.78804840e+02, 1.21983658e+02,
        2.87989140e-01],
       [4.15727234e+02, 4.00361572e+02, 5.23175842e+02, 4.80000000e+02,
        1.00870885e-01],
       [0.00000000e+00, 3.51630371e+02, 6.59728775e+01, 4.50657410e+02,
        6.67226538e-02],
       [5.31091431e+02, 3.14268494e+01, 6.35259216e+02, 2.92623169e+02,
        6.32044747e-02]], dtype=float32), array([[372.54633   , 421.93823   , 424.53754   , 468.90076   ,
          0.9669203 ],
       [ 54.364025  ,   0.        ,  95.534744  ,  33.470093  ,
          0.96675414]], dtype=float32)], [array([[214.80682  , 296.97073  , 440.22775  , 478.8366   ,   0.9983438]],
      dtype=float32), array([[4.16064789e+02, 1.87599686e+02, 5.29004761e+02, 2.94852844e+02,
        9.95000780e-01],
       [4.37640900e+02, 3.32022736e+02, 5.42943604e+02, 4.36603363e+02,
        9.94070113e-01],
       [1.04203110e+01, 2.52966934e+02, 1.30015717e+02, 3.62454315e+02,
        9.92408156e-01],
       [1.45310242e+02, 2.01205170e+02, 2.57120544e+02, 3.13726837e+02,
        9.91823614e-01],
       [7.99817123e+01, 1.40723892e+02, 1.73170425e+02, 2.36517960e+02,
        9.88777101e-01],
       [4.84041016e+02, 1.25473022e-01, 5.98849854e+02, 1.01203484e+02,
        9.86014962e-01],
       [2.81974701e+02, 2.18248810e+02, 4.07878754e+02, 3.14923584e+02,
        9.82830524e-01],
       [1.24796646e+02, 3.19870453e+02, 2.28456573e+02, 4.14455078e+02,
        9.81555879e-01],
       [4.28561755e-02, 0.00000000e+00, 1.06079475e+02, 1.06129562e+02,
        9.81238484e-01],
       [9.62769852e+01, 1.40521278e+01, 2.09702988e+02, 1.34922379e+02,
        9.79439437e-01],
       [2.65513275e+02, 1.03288422e+02, 3.86132935e+02, 2.20542908e+02,
        9.78377759e-01],
       [2.82020691e+02, 2.81677055e+01, 4.00689453e+02, 1.29273117e+02,
        9.71004725e-01],
       [1.32199752e+00, 3.73589844e+02, 1.04382797e+02, 4.77280273e+02,
        9.63817298e-01],
       [3.71976898e+02, 3.55989069e-01, 4.82252197e+02, 8.09778976e+01,
        9.04026091e-01],
       [5.64996948e+02, 2.99635742e+02, 6.39683350e+02, 4.06158142e+02,
        6.97173297e-01],
       [4.96070923e+02, 3.59889221e+02, 6.01647217e+02, 4.61917297e+02,
        5.00125408e-01],
       [1.28292252e+02, 4.19074585e+02, 2.23046417e+02, 4.79402344e+02,
        2.60286719e-01],
       [5.77260254e+02, 8.03027802e+01, 6.39379395e+02, 1.84933197e+02,
        2.43279308e-01],
       [2.78467834e+02, 5.49532394e+01, 3.91378448e+02, 1.75895798e+02,
        1.12400264e-01]], dtype=float32), array([[187.11133   ,  86.57795   , 239.13657   , 136.17957   ,
          0.97666544],
       [  0.        , 336.78104   ,  35.337776  , 381.01132   ,
          0.9393976 ],
       [213.04648   ,   2.6357276 , 265.9985    ,  49.30934   ,
          0.84707564]], dtype=float32)], [array([[133.39375  , 298.44064  , 370.3856   , 480.       ,   0.9985794]],
      dtype=float32), array([[3.3777927e+02, 2.4516150e+02, 4.4130301e+02, 3.5269400e+02,
        9.9417996e-01],
       [3.7028446e+01, 2.0687666e+02, 1.5592552e+02, 3.0376645e+02,
        9.9245936e-01],
       [4.9222983e+02, 4.6237850e+01, 6.1223755e+02, 1.6709152e+02,
        9.8909855e-01],
       [7.4516518e+01, 3.1501172e+02, 1.7772424e+02, 4.1962927e+02,
        9.8192453e-01],
       [3.3746509e+02, 4.3484081e+01, 4.5949188e+02, 2.0068953e+02,
        9.7559595e-01],
       [2.0680632e+02, 1.0728330e+02, 3.4518195e+02, 2.5366180e+02,
        9.6081525e-01],
       [1.5754041e+02, 2.1788017e+02, 2.5591563e+02, 3.1792258e+02,
        9.5060760e-01],
       [5.4592120e+02, 1.3386655e+02, 6.4000000e+02, 2.4390067e+02,
        9.3547875e-01],
       [2.1763158e+00, 3.8171667e+02, 9.0547935e+01, 4.7718100e+02,
        7.2198427e-01],
       [3.4808908e+02, 3.8378937e+02, 4.4780304e+02, 4.8000000e+02,
        6.8379259e-01],
       [5.4452948e+02, 3.6499567e+02, 6.3968860e+02, 4.7378757e+02,
        5.1410323e-01],
       [2.4594000e+02, 2.2349179e+02, 3.6206223e+02, 3.2143536e+02,
        5.8188755e-02]], dtype=float32), array([], shape=(0, 5), dtype=float32)], [array([[200.79124  , 161.00125  , 406.1593   , 390.8235   ,   0.9975141]],
      dtype=float32), array([[2.21376286e+01, 3.11166504e+02, 1.36989532e+02, 4.33726105e+02,
        9.94980991e-01],
       [2.19015274e+02, 8.26493759e+01, 3.29912720e+02, 1.79280762e+02,
        9.93334293e-01],
       [4.66244263e+02, 3.85831146e+01, 5.65476501e+02, 1.44756088e+02,
        9.92708385e-01],
       [4.99652740e+02, 2.49252441e+02, 6.20321655e+02, 3.57070251e+02,
        9.91557717e-01],
       [2.72025752e+00, 1.01742081e+02, 1.26858307e+02, 2.21112091e+02,
        9.88771379e-01],
       [3.50984406e+02, 7.60711655e-02, 4.73722382e+02, 1.02369896e+02,
        9.88093913e-01],
       [3.08126587e+02, 3.57169861e+02, 4.29944031e+02, 4.78077545e+02,
        9.85383451e-01],
       [4.76044189e+02, 1.55440018e+02, 5.95034790e+02, 2.54136826e+02,
        9.81745183e-01],
       [3.77150574e+02, 1.98562836e+02, 4.70244598e+02, 3.00547607e+02,
        9.78342175e-01],
       [4.63708069e+02, 4.00440369e+02, 5.69100098e+02, 4.80000000e+02,
        9.70648348e-01],
       [3.52951569e+02, 1.02247948e+02, 4.73656158e+02, 1.94705658e+02,
        9.64219093e-01],
       [5.62801941e+02, 2.42482681e+01, 6.39674316e+02, 1.47799454e+02,
        9.48263347e-01],
       [1.89611359e+02, 4.05748718e+02, 2.93528809e+02, 4.79735504e+02,
        9.36497629e-01],
       [1.51959854e+02, 3.17045227e+02, 2.59753723e+02, 4.08482605e+02,
        8.13393235e-01],
       [6.14506781e-01, 1.94895889e+02, 9.27084961e+01, 2.99787933e+02,
        7.25119889e-01],
       [7.19745560e+01, 4.23042908e+02, 1.80164307e+02, 4.79978363e+02,
        4.18101937e-01],
       [7.52479706e+01, 1.56946570e-01, 1.81825180e+02, 4.61374054e+01,
        8.63737538e-02]], dtype=float32), array([[454.7562    , 327.09427   , 504.40854   , 379.92502   ,
          0.85773027]], dtype=float32)], [array([[461.61487  , 282.74945  , 640.       , 479.31165  ,   0.9983298]],
      dtype=float32), array([[2.42222733e+02, 3.41052338e+02, 3.51366394e+02, 4.47291748e+02,
        9.88289595e-01],
       [2.52490520e+01, 3.49215668e+02, 1.40926300e+02, 4.56664246e+02,
        9.87578213e-01],
       [3.01505585e+01, 1.65591080e+02, 1.38316910e+02, 2.61573853e+02,
        9.86746907e-01],
       [3.31905212e+02, 5.52774811e+01, 4.54921570e+02, 1.62402878e+02,
        9.86422718e-01],
       [1.71524765e+02, 1.42068791e+00, 2.95876495e+02, 1.05016861e+02,
        9.80155289e-01],
       [1.12973547e+01, 3.05600109e+01, 1.16099655e+02, 1.31793594e+02,
        9.79420900e-01],
       [3.50276703e+02, 2.92450043e+02, 4.58897247e+02, 3.85112183e+02,
        9.77155447e-01],
       [1.18635399e+02, 3.18869507e+02, 2.19957367e+02, 4.21075531e+02,
        9.75631237e-01],
       [5.24794861e+02, 2.16390015e+02, 6.34772888e+02, 3.09650909e+02,
        9.20614600e-01],
       [3.93202332e+02, 0.00000000e+00, 5.33183228e+02, 8.24931564e+01,
        8.83027792e-01],
       [5.12031860e+02, 9.35096741e+01, 6.08654297e+02, 1.95551285e+02,
        8.49205673e-01],
       [4.62535187e+02, 1.18474678e+02, 5.56261780e+02, 2.10281784e+02,
        8.06960225e-01],
       [3.95888367e+02, 1.30046082e+02, 5.03545013e+02, 2.32906433e+02,
        8.04393351e-01],
       [1.94942200e+02, 1.55126785e+02, 2.99493805e+02, 2.40399338e+02,
        7.11985588e-01],
       [1.57450211e+02, 2.34780334e+02, 2.74563599e+02, 3.58703217e+02,
        7.05446184e-01],
       [1.63177917e+02, 1.07295906e+02, 2.73954742e+02, 1.99046021e+02,
        6.82574332e-01],
       [2.67495209e+02, 2.68807648e+02, 3.81505524e+02, 3.79569916e+02,
        6.41149223e-01],
       [5.74545410e+02, 1.44370747e+01, 6.38489746e+02, 1.17637337e+02,
        1.59230113e-01],
       [1.46026077e+02, 2.40103668e+02, 2.31544617e+02, 3.32396851e+02,
        9.46123302e-02]], dtype=float32), array([[ 66.85258  , 109.761696 , 105.98781  , 147.87102  ,   0.9730454],
       [115.90851  ,  21.080624 , 162.34404  ,  62.225098 ,   0.9634706],
       [418.65884  , 227.71802  , 480.53766  , 293.78223  ,   0.9494921],
       [  0.       , 246.36829  ,  36.47911  , 284.09985  ,   0.8202262]],
      dtype=float32)]]
metric = dataset.evaluate(outputs, metric='bbox')
print(metric)

# Evaluating bbox...
# Loading and preparing results...
# DONE (t=0.00s)
# creating index...
# index created!
# Running per image evaluation...
# Evaluate annotation type *bbox*
# DONE (t=0.81s).
# Accumulating evaluation results...
# DONE (t=0.07s).
#  Average Precision  (AP) @[ IoU=0.50:0.95 | area=   all | maxDets=100 ] = 0.627
#  Average Precision  (AP) @[ IoU=0.50      | area=   all | maxDets=1000 ] = 0.920
#  Average Precision  (AP) @[ IoU=0.75      | area=   all | maxDets=1000 ] = 0.736
#  Average Precision  (AP) @[ IoU=0.50:0.95 | area= small | maxDets=1000 ] = 0.615
#  Average Precision  (AP) @[ IoU=0.50:0.95 | area=medium | maxDets=1000 ] = 0.499
#  Average Precision  (AP) @[ IoU=0.50:0.95 | area= large | maxDets=1000 ] = 0.475
#  Average Recall     (AR) @[ IoU=0.50:0.95 | area=   all | maxDets=100 ] = 0.711
#  Average Recall     (AR) @[ IoU=0.50:0.95 | area=   all | maxDets=300 ] = 0.711
#  Average Recall     (AR) @[ IoU=0.50:0.95 | area=   all | maxDets=1000 ] = 0.711
#  Average Recall     (AR) @[ IoU=0.50:0.95 | area= small | maxDets=1000 ] = 0.640
#  Average Recall     (AR) @[ IoU=0.50:0.95 | area=medium | maxDets=1000 ] = 0.625
#  Average Recall     (AR) @[ IoU=0.50:0.95 | area= large | maxDets=1000 ] = 0.523
# OrderedDict([('bbox_mAP', 0.627), ('bbox_mAP_50', 0.92), ('bbox_mAP_75', 0.736), ('bbox_mAP_s', 0.615), ('bbox_mAP_m', 0.499), ('bbox_mAP_l', 0.475), ('bbox_mAP_copypaste', '0.627 0.920 0.736 0.615 0.499 0.475')])
반응형
728x90
반응형

VOC는 ANNOTATION이 XML형태

MMDetection 설치

!pip install mmcv-full
!git clone https://github.com/open-mmlab/mmdetection.git
!cd mmdetection; python setup.py install
# 아래를 수행하기 전에 kernel을 restart 해야 함. 
from mmdet.apis import init_detector, inference_detector
import mmcv

PASCAL VOC형태의 BCCD Dataset를 Download 후 MS-COCO 형태로 변경

  • BCCD Dataset은 백혈구(WBC), 적혈구(RBC), 혈소판(Platelets) 세가지 유형의 Object Class를 가짐.
  • 다운로드 받은 Dataset은 Pascal VOC 형태이므로 이를 별도의 유틸리티를 이용하여 MS-COCO 형태로 변환
!git clone https://github.com/Shenggan/BCCD_Dataset.git

VOC를 COCO로 변환하는 package적용하기

!git clone https://github.com/yukkyo/voc2coco.git
import os

# colab 버전은 아래 명령어로 ballnfish_classes.txt 를 수정합니다. 
with open('/content/BCCD_Dataset/BCCD/labels.txt', "w") as f:
    f.write("WBC\n")
    f.write("RBC\n")
    f.write("Platelets\n")

!cat /content/BCCD_Dataset/BCCD/labels.txt
# WBC
# RBC
# Platelets
# VOC를 COCO로 변환 수행. 학습/검증/테스트 용 json annotation을 생성. 
# voc2coco.py를 수행하여, annotation, jpgimage의 metafile를 매칭시켜서 json파일로 만들겠다.
# train, test, val 별로
%cd voc2coco
!python voc2coco.py --ann_dir /content/BCCD_Dataset/BCCD/Annotations \
--ann_ids /content/BCCD_Dataset/BCCD/ImageSets/Main/train.txt \
--labels /content/BCCD_Dataset/BCCD/labels.txt \
--output /content/BCCD_Dataset/BCCD/train.json \
--ext xml

!python voc2coco.py --ann_dir /content/BCCD_Dataset/BCCD/Annotations \
--ann_ids /content/BCCD_Dataset/BCCD/ImageSets/Main/val.txt \
--labels /content/BCCD_Dataset/BCCD/labels.txt \
--output /content/BCCD_Dataset/BCCD/val.json \
--ext xml

!python voc2coco.py --ann_dir /content/BCCD_Dataset/BCCD/Annotations \
--ann_ids /content/BCCD_Dataset/BCCD/ImageSets/Main/test.txt \
--labels /content/BCCD_Dataset/BCCD/labels.txt \
--output /content/BCCD_Dataset/BCCD/test.json \
--ext xml

# /content/voc2coco
# Start converting !
# 100% 205/205 [00:00<00:00, 3822.02it/s]
# Start converting !
# 100% 87/87 [00:00<00:00, 3999.13it/s]
# Start converting !
# 100% 72/72 [00:00<00:00, 3397.08it/s]
!cat /content/BCCD_Dataset/BCCD/train.json
# {"images": [{"file_name": "BloodImage_00001.jpg", "height": 480, "width": 640, "id": "BloodImage_00001"}, {"file_name": "BloodImage_00003.jpg", "height": 480, "width": 640, "id": "BloodImage_00003"}, {"file_name": "BloodImage_00004.jpg", "height": 480, "width": 640, "id": "BloodImage_00004"}, {"file_name": "BloodImage_00005.jpg", "height": 480, "width": 640, "id": "BloodImage_00005"}, {"file_name": "BloodImage_00006.jpg", "height": 480, "width": 640, "id": "BloodImage_00006"}, {"file_name": "BloodImage_00008.jpg", "height": 480, "width": 640, "id": "BloodImage_00008"}, {"file_name": "BloodImage_00009.jpg", "height": 480, "width": 640, "id": "BloodImage_00009"}, {"file_name": "BloodImage_00010.jpg", "height": 480, "width": 640, "id": "BloodImage_00010"}, {"file_name": "BloodImage_00012.jpg", "height": 480, "width": 640, "id": "BloodImage_00012"}, {"file_name": "BloodImage_00013.jpg", "height": 480, "width": 640, "id": "BloodImage_00013"}, {"file_name": "BloodImage_00020.jpg", "height": 480, "width": 640, "id": "BloodImage_00020"}, {"file_name": "BloodImage_00022.jpg", "height": 480, "width": 640, "id": "BloodImage_00022"}, {"file_name": "BloodImage_00023.jpg", "height": 480, "width": 640, "id": "BloodImage_00023"}, {"file_name": "BloodImage_00024.jpg", "height": 480, "width": 640, "id": "BloodImage_00024"}, {"file_name": "BloodImage_00026.jpg", "height": 480, "width": 640, "id": "BloodImage_00026"}, {"file_name": "BloodImage_00032.jpg", "height": 480, "width": 640, "id": "BloodImage_00032"}, {"file_name": "BloodImage_00034.jpg", "height": 480, "width": 640, "id": "BloodImage_00034"}, {"file_name": "BloodImage_00036.jpg", "height": 480, "width": 640, "id": "BloodImage_00036"}, {"file_name": "BloodImage_00038.jpg", "height": 480, "width": 640, "id": "BloodImage_00038"}, {"file_name": "BloodImage_00039.jpg", "height": 480, "width": 640, "id": "BloodImage_00039"}, {"file_name": "BloodImage_00040.jpg", "height": 480, "width": 640, "id": "BloodImage_00040"}, {"file_name": "BloodImage_00042.jpg", "height": 480, "width": 640, "id": "BloodImage_00042"}, {"file_name": "BloodImage_00043.jpg", "height": 480, "width": 640, "id": "BloodImage_00043"}, {"file_name": "BloodImage_00044.jpg", "height": 480, "width": 640, "id": "BloodImage_00044"}, {"file_name": "BloodImage_00045.jpg", "height": 480, "width": 640, "id": "BloodImage_00045"}, {"file_name": "BloodImage_00046.jpg", "height": 480, "width": 640, "id": "BloodImage_00046"}, {"file_name": "BloodImage_00047.jpg", "height": 480, "width": 640, "id": "BloodImage_00047"}, {"file_name": "BloodImage_00048.jpg", "height": 480, "width": 640, "id": "BloodImage_00048"}, {"file_name": "BloodImage_00049.jpg", "height": 480, "width": 640, "id": "BloodImage_00049"}, {"file_name": "BloodImage_00050.jpg", "height": 480, "width": 640, "id": "BloodImage_00050"}, {"file_name": "BloodImage_00052.jpg", "height": 480, "width": 640, "id": "BloodImage_00052"}, {"file_name": "BloodImage_00054.jpg", "height": 480, "width": 640, "id": "BloodImage_00054"}, {"file_name": "BloodImage_00056.jpg", "height": 480, "width": 640, "id": "BloodImage_00056"}, {"file_name": "BloodImage_00059.jpg", "height": 480, "width": 640, "id": "BloodImage_00059"}, {"file_name": "BloodImage_00069.jpg", "height": 480, "width": 640, "id": "BloodImage_00069"}, {"file_name": "BloodImage_00070.jpg", "height": 480, "width": 640, "id": "BloodImage_00070"}, {"file_name": "BloodImage_00071.jpg", "height": 480, "width": 640, "id": "BloodImage_00071"}, {"file_name": "BloodImage_00076.jpg", "height": 480, "width": 640, "id": "BloodImage_00076"}, {"file_name": "BloodImage_00078.jpg", "height": 480, "width": 640, "id": "BloodImage_00078"}, {"file_name": "BloodImage_00079.jpg", "height": 480, "width": 640, "id": "BloodImage_00079"}, {"file_name": "BloodImage_00081.jpg", "height": 480, "width": 640, "id": "BloodImage_00081"}, {"file_name": "BloodImage_00082.jpg", "height": 480, "width": 640, "id": "BloodImage_00082"}, {"file_name": "BloodImage_00083.jpg", "height": 480, "width": 640, "id": "BloodImage_00083"}, {"file_name": "BloodImage_00086.jpg", "height": 480, "width": 640, "id": "BloodImage_00086"}, {"file_name": "BloodImage_00087.jpg", "height": 480, "width": 640, "id": "BloodImage_00087"}, {"file_name": "BloodImage_00090.jpg", "height": 480, "width": 640, "id": "BloodImage_00090"}, {"file_name": "BloodImage_00091.jpg", "height": 480, "width": 640, "id": "BloodImage_00091"}, {"file_name": "BloodImage_00092.jpg", "height": 480, "width": 640, "id": "BloodImage_00092"}, {"file_name": "BloodImage_00094.jpg", "height": 480, "width": 640, "id": "BloodImage_00094"}, {"file_name": "BloodImage_00095.jpg", "height": 480, "width": 640, "id": "BloodImage_00095"}, {"file_name": "BloodImage_00097.jpg", "height": 480, "width": 640, "id": "BloodImage_00097"}, {"file_name": "BloodImage_00100.jpg", "height": 480, "width": 640, "id": "BloodImage_00100"}, {"file_name": "BloodImage_00101.jpg", "height": 480, "width": 640, "id": "BloodImage_00101"}, {"file_name": "BloodImage_00106.jpg", "height": 480, "width": 640, "id": "BloodImage_00106"}, {"file_name": "BloodImage_00107.jpg", "height": 480, "width": 640, "id": "BloodImage_00107"}, {"file_name": "BloodImage_00108.jpg", "height": 480, "width": 640, "id": "BloodImage_00108"}, {"file_name": "BloodImage_00110.jpg", "height": 480, "width": 640, "id": "BloodImage_00110"}, {"file_name": "BloodImage_00112.jpg", "height": 480, "width": 640, "id": "BloodImage_00112"}, {"file_name": "BloodImage_00113.jpg", "height": 480, "width": 640, "id": "BloodImage_00113"}, {"file_name": "BloodImage_00114.jpg", "height": 480, "width": 640, "id": "BloodImage_00114"}, {"file_name": "BloodImage_00117.jpg", "height": 480, "width": 640, "id": "BloodImage_00117"}, {"file_name": "BloodImage_00120.jpg", "height": 480, "width": 640, "id": "BloodImage_00120"}, {"file_name": "BloodImage_00123.jpg", "height": 480, "width": 640, "id": "BloodImage_00123"}, {"file_name": "BloodImage_00124.jpg", "height": 480, "width": 640, "id": "BloodImage_00124"}, {"file_name": "BloodImage_00126.jpg", "height": 480, "width": 640, "id": "BloodImage_00126"}, {"file_name": "BloodImage_00127.jpg", "height": 480, "width": 640, "id": "BloodImage_00127"}, {"file_name": "BloodImage_00133.jpg", "height": 480, "width": 640, "id": "BloodImage_00133"}, {"file_name": "BloodImage_00134.jpg", "height": 480, "width": 640, "id": "BloodImage_00134"}, {"file_name": "BloodImage_00139.jpg", "height": 480, "width": 640, "id": "BloodImage_00139"}, {"file_name": "BloodImage_00141.jpg", "height": 480, "width": 640, "id": "BloodImage_00141"}, {"file_name": "BloodImage_00142.jpg", "height": 480, "width": 640, "id": "BloodImage_00142"}, {"file_name": "BloodImage_00144.jpg", "height": 480, "width": 640, "id": "BloodImage_00144"}, {"file_name": "BloodImage_00150.jpg", "height": 480, "width": 640, "id": "BloodImage_00150"}, {"file_name": "BloodImage_00154.jpg", "height": 480, "width": 640, "id": "BloodImage_00154"}, {"file_name": "BloodImage_00156.jpg", "height": 480, "width": 640, "id": "BloodImage_00156"}, {"file_name": "BloodImage_00158.jpg", "height": 480, "width": 640, "id": "BloodImage_00158"}, {"file_name": "BloodImage_00159.jpg", "height": 480, "width": 640, "id": "BloodImage_00159"}, {"file_name": "BloodImage_00160.jpg", "height": 480, "width": 640, "id": "BloodImage_00160"}, {"file_name": "BloodImage_00163.jpg", "height": 480, "width": 640, "id": "BloodImage_00163"}, {"file_name": "BloodImage_00164.jpg", "height": 480, "width": 640, "id": "BloodImage_00164"}, {"file_name": "BloodImage_00165.jpg", "height": 480, "width": 640, "id": "BloodImage_00165"}, {"file_name": "BloodImage_00166.jpg", "height": 480, "width": 640, "id": "BloodImage_00166"}, {"file_name": "BloodImage_00168.jpg", "height": 480, "width": 640, "id": "BloodImage_00168"}, {"file_name": "BloodImage_00170.jpg", "height": 480, "width": 640, "id": "BloodImage_00170"}, {"file_name": "BloodImage_00174.jpg", "height": 480, "width": 640, "id": "BloodImage_00174"}, {"file_name": "BloodImage_00175.jpg", "height": 480, "width": 640, "id": "BloodImage_00175"}, {"file_name": "BloodImage_00176.jpg", "height": 480, "width": 640, "id": "BloodImage_00176"}, {"file_name": "BloodImage_00177.jpg", "height": 480, "width": 640, "id": "BloodImage_00177"}, {"file_name": "BloodImage_00179.jpg", "height": 480, "width": 640, "id": "BloodImage_00179"}, {"file_name": "BloodImage_00182.jpg", "height": 480, "width": 640, "id": "BloodImage_00182"}, {"file_name": "BloodImage_00187.jpg", "height": 480, "width": 640, "id": "BloodImage_00187"}, {"file_name": "BloodImage_00189.jpg", "height": 480, "width": 640, "id": "BloodImage_00189"}, {"file_name": "BloodImage_00190.jpg", "height": 480, "width": 640, "id": "BloodImage_00190"}, {"file_name": "BloodImage_00191.jpg", "height": 480, "width": 640, "id": "BloodImage_00191"}, {"file_name": "BloodImage_00195.jpg", "height": 480, "width": 640, "id": "BloodImage_00195"}, {"file_name": "BloodImage_00196.jpg", "height": 480, "width": 640, "id": "BloodImage_00196"}, {"file_name": "BloodImage_00197.jpg", "height": 480, "width": 640, "id": "BloodImage_00197"}, {"file_name": "BloodImage_00198.jpg", "height": 480, "width": 640, "id": "BloodImage_00198"}, {"file_name": "BloodImage_00199.jpg", "height": 480, "width": 640, "id": "BloodImage_00199"}, {"file_name": "BloodImage_00200.jpg", "height": 480, "width": 640, "id": "BloodImage_00200"}, {"file_name": "BloodImage_00201.jpg", "height": 480, "width": 640, "id": "BloodImage_00201"}, {"file_name": "BloodImage_00202.jpg", "height": 480, "width": 640, "id": "BloodImage_00202"}, {"file_name": "BloodImage_00203.jpg", "height": 480, "width": 640, "id": "BloodImage_00203"}, {"file_name": "BloodImage_00204.jpg", "height": 480, "width": 640, "id": "BloodImage_00204"}, {"file_name": "BloodImage_00206.jpg", "height": 480, "width": 640, "id": "BloodImage_00206"}, {"file_name": "BloodImage_00210.jpg", "height": 480, "width": 640, "id": "BloodImage_00210"}, {"file_name": "BloodImage_00211.jpg", "height": 480, "width": 640, "id": "BloodImage_00211"}, {"file_name": "BloodImage_00212.jpg", "height": 480, "width": 640, "id": "BloodImage_00212"}, {"file_name": "BloodImage_00214.jpg", "height": 480, "width": 640, "id": "BloodImage_00214"}, {"file_name": "BloodImage_00215.jpg", "height": 480, "width": 640, "id": "BloodImage_00215"}, {"file_name": "BloodImage_00224.jpg", "height": 480, "width": 640, "id": "BloodImage_00224"}, {"file_name": "BloodImage_00231.jpg", "height": 480, "width": 640, "id": "BloodImage_00231"}, {"file_name": "BloodImage_00232.jpg", "height": 480, "width": 640, "id": "BloodImage_00232"}, {"file_name": "BloodImage_00235.jpg", "height": 480, "width": 640, "id": "BloodImage_00235"}, {"file_name": "BloodImage_00237.jpg", "height": 480, "width": 640, "id": "BloodImage_00237"}, {"file_name": "BloodImage_00239.jpg", "height": 480, "width": 640, "id": "BloodImage_00239"}, {"file_name": "BloodImage_00240.jpg", "height": 480, "width": 640, "id": "BloodImage_00240"}, {"file_name": "BloodImage_00242.jpg", "height": 480, "width": 640, "id": "BloodImage_00242"}, {"file_name": "BloodImage_00243.jpg", "height": 480, "width": 640, "id": "BloodImage_00243"}, {"file_name": "BloodImage_00247.jpg", "height": 480, "width": 640, "id": "BloodImage_00247"}, {"file_name": "BloodImage_00248.jpg", "height": 480, "width": 640, "id": "BloodImage_00248"}, {"file_name": "BloodImage_00250.jpg", "height": 480, "width": 640, "id": "BloodImage_00250"}, {"file_name": "BloodImage_00251.jpg", "height": 480, "width": 640, "id": "BloodImage_00251"}, {"file_name": "BloodImage_00252.jpg", "height": 480, "width": 640, "id": "BloodImage_00252"}, {"file_name": "BloodImage_00254.jpg", "height": 480, "width": 640, "id": "BloodImage_00254"}, {"file_name": "BloodImage_00256.jpg", "height": 480, "width": 640, "id": "BloodImage_00256"}, {"file_name": "BloodImage_00257.jpg", "height": 480, "width": 640, "id": "BloodImage_00257"}, {"file_name": "BloodImage_00258.jpg", "height": 480, "width": 640, "id": "BloodImage_00258"}, {"file_name": "BloodImage_00259.jpg", "height": 480, "width": 640, "id": "BloodImage_00259"}, {"file_name": "BloodImage_00263.jpg", "height": 480, "width": 640, "id": "BloodImage_00263"}, {"file_name": "BloodImage_00264.jpg", "height": 480, "width": 640, "id": "BloodImage_00264"}, {"file_name": "BloodImage_00265.jpg", "height": 480, "width": 640, "id": "BloodImage_00265"}, {"file_name": "BloodImage_00266.jpg", "height": 480, "width": 640, "id": "BloodImage_00266"}, {"file_name": "BloodImage_00267.jpg", "height": 480, "width": 640, "id": "BloodImage_00267"}, {"file_name": "BloodImage_00268.jpg", "height": 480, "width": 640, "id": "BloodImage_00268"}, {"file_name": "BloodImage_00270.jpg", "height": 480, "width": 640, "id": "BloodImage_00270"}, {"file_name": "BloodImage_00273.jpg", "height": 480, "width": 640, "id": "BloodImage_00273"}, {"file_name": "BloodImage_00275.jpg", "height": 480, "width": 640, "id": "BloodImage_00275"}, {"file_name": "BloodImage_00276.jpg", "height": 480, "width": 640, "id": "BloodImage_00276"}, {"file_name": "BloodImage_00278.jpg", "height": 480, "width": 640, "id": "BloodImage_00278"}, {"file_name": "BloodImage_00279.jpg", "height": 480, "width": 640, "id": "BloodImage_00279"}, {"file_name": "BloodImage_00281.jpg", "height": 480, "width": 640, "id": "BloodImage_00281"}, {"file_name": "BloodImage_00283.jpg", "height": 480, "width": 640, "id": "BloodImage_00283"}, {"file_name": "BloodImage_00288.jpg", "height": 480, "width": 640, "id": "BloodImage_00288"}, {"file_name": "BloodImage_00289.jpg", "height": 480, "width": 640, "id": "BloodImage_00289"}, {"file_name": "BloodImage_00291.jpg", "height": 480, "width": 640, "id": "BloodImage_00291"}, {"file_name": "BloodImage_00292.jpg", "height": 480, "width": 640, "id": "BloodImage_00292"}, {"file_name": "BloodImage_00294.jpg", "height": 480, "width": 640, "id": "BloodImage_00294"}, {"file_name": "BloodImage_00295.jpg", "height": 480, "width": 640, "id": "BloodImage_00295"}, {"file_name": "BloodImage_00297.jpg", "height": 480, "width": 640, "id": "BloodImage_00297"}, {"file_name": "BloodImage_00299.jpg", "height": 480, "width": 640, "id": "BloodImage_00299"}, {"file_name": "BloodImage_00300.jpg", "height": 480, "width": 640, "id": "BloodImage_00300"}, {"file_name": "BloodImage_00301.jpg", "height": 480, "width": 640, "id": "BloodImage_00301"}, {"file_name": "BloodImage_00302.jpg", "height": 480, "width": 640, "id": "BloodImage_00302"}, {"file_name": "BloodImage_00305.jpg", "height": 480, "width": 640, "id": "BloodImage_00305"}, {"file_name": "BloodImage_00307.jpg", "height": 480, "width": 640, "id": "BloodImage_00307"}, {"file_name": "BloodImage_00308.jpg", "height": 480, "width": 640, "id": "BloodImage_00308"}, {"file_name": "BloodImage_00309.jpg", "height": 480, "width": 640, "id": "BloodImage_00309"}, {"file_name": "BloodImage_00311.jpg", "height": 480, "width": 640, "id": "BloodImage_00311"}, {"file_name": "BloodImage_00313.jpg", "height": 480, "width": 640, "id": "BloodImage_00313"}, {"file_name": "BloodImage_00314.jpg", "height": 480, "width": 640, "id": "BloodImage_00314"}, {"file_name": "BloodImage_00317.jpg", "height": 480, "width": 640, "id": "BloodImage_00317"}, {"file_name": "BloodImage_00318.jpg", "height": 480, "width": 640, "id": "BloodImage_00318"}, {"file_name": "BloodImage_00322.jpg", "height": 480, "width": 640, "id": "BloodImage_00322"}, {"file_name": "BloodImage_00324.jpg", "height": 480, "width": 640, "id": "BloodImage_00324"}, {"file_name": "BloodImage_00325.jpg", "height": 480, "width": 640, "id": "BloodImage_00325"}, {"file_name": "BloodImage_00332.jpg", "height": 480, "width": 640, "id": "BloodImage_00332"}, {"file_name": "BloodImage_00335.jpg", "height": 480, "width": 640, "id": "BloodImage_00335"}, {"file_name": "BloodImage_00336.jpg", "height": 480, "width": 640, "id": "BloodImage_00336"}, {"file_name": "BloodImage_00339.jpg", "height": 480, "width": 640, "id": "BloodImage_00339"}, {"file_name": "BloodImage_00343.jpg", "height": 480, "width": 640, "id": "BloodImage_00343"}, {"file_name": "BloodImage_00344.jpg", "height": 480, "width": 640, "id": "BloodImage_00344"}, {"file_name": "BloodImage_00345.jpg", "height": 480, "width": 640, "id": "BloodImage_00345"}, {"file_name": "BloodImage_00347.jpg", "height": 480, "width": 640, "id": "BloodImage_00347"}, {"file_name": "BloodImage_00348.jpg", "height": 480, "width": 640, "id": "BloodImage_00348"}, {"file_name": "BloodImage_00351.jpg", "height": 480, "width": 640, "id": "BloodImage_00351"}, {"file_name": "BloodImage_00353.jpg", "height": 480, "width": 640, "id": "BloodImage_00353"}, {"file_name": "BloodImage_00354.jpg", "height": 480, "width": 640, "id": "BloodImage_00354"}, {"file_name": "BloodImage_00355.jpg", "height": 480, "width": 640, "id": "BloodImage_00355"}, {"file_name": "BloodImage_00356.jpg", "height": 480, "width": 640, "id": "BloodImage_00356"}, {"file_name": "BloodImage_00357.jpg", "height": 480, "width": 640, "id": "BloodImage_00357"}, {"file_name": "BloodImage_00359.jpg", "height": 480, "width": 640, "id": "BloodImage_00359"}, {"file_name": "BloodImage_00361.jpg", "height": 480, "width": 640, "id": "BloodImage_00361"}, {"file_name": "BloodImage_00362.jpg", "height": 480, "width": 640, "id": "BloodImage_00362"}, {"file_name": "BloodImage_00364.jpg", "height": 480, "width": 640, "id": "BloodImage_00364"}, {"file_name": "BloodImage_00369.jpg", "height": 480, "width": 640, "id": "BloodImage_00369"}, {"file_name": "BloodImage_00370.jpg", "height": 480, "width": 640, "id": "BloodImage_00370"}, {"file_name": "BloodImage_00371.jpg", "height": 480, "width": 640, "id": "BloodImage_00371"}, {"file_name": "BloodImage_00372.jpg", "height": 480, "width": 640, "id": "BloodImage_00372"}, {"file_name": "BloodImage_00374.jpg", "height": 480, "width": 640, "id": "BloodImage_00374"}, {"file_name": "BloodImage_00376.jpg", "height": 480, "width": 640, "id": "BloodImage_00376"}, {"file_name": "BloodImage_00377.jpg", "height": 480, "width": 640, "id": "BloodImage_00377"}, {"file_name": "BloodImage_00378.jpg", "height": 480, "width": 640, "id": "BloodImage_00378"}, {"file_name": "BloodImage_00379.jpg", "height": 480, "width": 640, "id": "BloodImage_00379"}, {"file_name": "BloodImage_00382.jpg", "height": 480, "width": 640, "id": "BloodImage_00382"}, {"file_name": "BloodImage_00384.jpg", "height": 480, "width": 640, "id": "BloodImage_00384"}, {"file_name": "BloodImage_00387.jpg", "height": 480, "width": 640, "id": "BloodImage_00387"}, {"file_name": "BloodImage_00388.jpg", "height": 480, "width": 640, "id": "BloodImage_00388"}, {"file_name": "BloodImage_00393.jpg", "height": 480, "width": 640, "id": "BloodImage_00393"}, {"file_name": "BloodImage_00395.jpg", "height": 480, "width": 640, "id": "BloodImage_00395"}, {"file_name": "BloodImage_00400.jpg", "height": 480, "width": 640, "id": "BloodImage_00400"}, {"file_name": "BloodImage_00403.jpg", "height": 480, "width": 640, "id": "BloodImage_00403"}, {"file_name": "BloodImage_00404.jpg", "height": 480, "width": 640, "id": "BloodImage_00404"}, {"file_name": "BloodImage_00405.jpg", "height": 480, "width": 640, "id": "BloodImage_00405"}, {"file_name": "BloodImage_00408.jpg", "height": 480, "width": 640, "id": "BloodImage_00408"}], "type": "instances", "annotations": [{"area": 36354, "iscrowd": 0, "bbox": [67, 314, 219, 166], "category_id": 1, "ignore": 0, "segmentation": [], "image_id": "BloodImage_00001", "id": 1}, {"area": 9494, "iscrowd": 0, "bbox": [345, 360, 101, 94], "category_id": 2, "ignore": 0, "segmentation": [], "image_id": "BloodImage_00001", "id": 2}, {"area": 11374, "iscrowd": 0, "bbox": [52, 178, 94, 121], "category_id": 2, "ignore": 0, "segmentation": [], "image_id": "BloodImage_00001", "id": 3}, {"area": 7128, "iscrowd": 0, "bbox": [448, 399, 88, 81], "category_id": 2, "ignore": 0, "segmentation": [], "image_id": "BloodImage_00001", "id": 4}, {"area": 7128, "iscrowd": 0, "bbox": [460, 131, 88, 81], "category_id": 2, "ignore": 0, "segmentation": [], "image_id": "BloodImage_00001", "id": 5}, {"area": 7128, "iscrowd": 0, "bbox": [453, 294, 88, 81], "category_id": 2, "ignore": 0, "segmentation": [], "image_id": "BloodImage_00001", "id": 6}, {"area": 9292, "iscrowd": 0, "bbox": [416, 282, 92, 101], "category_id": 2, "ignore": 0, "segmentation": [], "image_id": "BloodImage_00001", "id": 7}, {"area": 10120, "iscrowd": 0, "bbox": [277, 341, 92, 110], "category_id": 2, "ignore": 0, "segmentation": [], "image_id": "BloodImage_00001", "id": 8}, {"area": 9016, "iscrowd": 0, "bbox": [544, 61, 92, 98], "category_id": 2, "ignore": 0, "segmentation": [], "image_id": "BloodImage_00001", "id": 9}, {"area": 9016, "iscrowd": 0, "bbox": [484, 90, 92, 98], "category_id": 2, "ignore": 0, "segmentation": [], "image_id": "BloodImage_00001", "id": 10}, {"area": 5229, "iscrowd": 0, "bbox": [375, 170, 63, 83], "category_id": 2, "ignore": 0, "segmentation": [], "image_id": "BloodImage_00001", "id": 11}, {"area": 6365, "iscrowd": 0, "bbox": [328, 176, 67, 95], "category_id": 2, "ignore": 0, "segmentation": [], "image_id": "BloodImage_00001", "id": 12}, {"area": 12870, "iscrowd": 0, "bbox": [290, 58, 117, 110], "category_id": 2, "ignore": 0, "segmentation": [], "image_id": "BloodImage_00001", "id": 13}, {"area": 7208, "iscrowd": 0, "bbox": [298, 0, 106, 68], "category_id": 2, "ignore": 0, "segmentation": [], "image_id": "BloodImage_00001", "id": 14}, {"area": 11752, "iscrowd": 0, "bbox": [345, 25, 104, 113], "category_id": 2, "ignore": 0, "segmentation": [], "image_id": "BloodImage_00001", "id": 15}, {"area": 10260, "iscrowd": 0, "bbox": [133, 0, 108, 95], "category_id": 2, "ignore": 0, "segmentation": [], "image_id": "BloodImage_00001", "id": 16}, {"area": 12446, "iscrowd": 0, "bbox": [0, 37, 98, 127], "category_id": 2, "ignore": 0, "segmentation": [], "image_id": "BloodImage_00001", "id": 17}, {"area": 9765, "iscrowd": 0, "bbox": [164, 159, 93, 105], "category_id": 2, "ignore": 0, "segmentation": [], "image_id": "BloodImage_00001", "id": 18}, {"area": 11433, "iscrowd": 0, "bbox": [463, 208, 103, 111], "category_id": 2, "ignore": 0, "segmentation": [], "image_id": "BloodImage_00001", "id": 19}, {"area": 40766, "iscrowd": 0, "bbox": [126, 39, 218, 187], "category_id": 1, "ignore": 0, "segmentation": [], "image_id": "BloodImage_00003", "id": 20}, {"area": 11124, "iscrowd": 0, "bbox": [316, 92, 108, 103], "category_id": 2, "ignore": 0, "segmentation": [], "image_id": "BloodImage_00003", "id": 21}, {"area": 8277, "iscrowd": 0, "bbox": [378, 145, 93, 89], "category_id": 2, "ignore": 0, "segmentation": [], "image_id": "BloodImage_00003", "id": 22}, {"area": 10323, "iscrowd": 0, "bbox": [503, 209, 111, 93], "category_id": 2, "ignore": 0, "segmentation": [], "image_id": "BloodImage_00003", "id": 23}, {"area": 16714, "iscrowd": 0, "bbox": [416, 247, 137, 122], "category_id": 2, "ignore": 0, "segmentation": [], "image_id": "BloodImage_00003", "id": 24}, {"area": 12648, "iscrowd": 0, "bbox": [513, 12, 102, 124], "category_id": 2, "ignore": 0, "segmentation": [], "image_id": "BloodImage_00003", "id": 25}, {"area": 9152, "iscrowd": 0, "bbox": [416, 0, 104, 88], "category_id": 2, "ignore": 0, "segmentation": [], "image_id": "BloodImage_00003", "id": 26}, {"area": 9085, "iscrowd": 0, "bbox": [0, 125, 79, 115], "category_id": 2, "ignore": 0, "segmentation": [], "image_id": "BloodImage_00003", "id": 27}, {"area": 12992, "iscrowd": 0, "bbox": [46, 201, 112, 116], "category_id": 2, "ignore": 0, "segmentation": [], "image_id": "BloodImage_00003", "id": 28}, {"area": 10434, "iscrowd": 0, "bbox": [313, 283, 111, 94], "category_id": 2, "ignore": 0, "segmentation": [], "image_id": "BloodImage_00003", "id": 29}, {"area": 12240, "iscrowd": 0, "bbox": [364, 349, 120, 102], "category_id": 2, "ignore": 0, "segmentation": [], "image_id": "BloodImage_00003", "id": 30}, {"area": 7568, "iscrowd": 0, "bbox": [0, 346, 86, 88], "category_id": 2, "ignore": 0, "segmentation": [], "image_id": "BloodImage_00003", "id": 31}, {"area": 11475, "iscrowd": 0, "bbox": [48, 395, 135, 85], "category_id": 2, "ignore": 0, "segmentation": [], "image_id": "BloodImage_00003", "id": 32}, {"area": 7626, "iscrowd": 0, "bbox": [513, 384, 82, 93], "category_id": 2, "ignore": 0, "segmentation": [], "image_id": "BloodImage_00003", "id": 33}, {"area": 14016, "iscrowd": 0, "bbox": [55, 65, 96, 146], "category_id": 2, "ignore": 0, "segmentation": [], "image_id": "BloodImage_00003", "id": 34}, {"area": 14036, "iscrowd": 0, "bbox": [212, 252, 121, 116], "category_id": 2, "ignore": 0, "segmentation": [], "image_id": "BloodImage_00003", "id": 35}, {"area": 1152, "iscrowd": 0, "bbox": [334, 267, 36, 32], "category_id": 3, "ignore": 0, "segmentation": [], "image_id": "BloodImage_00003", "id": 36}, {"area": 40608, "iscrowd": 0, "bbox": [108, 133, 216, 188], "category_id": 1, "ignore": 0, "segmentation": [], "image_id": "BloodImage_00004", "id": 37}, {"area": 8148, "iscrowd": 0, "bbox": [431, 241, 97, 84], "category_id": 2, "ignore": 0, "segmentation": [], "image_id": "BloodImage_00004", "id": 38}, {"area": 8148, "iscrowd": 0, "bbox": [509, 111, 97, 84], "category_id": 2, "ignore": 0, "segmentation": [], "image_id": "BloodImage_00004", "id": 39}, {"area": 12995, "iscrowd": 0, "bbox": [481, 360, 113, 115], "category_id": 2, "ignore": 0, "segmentation": [], "image_id": "BloodImage_00004", "id": 40}, {"area": 8740, "iscrowd": 0, "bbox": [74, 280, 92, 95], "category_id": 2, "ignore": 0, "segmentation": [], "image_id": "BloodImage_00004", "id": 41}, {"area": 6820, "iscrowd": 0, "bbox": [37, 0, 110, 62], "category_id": 2, "ignore": 0, "segmentation": [], "image_id": "BloodImage_00004", "id": 42}, {"area": 10197, "iscrowd": 0, "bbox": [287, 32, 103, 99], "category_id": 2, "ignore": 0, "segmentation": [], "image_id": "BloodImage_00004", "id": 43}, {"area": 14040, "iscrowd": 0, "bbox": [410, 65, 117, 120], "category_id": 2, "ignore": 0, "segmentation": [], "image_id": "BloodImage_00004", "id": 44}, {"area": 11934, "iscrowd": 0, "bbox": [0, 81, 102, 117], "category_id": 2, "ignore": 0, "segmentation": [], "image_id": "BloodImage_00004", "id": 45}, {"area": 7290, "iscrowd": 0, "bbox": [0, 282, 81, 90], "category_id": 2, "ignore": 0, "segmentation": [], "image_id": "BloodImage_00004", "id": 46}, {"area": 6474, "iscrowd": 0, "bbox": [0, 314, 78, 83], "category_id": 2, "ignore": 0, "segmentation": [], "image_id": "BloodImage_00004", "id": 47}, {"area": 6557, "iscrowd": 0, "bbox": [390, 372, 79, 83], "category_id": 2, "ignore": 0, "segmentation": [], "image_id": "BloodImage_00004", "id": 48}, {"area": 1295, "iscrowd": 0, "bbox": [126, 46, 37, 35], "category_id": 3, "ignore": 0, "segmentation": [], "image_id": "BloodImage_00004", "id": 49}, {"area": 12312, "iscrowd": 0, "bbox": [272, 114, 114, 108], "category_id": 2, "ignore": 0, "segmentation": [], "image_id": "BloodImage_00005", "id": 50}, {"area": 12312, "iscrowd": 0, "bbox": [55, 102, 114, 108], "category_id": 2, "ignore": 0, "segmentation": [], "image_id": "BloodImage_00005", "id": 51}, {"area": 13545, "iscrowd": 0, "bbox": [413, 41, 105, 129], "category_id": 2, "ignore": 0, "segmentation": [], "image_id": "BloodImage_00005", "id": 52}, {"area": 13545, "iscrowd": 0, "bbox": [535, 73, 105, 129], "category_id": 2, "ignore": 0, "segmentation": [], "image_id": "BloodImage_00005", "id": 53}, {"area": 13545, "iscrowd": 0, "bbox": [473, 192, 105, 129], "category_id": 2, "ignore": 0, "segmentation": [], "image_id": "BloodImage_00005", "id": 54}, {"area": 13545, "iscrowd": 0, "bbox": [465, 336, 105, 129], "category_id": 2, "ignore": 0, "segmentation": [], "image_id": "BloodImage_00005", "id": 55}, {"area": 13545, "iscrowd": 0, "bbox": [419, 351, 105, 129], "category_id": 2, "ignore": 0, "segmentation": [], "image_id": "BloodImage_00005", "id": 56}, {"area": 10800, "iscrowd": 0, "bbox": [214, 173, 100, 108], "category_id": 2, "ignore": 0, "segmentation": [], "image_id": "BloodImage_00005", "id": 57}, {"area": 10800, "iscrowd": 0, "bbox": [379, 180, 100, 108], "category_id": 2, "ignore": 0, "segmentation": [], "image_id": "BloodImage_00005", "id": 58}, {"area": 10692, "iscrowd": 0, "bbox": [0, 63, 99, 108], "category_id": 2, "ignore": 0, "segmentation": [], "image_id": "BloodImage_00005", "id": 59}, {"area": 10527, "iscrowd": 0, "bbox": [323, 0, 121, 87], "category_id": 2, "ignore": 0, "segmentation": [], "image_id": "BloodImage_00005", "id": 60}, {"area": 9030, "iscrowd": 0, "bbox": [161, 0, 129, 70], "category_id": 2, "ignore": 0, "segmentation": [], "image_id": "BloodImage_00005", "id": 61}, {"area": 9328, "iscrowd": 0, "bbox": [172, 164, 88, 106], "category_id": 2, "ignore": 0, "segmentation": [], "image_id": "BloodImage_00005", "id": 62}, {"area": 9328, "iscrowd": 0, "bbox": [138, 190, 88, 106], "category_id": 2, "ignore": 0, "segmentation": [], "image_id": "BloodImage_00005", "id": 63}, {"area": 9328, "iscrowd": 0, "bbox": [102, 210, 88, 106], "category_id": 2, "ignore": 0, "segmentation": [], "image_id": "BloodImage_00005", "id": 64}, {"area": 9328, "iscrowd": 0, "bbox": [28, 230, 88, 106], "category_id": 2, "ignore": 0, "segmentation": [], "image_id": "BloodImage_00005", "id": 65}, {"area": 1368, "iscrowd": 0, "bbox": [169, 64, 38, 36], "category_id": 3, "ignore": 0, "segmentation": [], "image_id": "BloodImage_00005", "id": 66}, {"area": 1368, "iscrowd": 0, "bbox": [5, 400, 38, 36], "category_id": 3, "ignore": 0, "segmentation": [], "image_id": "BloodImage_00005", "id": 67}, {"area": 1368, "iscrowd": 0, "bbox": [123, 304, 38, 36], "category_id": 3, "ignore": 0, "segmentation": [], "image_id": "BloodImage_00005", "id": 68}, {"area": 40916, "iscrowd": 0, "bbox": [229, 287, 212, 193], "category_id": 1, "ignore": 0, "segmentation": [], "image_id": "BloodImage_00005", "id": 69}, {"area": 10836, "iscrowd": 0, "bbox": [150, 297, 86, 126], "category_id": 2, "ignore": 0, "segmentation": [], "image_id": "BloodImage_00005", "id": 70}, {"area": 8848, "iscrowd": 0, "bbox": [62, 18, 112, 79], "category_id": 2, "ignore": 0, "segmentation": [], "image_id": "BloodImage_00005", "id": 71}, {"area": 29754, "iscrowd": 0, "bbox": [116, 189, 174, 171], "category_id": 1, "ignore": 0, "segmentation": [], "image_id": "BloodImage_00006", "id": 72}, {"area": 1634, "iscrowd": 0, "bbox": [88, 183, 43, 38], "category_id": 3, "ignore": 0, "segmentation": [], "image_id": "BloodImage_00006", "id": 73}, {"area": 1634, "iscrowd": 0, "bbox": [64, 202, 43, 38], "category_id": 3, "ignore": 0, "segmentation": [], "image_id": "BloodImage_00006", "id": 74}, {"area": 1200, "iscrowd": 0, "bbox": [332, 0, 40, 30], "category_id": 3, "ignore": 0, "segmentation": [], "image_id": "BloodImage_00006", "id": 75}, {"area": 12772, "iscrowd": 0, "bbox": [78, 356, 124, 103], "category_id": 2, "ignore": 0, "segmentation": [], "image_id": "BloodImage_00006", "id": 76}, {"area": 14364, "iscrowd": 0, "bbox": [494, 0, 126, 114], "category_id": 2, "ignore": 0, "segmentation": [], "image_id": "BloodImage_00006", "id": 77}, {"area": 16988, "iscrowd": 0, "bbox": [352, 326, 124, 137], "category_id": 2, "ignore": 0, "segmentation": [], "image_id": "BloodImage_00006", "id": 78}, {"area": 8775, "iscrowd": 0, "bbox": [448, 318, 117, 75], "category_id": 2, "ignore": 0, "segmentation": [], "image_id": "BloodImage_00006", "id": 79}, {"area": 10283, "iscrowd": 0, "bbox": [290, 103, 113, 91], "category_id": 2, "ignore": 0, "segmentation": [], "image_id": "BloodImage_00006", "id": 80}, {"area": 10283, "iscrowd": 0, "bbox": [210, 75, 113, 91], "category_id": 2, "ignore": 0, "segmentation": [], "image_id": "BloodImage_00006", "id": 81}, {"area": 10283, "iscrowd": 0, "bbox": [206, 349, 113, 91], "category_id": 2, "ignore": 0, "segmentation": [], "image_id": "BloodImage_00006", "id": 82}, {"area": 12614, "iscrowd": 0, "bbox": [252, 297, 119, 106], "category_id": 2, "ignore": 0, "segmentation": [], "image_id": "BloodImage_00006", "id": 83}, {"area": 10622, "iscrowd": 0, "bbox": [545, 367, 94, 113], "category_id": 2, "ignore": 0, "segmentation": [], "image_id": "BloodImage_00006", "id": 84}, {"area": 14280, "iscrowd": 0, "bbox": [481, 222, 136, 105], "category_id": 2, "ignore": 0, "segmentation": [], "image_id": "BloodImage_00006", "id": 85}, {"area": 10179, "iscrowd": 0, "bbox": [502, 159, 117, 87], "category_id": 2, "ignore": 0, "segmentation": [], "image_id": "BloodImage_00006", "id": 86}, {"area": 10998, "iscrowd": 0, "bbox": [372, 141, 117, 94], "category_id": 2, "ignore": 0, "segmentation": [], "image_id": "BloodImage_00006", "id": 87}, {"area": 12288, "iscrowd": 0, "bbox": [107, 120, 128, 96], "category_id": 2, "ignore": 0, "segmentation": [], "image_id": "BloodImage_00006", "id": 88}, {"area": 12288, "iscrowd": 0, "bbox": [15, 58, 128, 96], "category_id": 2, "ignore": 0, "segmentation": [], "image_id": "BloodImage_00006", "id": 89}, {"area": 46964, "iscrowd": 0, "bbox": [41, 182, 236, 199], "category_id": 1, "ignore": 0, "segmentation": [], "image_id": "BloodImage_00008", "id": 90}, {"area": 13298, "iscrowd": 0, "bbox": [397, 221, 122, 109], "category_id": 2, "ignore": 0, "segmentation": [], "image_id": "BloodImage_00008", "id": 91}, {"area": 13298, "iscrowd": 0, "bbox": [504, 102, 122, 109], "category_id": 2, "ignore": 0, "segmentation": [], "image_id": "BloodImage_00008", "id": 92}, {"area": 10593, "iscrowd": 0, "bbox": [365, 314, 107, 99], "category_id": 2, "ignore": 0, "segmentation": [], "image_id": "BloodImage_00008", "id": 93}, {"area": 10593, "iscrowd": 0, "bbox": [455, 311, 107, 99], "category_id": 2, "ignore": 0, "segmentation": [], "image_id": "BloodImage_00008", "id": 94}, {"area": 10593, "iscrowd": 0, "bbox": [523, 249, 107, 99], "category_id": 2, "ignore": 0, "segmentation": [], "image_id": "BloodImage_00008", "id": 95}, {"area": 10593, "iscrowd": 0, "bbox": [533, 334, 107, 99], "category_id": 2, "ignore": 0, "segmentation": [], "image_id": "BloodImage_00008", "id": 96}, {"area": 10593, "iscrowd": 0, "bbox": [352, 42, 107, 99], "category_id": 2, "ignore": 0, "segmentation": [], "image_id": "BloodImage_00008", "id": 97}, {"area": 10593, "iscrowd": 0, "bbox": [315, 42, 107, 99], "category_id": 2, "ignore": 0, "segmentation": [], "image_id": "BloodImage_00008", "id": 98}, {"area": 10593, "iscrowd": 0, "bbox": [264, 24, 107, 99], "category_id": 2, "ignore": 0, "segmentation": [], "image_id": "BloodImage_00008", "id": 99}, {"area": 10593, "iscrowd": 0, "bbox": [220, 17, 107, 99], "category_id": 2, "ignore": 0, "segmentation": [], "image_id": "BloodImage_00008", "id": 100}, {"area": 9605, "iscrowd": 0, "bbox": [108, 0, 113, 85], "category_id": 2, "ignore": 0, "segmentation": [], "image_id": "BloodImage_00008", "id": 101}, {"area": 12864, "iscrowd": 0, "bbox": [0, 165, 96, 134], "category_id": 2, "ignore": 0, "segmentation": [], "image_id": "BloodImage_00008", "id": 102}, {"area": 8137, "iscrowd": 0, "bbox": [262, 401, 103, 79], "category_id": 2, "ignore": 0, "segmentation": [], "image_id": "BloodImage_00008", "id": 103}, {"area": 8137, "iscrowd": 0, "bbox": [177, 401, 103, 79], "category_id": 2, "ignore": 0, "segmentation": [], "image_id": "BloodImage_00008", "id": 104}, {"area": 7854, "iscrowd": 0, "bbox": [0, 0, 102, 77], "category_id": 2, "ignore": 0, "segmentation": [], "image_id": "BloodImage_00008", "id": 105}, {"area": 9558, "iscrowd": 0, "bbox": [195, 134, 118, 81], "category_id": 2, "ignore": 0, "segmentation": [], "image_id": "BloodImage_00008", "id": 106}, {"area": 14329, "iscrowd": 0, "bbox": [446, 391, 161, 89], "category_id": 2, "ignore": 0, "segmentation": [], "image_id": "BloodImage_00008", "id": 107}, {"area": 9657, "iscrowd": 0, "bbox": [147, 61, 87, 111], "category_id": 2, "ignore": 0, "segmentation": [], "image_id": "BloodImage_00008", "id": 108}, {"area": 10795, "iscrowd": 0, "bbox": [437, 0, 127, 85], "category_id": 2, "ignore": 0, "segmentation": [], "image_id": "BloodImage_00008", "id": 109}, {"area": 66871, "iscrowd": 0, "bbox": [22, 136, 233, 287], "category_id": 1, "ignore": 0, "segmentation": [], "image_id": "BloodImage_00009", "id": 110}, {"area": 13500, "iscrowd": 0, "bbox": [440, 323, 135, 100], "category_id": 2, "ignore": 0, "segmentation": [], "image_id": "BloodImage_00009", "id": 111}, {"area": 8536, "iscrowd": 0, "bbox": [371, 191, 97, 88], "category_id": 2, "ignore": 0, "segmentation": [], "image_id": "BloodImage_00009", "id": 112}, {"area": 8536, "iscrowd": 0, "bbox": [304, 212, 97, 88], "category_id": 2, "ignore": 0, "segmentation": [], "image_id": "BloodImage_00009", "id": 113}, {"area": 15048, "iscrowd": 0, "bbox": [225, 287, 99, 152], "category_id": 2, "ignore": 0, "segmentation": [], "image_id": "BloodImage_00009", "id": 114}, {"area": 9312, "iscrowd": 0, "bbox": [312, 317, 96, 97], "category_id": 2, "ignore": 0, "segmentation": [], "image_id": "BloodImage_00009", "id": 115}, {"area": 9312, "iscrowd": 0, "bbox": [281, 383, 96, 97], "category_id": 2, "ignore": 0, "segmentation": [], "image_id": "BloodImage_00009", "id": 116}, {"area": 13420, "iscrowd": 0, "bbox": [445, 96, 122, 110], "category_id": 2, "ignore": 0, "segmentation": [], "image_id": "BloodImage_00009", "id": 117}, {"area": 11712, "iscrowd": 0, "bbox": [439, 0, 122, 96], "category_id": 2, "ignore": 0, "segmentation": [], "image_id": "BloodImage_00009", "id": 118}, {"area": 10856, "iscrowd": 0, "bbox": [213, 106, 118, 92], "category_id": 2, "ignore": 0, "segmentation": [], "image_id": "BloodImage_00009", "id": 119}, {"area": 17526, "iscrowd": 0, "bbox": [297, 84, 138, 127], "category_id": 2, "ignore": 0, "segmentation": [], "image_id": "BloodImage_00009", "id": 120}, {"area": 15494, "iscrowd": 0, "bbox": [6, 75, 127, 122], "category_id": 2, "ignore": 0, "segmentation": [], "image_id": "BloodImage_00009", "id": 121}, {"area": 10810, "iscrowd": 0, "bbox": [0, 0, 115, 94], "category_id": 2, "ignore": 0, "segmentation": [], "image_id": "BloodImage_00009", "id": 122}, {"area": 7085, "iscrowd": 0, "bbox": [285, 0, 109, 65], "category_id": 2, "ignore": 0, "segmentation": [], "image_id": "BloodImage_00009", "id": 123}, {"area": 15640, "iscrowd": 0, "bbox": [153, 12, 136, 115], "category_id": 2, "ignore": 0, "segmentation": [], "image_id": "BloodImage_00009", "id": 124}, {"area": 1470, "iscrowd": 0, "bbox": [451, 414, 42, 35], "category_id": 3, "ignore": 0, "segmentation": [], "image_id": "BloodImage_00009", "id": 125}, {"area": 8536, "iscrowd": 0, "bbox": [478, 154, 97, 88], "category_id": 2, "ignore": 0, "segmentation": [], "image_id": "BloodImage_00009", "id": 126}, {"area": 8536, "iscrowd": 0, "bbox": [134, 392, 97, 88], "category_id": 2, "ignore": 0, "segmentation": [], "image_id": "BloodImage_00009", "id": 127}, {"area": 35126, "iscrowd": 0, "bbox": [22, 228, 182, 193], "category_id": 1, "ignore": 0, "segmentation": [], "image_id": "BloodImage_00010", "id": 128}, {"area": 59296, "iscrowd": 0, "bbox": [238, 252, 272, 218], "category_id": 1, "ignore": 0, "segmentation": [], "image_id": "BloodImage_00010", "id": 129}, {"area": 12360, "iscrowd": 0, "bbox": [166, 211, 103, 120], "category_id": 2, "ignore": 0, "segmentation": [], "image_id": "BloodImage_00010", "id": 130}, {"area": 10812, "iscrowd": 0, "bbox": [68, 137, 102, 106], "category_id": 2, "ignore": 0, "segmentation": [], "image_id": "BloodImage_00010", "id": 131}, {"area": 7392, "iscrowd": 0, "bbox": [42, 83, 84, 88], "category_id": 2, "ignore": 0, "segmentation": [], "image_id": "BloodImage_00010", "id": 132}, {"area": 7392, "iscrowd": 0, "bbox": [274, 165, 84, 88], "category_id": 2, "ignore": 0, "segmentation": [], "image_id": "BloodImage_00010", "id": 133}, {"area": 7392, "iscrowd": 0, "bbox": [310, 178, 84, 88], "category_id": 2, "ignore": 0, "segmentation": [], "image_id": "BloodImage_00010", "id": 134}, {"area": 7392, "iscrowd": 0, "bbox": [266, 68, 84, 88], "category_id": 2, "ignore": 0, "segmentation": [], "image_id": "BloodImage_00010", "id": 135}, {"area": 7392, "iscrowd": 0, "bbox": [306, 74, 84, 88], "category_id": 2, "ignore": 0, "segmentation": [], "image_id": "BloodImage_00010", "id": 136}, {"area": 7392, "iscrowd": 0, "bbox": [338, 79, 84, 88], "category_id": 2, "ignore": 0, "segmentation": [], "image_id": "BloodImage_00010", "id": 137}, {"area": 6460, "iscrowd": 0, "bbox": [455, 0, 95, 68], "category_id": 2, "ignore": 0, "segmentation": [], "image_id": "BloodImage_00010", "id": 138}, {"area": 8004, "iscrowd": 0, "bbox": [313, 0, 116, 69], "category_id": 2, "ignore": 0, "segmentation": [], "image_id": "BloodImage_00010", "id": 139}, {"area": 4773, "iscrowd": 0, "bbox": [199, 0, 111, 43], "category_id": 2, "ignore": 0, "segmentation": [], "image_id": "BloodImage_00010", "id": 140}, {"area": 6715, "iscrowd": 0, "bbox": [15, 0, 85, 79], "category_id": 2, "ignore": 0, "segmentation": [], "image_id": "BloodImage_00010", "id": 141}, {"area": 14098, "iscrowd": 0, "bbox": [405, 79, 133, 106], "category_id": 2, "ignore": 0, "segmentation": [], "image_id": "BloodImage_00010", "id": 142}, {"area": 8910, "iscrowd": 0, "bbox": [559, 235, 81, 110], "category_id": 2, "ignore": 0, "segmentation": [], "image_id": "BloodImage_00010", "id": 143}, {"area": 6090, "iscrowd": 0, "bbox": [570, 173, 70, 87], "category_id": 2, "ignore": 0, "segmentation": [], "image_id": "BloodImage_00010", "id": 144}, {"area": 6375, "iscrowd": 0, "bbox": [565, 75, 75, 85], "category_id": 2, "ignore": 0, "segmentation": [], "image_id": "BloodImage_00010", "id": 145}, {"area": 39271, "iscrowd": 0, "bbox": [1, 186, 227, 173], "category_id": 1, "ignore": 0, "segmentation": [], "image_id": "BloodImage_00012", "id": 146}, {"area": 12065, "iscrowd": 0, "bbox": [348, 145, 127, 95], "category_id": 2, "ignore": 0, "segmentation": [], "image_id": "BloodImage_00012", "id": 147}, {"area": 11235, "iscrowd": 0, "bbox": [376, 209, 107, 105], "category_id": 2, "ignore": 0, "segmentation": [], "image_id": "BloodImage_00012", "id": 148}, {"area": 11235, "iscrowd": 0, "bbox": [400, 298, 107, 105], "category_id": 2, "ignore": 0, "segmentation": [], "image_id": "BloodImage_00012", "id": 149}, {"area": 9737, "iscrowd": 0, "bbox": [295, 280, 91, 107], "category_id": 2, "ignore": 0, "segmentation": [], "image_id": "BloodImage_00012", "id": 150}, {"area": 12126, "iscrowd": 0, "bbox": [250, 310, 94, 129], "category_id": 2, "ignore": 0, "segmentation": [], "image_id": "BloodImage_00012", "id": 151}, {"area": 9603, "iscrowd": 0, "bbox": [167, 303, 97, 99], "category_id": 2, "ignore": 0, "segmentation": [], "image_id": "BloodImage_00012", "id": 152}, {"area": 11200, "iscrowd": 0, "bbox": [13, 334, 112, 100], "category_id": 2, "ignore": 0, "segmentation": [], "image_id": "BloodImage_00012", "id": 153}, {"area": 10962, "iscrowd": 0, "bbox": [125, 392, 126, 87], "category_id": 2, "ignore": 0, "segmentation": [], "image_id": "BloodImage_00012", "id": 154}, {"area": 8568, "iscrowd": 0, "bbox": [328, 375, 84, 102], "category_id": 2, "ignore": 0, "segmentation": [], "image_id": "BloodImage_00012", "id": 155}, {"area": 10400, "iscrowd": 0, "bbox": [518, 355, 104, 100], "category_id": 2, "ignore": 0, "segmentation": [], "image_id": "BloodImage_00012", "id": 156}, {"area": 10400, "iscrowd": 0, "bbox": [475, 256, 104, 100], "category_id": 2, "ignore": 0, "segmentation": [], "image_id": "BloodImage_00012", "id": 157}, {"area": 10400, "iscrowd": 0, "bbox": [488, 192, 104, 100], "category_id": 2, "ignore": 0, "segmentation": [], "image_id": "BloodImage_00012", "id": 158}, {"area": 7469, "iscrowd": 0, "bbox": [563, 231, 77, 97], "category_id": 2, "ignore": 0, "segmentation": [], "image_id": "BloodImage_00012", "id": 159}, {"area": 1786, "iscrowd": 0, "bbox": [416, 402, 47, 38], "category_id": 3, "ignore": 0, "segmentation": [], "image_id": "BloodImage_00012", "id": 160}, {"area": 1786, "iscrowd": 0, "bbox": [350, 43, 47, 38], "category_id": 3, "ignore": 0, "segmentation": [], "image_id": "BloodImage_00012", "id": 161}, {"area": 7392, "iscrowd": 0, "bbox": [219, 19, 84, 88], "category_id": 2, "ignore": 0, "segmentation": [], "image_id": "BloodImage_00012", "id": 162}, {"area": 13653, "iscrowd": 0, "bbox": [494, 81, 111, 123], "category_id": 2, "ignore": 0, "segmentation": [], "image_id": "BloodImage_00012", "id": 163}, {"area": 4150, "iscrowd": 0, "bbox": [298, 430, 83, 50], "category_id": 2, "ignore": 0, "segmentation": [], "image_id": "BloodImage_00012", "id": 164}, {"area": 41392, "iscrowd": 0, "bbox": [30, 207, 208, 199], "category_id": 1, "ignore": 0, "segmentation": [], "image_id": "BloodImage_00013", "id": 165}, {"area": 12870, "iscrowd": 0, "bbox": [254, 282, 117, 110], "category_id": 2, "ignore": 0, "segmentation": [], "image_id": "BloodImage_00013", "id": 166}, {"area": 15029, "iscrowd": 0, "bbox": [404, 287, 113, 133], "category_id": 2, "ignore": 0, "segmentation": [], "image_id": "BloodImage_00013", "id": 167}, {"area": 17346, "iscrowd": 0, "bbox": [368, 76, 118, 147], "category_id": 2, "ignore": 0, "segmentation": [], "image_id": "BloodImage_00013", "id": 168}, {"area": 10212, "iscrowd": 0, "bbox": [89, 97, 111, 92], "category_id": 2, "ignore": 0, "segmentation": [], "image_id": "BloodImage_00013", "id": 169}, {"area": 10212, "iscrowd": 0, "bbox": [202, 364, 111, 92], "category_id": 2, "ignore": 0, "segmentation": [], "image_id": "BloodImage_00013", "id": 170}, {"area": 9350, "iscrowd": 0, "bbox": [317, 395, 110, 85], "category_id": 2, "ignore": 0, "segmentation": [], "image_id": "BloodImage_00013", "id": 171}, {"area": 8052, "iscrowd": 0, "bbox": [573, 159, 66, 122], "category_id": 2, "ignore": 0, "segmentation": [], "image_id": "BloodImage_00013", "id": 172}, {"area": 11682, "iscrowd": 0, "bbox": [465, 56, 99, 118], "category_id": 2, "ignore": 0, "segmentation": [], "image_id": "BloodImage_00013", "id": 173}, {"area": 8924, "iscrowd": 0, "bbox": [546, 47, 92, 97], "category_id": 2, "ignore": 0, "segmentation": [], "image_id": "BloodImage_00013", "id": 174}, {"area": 11200, "iscrowd": 0, "bbox": [499, 213, 100, 112], "category_id": 2, "ignore": 0, "segmentation": [], "image_id": "BloodImage_00013", "id": 175}, {"area": 12412, "iscrowd": 0, "bbox": [183, 11, 116, 107], "category_id": 2, "ignore": 0, "segmentation": [], "image_id": "BloodImage_00013", "id": 176}, {"area": 12412, "iscrowd": 0, "bbox": [104, 33, 116, 107], "category_id": 2, "ignore": 0, "segmentation": [], "image_id": "BloodImage_00013", "id": 177}, {"area": 7777, "iscrowd": 0, "bbox": [454, 403, 101, 77], "category_id": 2, "ignore": 0, "segmentation": [], "image_id": "BloodImage_00013", "id": 178}, {"area": 7777, "iscrowd": 0, "bbox": [323, 401, 101, 77], "category_id": 2, "ignore": 0, "segmentation": [], "image_id": "BloodImage_00013", "id": 179}, {"area": 2880, "iscrowd": 0, "bbox": [418, 188, 60, 48], "category_id": 3, "ignore": 0, "segmentation": [], "image_id": "BloodImage_00020", "id": 180}, {"area": 10416, "iscrowd": 0, "bbox": [351, 363, 124, 84], "category_id": 1, "ignore": 0, "segmentation": [], "image_id": "BloodImage_00020", "id": 181}, {"area": 11664, "iscrowd": 0, "bbox": [225, 98, 108, 108], "category_id": 2, "ignore": 0, "segmentation": [], "image_id": "BloodImage_00020", "id": 182}, {"area": 11664, "iscrowd": 0, "bbox": [403, 24, 108, 108], "category_id": 2, "ignore": 0, "segmentation": [], "image_id": "BloodImage_00020", "id": 183}, {"area": 11664, "iscrowd": 0, "bbox": [510, 37, 108, 108], "category_id": 2, "ignore": 0, "segmentation": [], "image_id": "BloodImage_00020", "id": 184}, {"area": 11664, "iscrowd": 0, "bbox": [456, 205, 108, 108], "category_id": 2, "ignore": 0, "segmentation": [], "image_id": "BloodImage_00020", "id": 185}, {"area": 11664, "iscrowd": 0, "bbox": [477, 369, 108, 108], "category_id": 2, "ignore": 0, "segmentation": [], "image_id": "BloodImage_00020", "id": 186}, {"area": 11664, "iscrowd": 0, "bbox": [286, 237, 108, 108], "category_id": 2, "ignore": 0, "segmentation": [], "image_id": "BloodImage_00020", "id": 187}, {"area": 1120, "iscrowd": 0, "bbox": [371, 342, 35, 32], "category_id": 3, "ignore": 0, "segmentation": [], "image_id": "BloodImage_00020", "id": 188}, {"area": 11664, "iscrowd": 0, "bbox": [39, 276, 108, 108], "category_id": 2, "ignore": 0, "segmentation": [], "image_id": "BloodImage_00020", "id": 189}, {"area": 8137, "iscrowd": 0, "bbox": [0, 276, 79, 103], "category_id": 2, "ignore": 0, "segmentation": [], "image_id": "BloodImage_00020", "id": 190}, {"area": 11664, "iscrowd": 0, "bbox": [79, 165, 108, 108], "category_id": 2, "ignore": 0, "segmentation": [], "image_id": "BloodImage_00020", "id": 191}, {"area": 11664, "iscrowd": 0, "bbox": [142, 244, 108, 108], "category_id": 2, "ignore": 0, "segmentation": [], "image_id": "BloodImage_00020", "id": 192}, {"area": 11664, "iscrowd": 0, "bbox": [143, 365, 108, 108], "category_id": 2, "ignore": 0, "segmentation": [], "image_id": "BloodImage_00020", "id": 193}, {"area": 11664, "iscrowd": 0, "bbox": [141, 363, 108, 108], "category_id": 2, "ignore": 0, "segmentation": [], "image_id": "BloodImage_00020", "id": 194}, {"area": 11664, "iscrowd": 0, "bbox": [108, 40, 108, 108], "category_id": 2, "ignore": 0, "segmentation": [], "image_id": "BloodImage_00020", "id": 195}, {"area": 11664, "iscrowd": 0, "bbox": [459, 58, 108, 108], "category_id": 2, "ignore": 0, "segmentation": [], "image_id": "BloodImage_00020", "id": 196}, {"area": 7242, "iscrowd": 0, "bbox": [569, 255, 71, 102], "category_id": 2, "ignore": 0, "segmentation": [], "image_id": "BloodImage_00020", "id": 197}, {"area": 10682, "iscrowd": 0, "bbox": [60, 382, 109, 98], "category_id": 2, "ignore": 0, "segmentation": [], "image_id": "BloodImage_00020", "id": 198}, {"area": 11448, "iscrowd": 0, "bbox": [0, 127, 106, 108], "category_id": 2, "ignore": 0, "segmentation": [], "image_id": "BloodImage_00020", "id": 199}, {"area": 10450, "iscrowd": 0, "bbox": [39, 0, 110, 95], "category_id": 2, "ignore": 0, "segmentation": [], "image_id": "BloodImage_00020", "id": 200}, {"area": 10450, "iscrowd": 0, "bbox": [164, 0, 110, 95], "category_id": 2, "ignore": 0, "segmentation": [], "image_id": "BloodImage_00020", "id": 201}, {"area": 1224, "iscrowd": 0, "bbox": [79, 127, 36, 34], "category_id": 3, "ignore": 0, "segmentation": [], "image_id": "BloodImage_00020", "id": 202}, {"area": 31146, "iscrowd": 0, "bbox": [107, 193, 174, 179], "category_id": 1, "ignore": 0, "segmentation": [], "image_id": "BloodImage_00022", "id": 203}, {"area": 1280, "iscrowd": 0, "bbox": [98, 328, 40, 32], "category_id": 3, "ignore": 0, "segmentation": [], "image_id": "BloodImage_00022", "id": 204}, {"area": 1200, "iscrowd": 0, "bbox": [148, 0, 40, 30], "category_id": 3, "ignore": 0, "segmentation": [], "image_id": "BloodImage_00022", "id": 205}, {"area": 1280, "iscrowd": 0, "bbox": [393, 198, 40, 32], "category_id": 3, "ignore": 0, "segmentation": [], "image_id": "BloodImage_00022", "id": 206}, {"area": 10602, "iscrowd": 0, "bbox": [16, 162, 114, 93], "category_id": 2, "ignore": 0, "segmentation": [], "image_id": "BloodImage_00022", "id": 207}, {"area": 10509, "iscrowd": 0, "bbox": [0, 196, 113, 93], "category_id": 2, "ignore": 0, "segmentation": [], "image_id": "BloodImage_00022", "id": 208}, {"area": 9672, "iscrowd": 0, "bbox": [288, 141, 104, 93], "category_id": 2, "ignore": 0, "segmentation": [], "image_id": "BloodImage_00022", "id": 209}, {"area": 9672, "iscrowd": 0, "bbox": [339, 80, 104, 93], "category_id": 2, "ignore": 0, "segmentation": [], "image_id": "BloodImage_00022", "id": 210}, {"area": 12390, "iscrowd": 0, "bbox": [274, 21, 118, 105], "category_id": 2, "ignore": 0, "segmentation": [], "image_id": "BloodImage_00022", "id": 211}, {"area": 14595, "iscrowd": 0, "bbox": [440, 58, 139, 105], "category_id": 2, "ignore": 0, "segmentation": [], "image_id": "BloodImage_00022", "id": 212}, {"area": 13189, "iscrowd": 0, "bbox": [470, 142, 109, 121], "category_id": 2, "ignore": 0, "segmentation": [], "image_id": "BloodImage_00022", "id": 213}, {"area": 10126, "iscrowd": 0, "bbox": [556, 358, 83, 122], "category_id": 2, "ignore": 0, "segmentation": [], "image_id": "BloodImage_00022", "id": 214}, {"area": 14231, "iscrowd": 0, "bbox": [405, 373, 133, 107], "category_id": 2, "ignore": 0, "segmentation": [], "image_id": "BloodImage_00022", "id": 215}, {"area": 10856, "iscrowd": 0, "bbox": [271, 388, 118, 92], "category_id": 2, "ignore": 0, "segmentation": [], "image_id": "BloodImage_00022", "id": 216}, {"area": 10605, "iscrowd": 0, "bbox": [377, 248, 105, 101], "category_id": 2, "ignore": 0, "segmentation": [], "image_id": "BloodImage_00022", "id": 217}, {"area": 11696, "iscrowd": 0, "bbox": [14, 11, 86, 136], "category_id": 2, "ignore": 0, "segmentation": [], "image_id": "BloodImage_00022", "id": 218}, {"area": 31832, "iscrowd": 0, "bbox": [97, 33, 184, 173], "category_id": 1, "ignore": 0, "segmentation": [], "image_id": "BloodImage_00023", "id": 219}, {"area": 13431, "iscrowd": 0, "bbox": [276, 112, 111, 121], "category_id": 2, "ignore": 0, "segmentation": [], "image_id": "BloodImage_00023", "id": 220}, {"area": 13431, "iscrowd": 0, "bbox": [387, 81, 111, 121], "category_id": 2, "ignore": 0, "segmentation": [], "image_id": "BloodImage_00023", "id": 221}, {"area": 13431, "iscrowd": 0, "bbox": [305, 242, 111, 121], "category_id": 2, "ignore": 0, "segmentation": [], "image_id": "BloodImage_00023", "id": 222}, {"area": 12084, "iscrowd": 0, "bbox": [185, 267, 106, 114], "category_id": 2, "ignore": 0, "segmentation": [], "image_id": "BloodImage_00023", "id": 223}, {"area": 14976, "iscrowd": 0, "bbox": [295, 363, 128, 117], "category_id": 2, "ignore": 0, "segmentation": [], "image_id": "BloodImage_00023", "id": 224}, {"area": 14976, "iscrowd": 0, "bbox": [510, 146, 128, 117], "category_id": 2, "ignore": 0, "segmentation": [], "image_id": "BloodImage_00023", "id": 225}, {"area": 7571, "iscrowd": 0, "bbox": [61, 413, 113, 67], "category_id": 2, "ignore": 0, "segmentation": [], "image_id": "BloodImage_00023", "id": 226}, {"area": 7980, "iscrowd": 0, "bbox": [36, 0, 105, 76], "category_id": 2, "ignore": 0, "segmentation": [], "image_id": "BloodImage_00023", "id": 227}, {"area": 8544, "iscrowd": 0, "bbox": [28, 151, 89, 96], "category_id": 2, "ignore": 0, "segmentation": [], "image_id": "BloodImage_00023", "id": 228}, {"area": 7474, "iscrowd": 0, "bbox": [493, 0, 101, 74], "category_id": 2, "ignore": 0, "segmentation": [], "image_id": "BloodImage_00023", "id": 229}, {"area": 5658, "iscrowd": 0, "bbox": [571, 263, 69, 82], "category_id": 2, "ignore": 0, "segmentation": [], "image_id": "BloodImage_00023", "id": 230}, {"area": 11700, "iscrowd": 0, "bbox": [523, 353, 117, 100], "category_id": 2, "ignore": 0, "segmentation": [], "image_id": "BloodImage_00023", "id": 231}, {"area": 10925, "iscrowd": 0, "bbox": [14, 219, 95, 115], "category_id": 2, "ignore": 0, "segmentation": [], "image_id": "BloodImage_00023", "id": 232}, {"area": 1960, "iscrowd": 0, "bbox": [131, 291, 40, 49], "category_id": 3, "ignore": 0, "segmentation": [], "image_id": "BloodImage_00023", "id": 233}, {"area": 13860, "iscrowd": 0, "bbox": [342, 0, 126, 110], "category_id": 2, "ignore": 0, "segmentation": [], "image_id": "BloodImage_00023", "id": 234}, {"area": 8051, "iscrowd": 0, "bbox": [208, 244, 97, 83], "category_id": 2, "ignore": 0, "segmentation": [], "image_id": "BloodImage_00023", "id": 235}, {"area": 8051, "iscrowd": 0, "bbox": [176, 218, 97, 83], "category_id": 2, "ignore": 0, "segmentation": [], "image_id": "BloodImage_00023", "id": 236}, {"area": 20736, "iscrowd": 0, "bbox": [309, 0, 162, 128], "category_id": 1, "ignore": 0, "segmentation": [], "image_id": "BloodImage_00024", "id": 237}, {"area": 12272, "iscrowd": 0, "bbox": [88, 88, 104, 118], "category_id": 2, "ignore": 0, "segmentation": [], "image_id": "BloodImage_00024", "id": 238}, {"area": 12272, "iscrowd": 0, "bbox": [264, 113, 104, 118], "category_id": 2, "ignore": 0, "segmentation": [], "image_id": "BloodImage_00024", "id": 239}, {"area": 13299, "iscrowd": 0, "bbox": [202, 175, 93, 143], "category_id": 2, "ignore": 0, "segmentation": [], "image_id": "BloodImage_00024", "id": 240}, {"area": 10752, "iscrowd": 0, "bbox": [108, 194, 96, 112], "category_id": 2, "ignore": 0, "segmentation": [], "image_id": "BloodImage_00024", "id": 241}, {"area": 10752, "iscrowd": 0, "bbox": [390, 116, 96, 112], "category_id": 2, "ignore": 0, "segmentation": [], "image_id": "BloodImage_00024", "id": 242}, {"area": 10752, "iscrowd": 0, "bbox": [375, 249, 96, 112], "category_id": 2, "ignore": 0, "segmentation": [], "image_id": "BloodImage_00024", "id": 243}, {"area": 12826, "iscrowd": 0, "bbox": [313, 356, 106, 121], "category_id": 2, "ignore": 0, "segmentation": [], "image_id": "BloodImage_00024", "id": 244}, {"area": 14160, "iscrowd": 0, "bbox": [24, 308, 118, 120], "category_id": 2, "ignore": 0, "segmentation": [], "image_id": "BloodImage_00024", "id": 245}, {"area": 10476, "iscrowd": 0, "bbox": [496, 0, 108, 97], "category_id": 2, "ignore": 0, "segmentation": [], "image_id": "BloodImage_00024", "id": 246}, {"area": 6615, "iscrowd": 0, "bbox": [577, 143, 63, 105], "category_id": 2, "ignore": 0, "segmentation": [], "image_id": "BloodImage_00024", "id": 247}, {"area": 9869, "iscrowd": 0, "bbox": [569, 251, 71, 139], "category_id": 2, "ignore": 0, "segmentation": [], "image_id": "BloodImage_00024", "id": 248}, {"area": 9785, "iscrowd": 0, "bbox": [493, 324, 95, 103], "category_id": 2, "ignore": 0, "segmentation": [], "image_id": "BloodImage_00024", "id": 249}, {"area": 14756, "iscrowd": 0, "bbox": [398, 333, 119, 124], "category_id": 2, "ignore": 0, "segmentation": [], "image_id": "BloodImage_00024", "id": 250}, {"area": 9435, "iscrowd": 0, "bbox": [18, 233, 85, 111], "category_id": 2, "ignore": 0, "segmentation": [], "image_id": "BloodImage_00024", "id": 251}, {"area": 12272, "iscrowd": 0, "bbox": [483, 195, 104, 118], "category_id": 2, "ignore": 0, "segmentation": [], "image_id": "BloodImage_00024", "id": 252}, {"area": 18156, "iscrowd": 0, "bbox": [386, 0, 178, 102], "category_id": 1, "ignore": 0, "segmentation": [], "image_id": "BloodImage_00026", "id": 253}, {"area": 12320, "iscrowd": 0, "bbox": [177, 1, 110, 112], "category_id": 2, "ignore": 0, "segmentation": [], "image_id": "BloodImage_00026", "id": 254}, {"area": 12320, "iscrowd": 0, "bbox": [113, 153, 110, 112], "category_id": 2, "ignore": 0, "segmentation": [], "image_id": "BloodImage_00026", "id": 255}, {"area": 12320, "iscrowd": 0, "bbox": [101, 59, 110, 112], "category_id": 2, "ignore": 0, "segmentation": [], "image_id": "BloodImage_00026", "id": 256}, {"area": 12320, "iscrowd": 0, "bbox": [41, 69, 110, 112], "category_id": 2, "ignore": 0, "segmentation": [], "image_id": "BloodImage_00026", "id": 257}, {"area": 10904, "iscrowd": 0, "bbox": [0, 111, 94, 116], "category_id": 2, "ignore": 0, "segmentation": [], "image_id": "BloodImage_00026", "id": 258}, {"area": 13104, "iscrowd": 0, "bbox": [1, 170, 112, 117], "category_id": 2, "ignore": 0, "segmentation": [], "image_id": "BloodImage_00026", "id": 259}, {"area": 13104, "iscrowd": 0, "bbox": [423, 269, 112, 117], "category_id": 2, "ignore": 0, "segmentation": [], "image_id": "BloodImage_00026", "id": 260}, {"area": 10890, "iscrowd": 0, "bbox": [172, 361, 110, 99], "category_id": 2, "ignore": 0, "segmentation": [], "image_id": "BloodImage_00026", "id": 261}, {"area": 10890, "iscrowd": 0, "bbox": [85, 357, 110, 99], "category_id": 2, "ignore": 0, "segmentation": [], "image_id": "BloodImage_00026", "id": 262}, {"area": 9310, "iscrowd": 0, "bbox": [252, 150, 98, 95], "category_id": 2, "ignore": 0, "segmentation": [], "image_id": "BloodImage_00026", "id": 263}, {"area": 11088, "iscrowd": 0, "bbox": [496, 195, 112, 99], "category_id": 2, "ignore": 0, "segmentation": [], "image_id": "BloodImage_00026", "id": 264}, {"area": 13310, "iscrowd": 0, "bbox": [316, 350, 110, 121], "category_id": 2, "ignore": 0, "segmentation": [], "image_id": "BloodImage_00026", "id": 265}, {"area": 14720, "iscrowd": 0, "bbox": [201, 279, 128, 115], "category_id": 2, "ignore": 0, "segmentation": [], "image_id": "BloodImage_00026", "id": 266}, {"area": 14720, "iscrowd": 0, "bbox": [294, 201, 128, 115], "category_id": 2, "ignore": 0, "segmentation": [], "image_id": "BloodImage_00026", "id": 267}, {"area": 16263, "iscrowd": 0, "bbox": [435, 93, 139, 117], "category_id": 2, "ignore": 0, "segmentation": [], "image_id": "BloodImage_00026", "id": 268}, {"area": 13338, "iscrowd": 0, "bbox": [293, 77, 114, 117], "category_id": 2, "ignore": 0, "segmentation": [], "image_id": "BloodImage_00026", "id": 269}, {"area": 1476, "iscrowd": 0, "bbox": [145, 268, 41, 36], "category_id": 3, "ignore": 0, "segmentation": [], "image_id": "BloodImage_00026", "id": 270}, {"area": 1476, "iscrowd": 0, "bbox": [281, 424, 41, 36], "category_id": 3, "ignore": 0, "segmentation": [], "image_id": "BloodImage_00026", "id": 271}, {"area": 15616, "iscrowd": 0, "bbox": [157, 76, 128, 122], "category_id": 1, "ignore": 0, "segmentation": [], "image_id": "BloodImage_00032", "id": 272}, {"area": 11766, "iscrowd": 0, "bbox": [232, 273, 111, 106], "category_id": 2, "ignore": 0, "segmentation": [], "image_id": "BloodImage_00032", "id": 273}, {"area": 11766, "iscrowd": 0, "bbox": [287, 65, 111, 106], "category_id": 2, "ignore": 0, "segmentation": [], "image_id": "BloodImage_00032", "id": 274}, {"area": 8645, "iscrowd": 0, "bbox": [355, 250, 91, 95], "category_id": 2, "ignore": 0, "segmentation": [], "image_id": "BloodImage_00032", "id": 275}, {"area": 8645, "iscrowd": 0, "bbox": [454, 294, 91, 95], "category_id": 2, "ignore": 0, "segmentation": [], "image_id": "BloodImage_00032", "id": 276}, {"area": 8645, "iscrowd": 0, "bbox": [418, 311, 91, 95], "category_id": 2, "ignore": 0, "segmentation": [], "image_id": "BloodImage_00032", "id": 277}, {"area": 13860, "iscrowd": 0, "bbox": [331, 364, 126, 110], "category_id": 2, "ignore": 0, "segmentation": [], "image_id": "BloodImage_00032", "id": 278}, {"area": 8811, "iscrowd": 0, "bbox": [198, 220, 99, 89], "category_id": 2, "ignore": 0, "segmentation": [], "image_id": "BloodImage_00032", "id": 279}, {"area": 14950, "iscrowd": 0, "bbox": [85, 322, 130, 115], "category_id": 2, "ignore": 0, "segmentation": [], "image_id": "BloodImage_00032", "id": 280}, {"area": 10212, "iscrowd": 0, "bbox": [49, 0, 111, 92], "category_id": 2, "ignore": 0, "segmentation": [], "image_id": "BloodImage_00032", "id": 281}, {"area": 8100, "iscrowd": 0, "bbox": [173, 15, 100, 81], "category_id": 2, "ignore": 0, "segmentation": [], "image_id": "BloodImage_00032", "id": 282}, {"area": 9968, "iscrowd": 0, "bbox": [405, 0, 112, 89], "category_id": 2, "ignore": 0, "segmentation": [], "image_id": "BloodImage_00032", "id": 283}, {"area": 10080, "iscrowd": 0, "bbox": [516, 135, 112, 90], "category_id": 2, "ignore": 0, "segmentation": [], "image_id": "BloodImage_00032", "id": 284}, {"area": 10080, "iscrowd": 0, "bbox": [520, 196, 112, 90], "category_id": 2, "ignore": 0, "segmentation": [], "image_id": "BloodImage_00032", "id": 285}, {"area": 9310, "iscrowd": 0, "bbox": [545, 247, 95, 98], "category_id": 2, "ignore": 0, "segmentation": [], "image_id": "BloodImage_00032", "id": 286}, {"area": 9310, "iscrowd": 0, "bbox": [463, 100, 95, 98], "category_id": 2, "ignore": 0, "segmentation": [], "image_id": "BloodImage_00032", "id": 287}, {"area": 9310, "iscrowd": 0, "bbox": [410, 64, 95, 98], "category_id": 2, "ignore": 0, "segmentation": [], "image_id": "BloodImage_00032", "id": 288}, {"area": 9310, "iscrowd": 0, "bbox": [420, 133, 95, 98], "category_id": 2, "ignore": 0, "segmentation": [], "image_id": "BloodImage_00032", "id": 289}, {"area": 10605, "iscrowd": 0, "bbox": [415, 157, 105, 101], "category_id": 2, "ignore": 0, "segmentation": [], "image_id": "BloodImage_00032", "id": 290}, {"area": 10605, "iscrowd": 0, "bbox": [390, 159, 105, 101], "category_id": 2, "ignore": 0, "segmentation": [], "image_id": "BloodImage_00032", "id": 291}, {"area": 10605, "iscrowd": 0, "bbox": [349, 181, 105, 101], "category_id": 2, "ignore": 0, "segmentation": [], "image_id": "BloodImage_00032", "id": 292}, {"area": 12915, "iscrowd": 0, "bbox": [49, 237, 123, 105], "category_id": 2, "ignore": 0, "segmentation": [], "image_id": "BloodImage_00032", "id": 293}, {"area": 9271, "iscrowd": 0, "bbox": [453, 407, 127, 73], "category_id": 2, "ignore": 0, "segmentation": [], "image_id": "BloodImage_00032", "id": 294}, {"area": 10235, "iscrowd": 0, "bbox": [0, 365, 89, 115], "category_id": 2, "ignore": 0, "segmentation": [], "image_id": "BloodImage_00032", "id": 295}, {"area": 1833, "iscrowd": 0, "bbox": [101, 104, 39, 47], "category_id": 3, "ignore": 0, "segmentation": [], "image_id": "BloodImage_00032", "id": 296}, {"area": 34726, "iscrowd": 0, "bbox": [349, 180, 194, 179], "category_id": 1, "ignore": 0, "segmentation": [], "image_id": "BloodImage_00034", "id": 297}, {"area": 19370, "iscrowd": 0, "bbox": [309, 350, 149, 130], "category_id": 1, "ignore": 0, "segmentation": [], "image_id": "BloodImage_00034", "id": 298}, {"area": 1716, "iscrowd": 0, "bbox": [523, 333, 39, 44], "category_id": 3, "ignore": 0, "segmentation": [], "image_id": "BloodImage_00034", "id": 299}, {"area": 1716, "iscrowd": 0, "bbox": [51, 84, 39, 44], "category_id": 3, "ignore": 0, "segmentation": [], "image_id": "BloodImage_00034", "id": 300}, {"area": 18753, "iscrowd": 0, "bbox": [126, 129, 133, 141], "category_id": 2, "ignore": 0, "segmentation": [], "image_id": "BloodImage_00034", "id": 301}, {"area": 12862, "iscrowd": 0, "bbox": [96, 297, 109, 118], "category_id": 2, "ignore": 0, "segmentation": [], "image_id": "BloodImage_00034", "id": 302}, {"area": 12626, "iscrowd": 0, "bbox": [0, 335, 107, 118], "category_id": 2, "ignore": 0, "segmentation": [], "image_id": "BloodImage_00034", "id": 303}, {"area": 8362, "iscrowd": 0, "bbox": [61, 406, 113, 74], "category_id": 2, "ignore": 0, "segmentation": [], "image_id": "BloodImage_00034", "id": 304}, {"area": 8330, "iscrowd": 0, "bbox": [517, 0, 85, 98], "category_id": 2, "ignore": 0, "segmentation": [], "image_id": "BloodImage_00034", "id": 305}, {"area": 9520, "iscrowd": 0, "bbox": [483, 16, 85, 112], "category_id": 2, "ignore": 0, "segmentation": [], "image_id": "BloodImage_00034", "id": 306}, {"area": 9632, "iscrowd": 0, "bbox": [451, 33, 86, 112], "category_id": 2, "ignore": 0, "segmentation": [], "image_id": "BloodImage_00034", "id": 307}, {"area": 9632, "iscrowd": 0, "bbox": [408, 53, 86, 112], "category_id": 2, "ignore": 0, "segmentation": [], "image_id": "BloodImage_00034", "id": 308}, {"area": 9632, "iscrowd": 0, "bbox": [357, 83, 86, 112], "category_id": 2, "ignore": 0, "segmentation": [], "image_id": "BloodImage_00034", "id": 309}, {"area": 9632, "iscrowd": 0, "bbox": [554, 281, 86, 112], "category_id": 2, "ignore": 0, "segmentation": [], "image_id": "BloodImage_00034", "id": 310}, {"area": 7910, "iscrowd": 0, "bbox": [570, 351, 70, 113], "category_id": 2, "ignore": 0, "segmentation": [], "image_id": "BloodImage_00034", "id": 311}, {"area": 7844, "iscrowd": 0, "bbox": [101, 22, 74, 106], "category_id": 2, "ignore": 0, "segmentation": [], "image_id": "BloodImage_00034", "id": 312}, {"area": 8820, "iscrowd": 0, "bbox": [142, 21, 84, 105], "category_id": 2, "ignore": 0, "segmentation": [], "image_id": "BloodImage_00034", "id": 313}, {"area": 10070, "iscrowd": 0, "bbox": [277, 15, 95, 106], "category_id": 2, "ignore": 0, "segmentation": [], "image_id": "BloodImage_00034", "id": 314}, {"area": 13566, "iscrowd": 0, "bbox": [206, 282, 114, 119], "category_id": 2, "ignore": 0, "segmentation": [], "image_id": "BloodImage_00034", "id": 315}, {"area": 32942, "iscrowd": 0, "bbox": [106, 241, 181, 182], "category_id": 1, "ignore": 0, "segmentation": [], "image_id": "BloodImage_00036", "id": 316}, {"area": 11752, "iscrowd": 0, "bbox": [206, 105, 113, 104], "category_id": 2, "ignore": 0, "segmentation": [], "image_id": "BloodImage_00036", "id": 317}, {"area": 11752, "iscrowd": 0, "bbox": [165, 129, 113, 104], "category_id": 2, "ignore": 0, "segmentation": [], "image_id": "BloodImage_00036", "id": 318}, {"area": 9880, "iscrowd": 0, "bbox": [404, 170, 95, 104], "category_id": 2, "ignore": 0, "segmentation": [], "image_id": "BloodImage_00036", "id": 319}, {"area": 11752, "iscrowd": 0, "bbox": [486, 105, 113, 104], "category_id": 2, "ignore": 0, "segmentation": [], "image_id": "BloodImage_00036", "id": 320}, {"area": 10944, "iscrowd": 0, "bbox": [544, 314, 96, 114], "category_id": 2, "ignore": 0, "segmentation": [], "image_id": "BloodImage_00036", "id": 321}, {"area": 10656, "iscrowd": 0, "bbox": [259, 369, 96, 111], "category_id": 2, "ignore": 0, "segmentation": [], "image_id": "BloodImage_00036", "id": 322}, {"area": 8360, "iscrowd": 0, "bbox": [0, 265, 88, 95], "category_id": 2, "ignore": 0, "segmentation": [], "image_id": "BloodImage_00036", "id": 323}, {"area": 10395, "iscrowd": 0, "bbox": [0, 137, 99, 105], "category_id": 2, "ignore": 0, "segmentation": [], "image_id": "BloodImage_00036", "id": 324}, {"area": 10605, "iscrowd": 0, "bbox": [59, 86, 101, 105], "category_id": 2, "ignore": 0, "segmentation": [], "image_id": "BloodImage_00036", "id": 325}, {"area": 14835, "iscrowd": 0, "bbox": [300, 20, 129, 115], "category_id": 2, "ignore": 0, "segmentation": [], "image_id": "BloodImage_00036", "id": 326}, {"area": 10682, "iscrowd": 0, "bbox": [396, 59, 98, 109], "category_id": 2, "ignore": 0, "segmentation": [], "image_id": "BloodImage_00036", "id": 327}, {"area": 10573, "iscrowd": 0, "bbox": [542, 241, 97, 109], "category_id": 2, "ignore": 0, "segmentation": [], "image_id": "BloodImage_00036", "id": 328}, {"area": 6489, "iscrowd": 0, "bbox": [390, 167, 63, 103], "category_id": 2, "ignore": 0, "segmentation": [], "image_id": "BloodImage_00036", "id": 329}, {"area": 7840, "iscrowd": 0, "bbox": [420, 0, 98, 80], "category_id": 2, "ignore": 0, "segmentation": [], "image_id": "BloodImage_00036", "id": 330}, {"area": 7840, "iscrowd": 0, "bbox": [479, 0, 98, 80], "category_id": 2, "ignore": 0, "segmentation": [], "image_id": "BloodImage_00036", "id": 331}, {"area": 1332, "iscrowd": 0, "bbox": [161, 90, 37, 36], "category_id": 3, "ignore": 0, "segmentation": [], "image_id": "BloodImage_00036", "id": 332}, {"area": 9880, "iscrowd": 0, "bbox": [467, 263, 95, 104], "category_id": 2, "ignore": 0, "segmentation": [], "image_id": "BloodImage_00036", "id": 333}, {"area": 8944, "iscrowd": 0, "bbox": [106, 0, 104, 86], "category_id": 2, "ignore": 0, "segmentation": [], "image_id": "BloodImage_00036", "id": 334}, {"area": 12104, "iscrowd": 0, "bbox": [69, 388, 136, 89], "category_id": 2, "ignore": 0, "segmentation": [], "image_id": "BloodImage_00036", "id": 335}, {"area": 14756, "iscrowd": 0, "bbox": [414, 303, 119, 124], "category_id": 1, "ignore": 0, "segmentation": [], "image_id": "BloodImage_00038", "id": 336}, {"area": 6767, "iscrowd": 0, "bbox": [154, 388, 101, 67], "category_id": 2, "ignore": 0, "segmentation": [], "image_id": "BloodImage_00038", "id": 337}, {"area": 7722, "iscrowd": 0, "bbox": [95, 398, 99, 78], "category_id": 2, "ignore": 0, "segmentation": [], "image_id": "BloodImage_00038", "id": 338}, {"area": 8100, "iscrowd": 0, "bbox": [10, 260, 81, 100], "category_id": 2, "ignore": 0, "segmentation": [], "image_id": "BloodImage_00038", "id": 339}, {"area": 8100, "iscrowd": 0, "bbox": [18, 311, 81, 100], "category_id": 2, "ignore": 0, "segmentation": [], "image_id": "BloodImage_00038", "id": 340}, {"area": 8100, "iscrowd": 0, "bbox": [13, 76, 81, 100], "category_id": 2, "ignore": 0, "segmentation": [], "image_id": "BloodImage_00038", "id": 341}, {"area": 10302, "iscrowd": 0, "bbox": [21, 141, 101, 102], "category_id": 2, "ignore": 0, "segmentation": [], "image_id": "BloodImage_00038", "id": 342}, {"area": 8160, "iscrowd": 0, "bbox": [60, 193, 80, 102], "category_id": 2, "ignore": 0, "segmentation": [], "image_id": "BloodImage_00038", "id": 343}, {"area": 8160, "iscrowd": 0, "bbox": [92, 223, 80, 102], "category_id": 2, "ignore": 0, "segmentation": [], "image_id": "BloodImage_00038", "id": 344}, {"area": 8160, "iscrowd": 0, "bbox": [116, 232, 80, 102], "category_id": 2, "ignore": 0, "segmentation": [], "image_id": "BloodImage_00038", "id": 345}, {"area": 9975, "iscrowd": 0, "bbox": [170, 235, 95, 105], "category_id": 2, "ignore": 0, "segmentation": [], "image_id": "BloodImage_00038", "id": 346}, {"area": 9975, "iscrowd": 0, "bbox": [264, 185, 95, 105], "category_id": 2, "ignore": 0, "segmentation": [], "image_id": "BloodImage_00038", "id": 347}, {"area": 13625, "iscrowd": 0, "bbox": [185, 111, 109, 125], "category_id": 2, "ignore": 0, "segmentation": [], "image_id": "BloodImage_00038", "id": 348}, {"area": 1400, "iscrowd": 0, "bbox": [139, 116, 35, 40], "category_id": 3, "ignore": 0, "segmentation": [], "image_id": "BloodImage_00038", "id": 349}, {"area": 1400, "iscrowd": 0, "bbox": [372, 61, 35, 40], "category_id": 3, "ignore": 0, "segmentation": [], "image_id": "BloodImage_00038", "id": 350}, {"area": 7719, "iscrowd": 0, "bbox": [280, 93, 93, 83], "category_id": 2, "ignore": 0, "segmentation": [], "image_id": "BloodImage_00038", "id": 351}, {"area": 7719, "iscrowd": 0, "bbox": [514, 40, 93, 83], "category_id": 2, "ignore": 0, "segmentation": [], "image_id": "BloodImage_00038", "id": 352}, {"area": 11656, "iscrowd": 0, "bbox": [471, 14, 94, 124], "category_id": 2, "ignore": 0, "segmentation": [], "image_id": "BloodImage_00038", "id": 353}, {"area": 11780, "iscrowd": 0, "bbox": [543, 127, 95, 124], "category_id": 2, "ignore": 0, "segmentation": [], "image_id": "BloodImage_00038", "id": 354}, {"area": 7426, "iscrowd": 0, "bbox": [561, 205, 79, 94], "category_id": 2, "ignore": 0, "segmentation": [], "image_id": "BloodImage_00038", "id": 355}, {"area": 8930, "iscrowd": 0, "bbox": [474, 228, 94, 95], "category_id": 2, "ignore": 0, "segmentation": [], "image_id": "BloodImage_00038", "id": 356}, {"area": 8930, "iscrowd": 0, "bbox": [438, 190, 94, 95], "category_id": 2, "ignore": 0, "segmentation": [], "image_id": "BloodImage_00038", "id": 357}, {"area": 8930, "iscrowd": 0, "bbox": [391, 177, 94, 95], "category_id": 2, "ignore": 0, "segmentation": [], "image_id": "BloodImage_00038", "id": 358}, {"area": 8930, "iscrowd": 0, "bbox": [546, 331, 94, 95], "category_id": 2, "ignore": 0, "segmentation": [], "image_id": "BloodImage_00038", "id": 359}, {"area": 8930, "iscrowd": 0, "bbox": [546, 385, 94, 95], "category_id": 2, "ignore": 0, "segmentation": [], "image_id": "BloodImage_00038", "id": 360}, {"area": 8930, "iscrowd": 0, "bbox": [487, 385, 94, 95], "category_id": 2, "ignore": 0, "segmentation": [], "image_id": "BloodImage_00038", "id": 361}, {"area": 8930, "iscrowd": 0, "bbox": [136, 14, 94, 95], "category_id": 2, "ignore": 0, "segmentation": [], "image_id": "BloodImage_00038", "id": 362}, {"area": 8930, "iscrowd": 0, "bbox": [384, 29, 94, 95], "category_id": 2, "ignore": 0, "segmentation": [], "image_id": "BloodImage_00038", "id": 363}, {"area": 22304, "iscrowd": 0, "bbox": [106, 211, 164, 136], "category_id": 1, "ignore": 0, "segmentation": [], "image_id": "BloodImage_00039", "id": 364}, {"area": 14238, "iscrowd": 0, "bbox": [244, 85, 126, 113], "category_id": 2, "ignore": 0, "segmentation": [], "image_id": "BloodImage_00039", "id": 365}, {"area": 8930, "iscrowd": 0, "bbox": [46, 164, 94, 95], "category_id": 2, "ignore": 0, "segmentation": [], "image_id": "BloodImage_00039", "id": 366}, {"area": 13936, "iscrowd": 0, "bbox": [11, 75, 134, 104], "category_id": 2, "ignore": 0, "segmentation": [], "image_id": "BloodImage_00039", "id": 367}, {"area": 10404, "iscrowd": 0, "bbox": [194, 345, 102, 102], "category_id": 2, "ignore": 0, "segmentation": [], "image_id": "BloodImage_00039", "id": 368}, {"area": 10404, "iscrowd": 0, "bbox": [119, 357, 102, 102], "category_id": 2, "ignore": 0, "segmentation": [], "image_id": "BloodImage_00039", "id": 369}, {"area": 10404, "iscrowd": 0, "bbox": [82, 355, 102, 102], "category_id": 2, "ignore": 0, "segmentation": [], "image_id": "BloodImage_00039", "id": 370}, {"area": 10404, "iscrowd": 0, "bbox": [14, 355, 102, 102], "category_id": 2, "ignore": 0, "segmentation": [], "image_id": "BloodImage_00039", "id": 371}, {"area": 10404, "iscrowd": 0, "bbox": [309, 308, 102, 102], "category_id": 2, "ignore": 0, "segmentation": [], "image_id": "BloodImage_00039", "id": 372}, {"area": 10404, "iscrowd": 0, "bbox": [416, 303, 102, 102], "category_id": 2, "ignore": 0, "segmentation": [], "image_id": "BloodImage_00039", "id": 373}, {"area": 10404, "iscrowd": 0, "bbox": [484, 196, 102, 102], "category_id": 2, "ignore": 0, "segmentation": [], "image_id": "BloodImage_00039", "id": 374}, {"area": 12760, "iscrowd": 0, "bbox": [473, 1, 116, 110], "category_id": 2, "ignore": 0, "segmentation": [], "image_id": "BloodImage_00039", "id": 375}, {"area": 11115, "iscrowd": 0, "bbox": [357, 0, 117, 95], "category_id": 2, "ignore": 0, "segmentation": [], "image_id": "BloodImage_00039", "id": 376}, {"area": 11115, "iscrowd": 0, "bbox": [110, 0, 117, 95], "category_id": 2, "ignore": 0, "segmentation": [], "image_id": "BloodImage_00039", "id": 377}, {"area": 11232, "iscrowd": 0, "bbox": [130, 76, 117, 96], "category_id": 2, "ignore": 0, "segmentation": [], "image_id": "BloodImage_00039", "id": 378}, {"area": 1935, "iscrowd": 0, "bbox": [0, 18, 45, 43], "category_id": 3, "ignore": 0, "segmentation": [], "image_id": "BloodImage_00039", "id": 379}, {"area": 1152, "iscrowd": 0, "bbox": [547, 292, 36, 32], "category_id": 3, "ignore": 0, "segmentation": [], "image_id": "BloodImage_00039", "id": 380}, {"area": 14238, "iscrowd": 0, "bbox": [376, 170, 126, 113], "category_id": 2, "ignore": 0, "segmentation": [], "image_id": "BloodImage_00039", "id": 381}, {"area": 7920, "iscrowd": 0, "bbox": [486, 390, 88, 90], "category_id": 2, "ignore": 0, "segmentation": [], "image_id": "BloodImage_00039", "id": 382}, {"area": 46656, "iscrowd": 0, "bbox": [241, 116, 216, 216], "category_id": 1, "ignore": 0, "segmentation": [], "image_id": "BloodImage_00040", "id": 383}, {"area": 11880, "iscrowd": 0, "bbox": [139, 307, 110, 108], "category_id": 2, "ignore": 0, "segmentation": [], "image_id": "BloodImage_00040", "id": 384}, {"area": 11880, "iscrowd": 0, "bbox": [95, 361, 110, 108], "category_id": 2, "ignore": 0, "segmentation": [], "image_id": "BloodImage_00040", "id": 385}, {"area": 9612, "iscrowd": 0, "bbox": [0, 322, 89, 108], "category_id": 2, "ignore": 0, "segmentation": [], "image_id": "BloodImage_00040", "id": 386}, {"area": 14204, "iscrowd": 0, "bbox": [78, 211, 134, 106], "category_id": 2, "ignore": 0, "segmentation": [], "image_id": "BloodImage_00040", "id": 387}, {"area": 14204, "iscrowd": 0, "bbox": [104, 107, 134, 106], "category_id": 2, "ignore": 0, "segmentation": [], "image_id": "BloodImage_00040", "id": 388}, {"area": 14204, "iscrowd": 0, "bbox": [462, 103, 134, 106], "category_id": 2, "ignore": 0, "segmentation": [], "image_id": "BloodImage_00040", "id": 389}, {"area": 10925, "iscrowd": 0, "bbox": [525, 94, 115, 95], "category_id": 2, "ignore": 0, "segmentation": [], "image_id": "BloodImage_00040", "id": 390}, {"area": 12880, "iscrowd": 0, "bbox": [528, 203, 112, 115], "category_id": 2, "ignore": 0, "segmentation": [], "image_id": "BloodImage_00040", "id": 391}, {"area": 12880, "iscrowd": 0, "bbox": [463, 311, 112, 115], "category_id": 2, "ignore": 0, "segmentation": [], "image_id": "BloodImage_00040", "id": 392}, {"area": 14490, "iscrowd": 0, "bbox": [331, 313, 126, 115], "category_id": 2, "ignore": 0, "segmentation": [], "image_id": "BloodImage_00040", "id": 393}, {"area": 14490, "iscrowd": 0, "bbox": [254, 321, 126, 115], "category_id": 2, "ignore": 0, "segmentation": [], "image_id": "BloodImage_00040", "id": 394}, {"area": 11036, "iscrowd": 0, "bbox": [263, 391, 124, 89], "category_id": 2, "ignore": 0, "segmentation": [], "image_id": "BloodImage_00040", "id": 395}, {"area": 11424, "iscrowd": 0, "bbox": [11, 105, 112, 102], "category_id": 2, "ignore": 0, "segmentation": [], "image_id": "BloodImage_00040", "id": 396}, {"area": 8670, "iscrowd": 0, "bbox": [537, 0, 102, 85], "category_id": 2, "ignore": 0, "segmentation": [], "image_id": "BloodImage_00040", "id": 397}, {"area": 1840, "iscrowd": 0, "bbox": [427, 10, 46, 40], "category_id": 3, "ignore": 0, "segmentation": [], "image_id": "BloodImage_00040", "id": 398}, {"area": 1840, "iscrowd": 0, "bbox": [488, 45, 46, 40], "category_id": 3, "ignore": 0, "segmentation": [], "image_id": "BloodImage_00040", "id": 399}, {"area": 1840, "iscrowd": 0, "bbox": [47, 205, 46, 40], "category_id": 3, "ignore": 0, "segmentation": [], "image_id": "BloodImage_00040", "id": 400}, {"area": 20864, "iscrowd": 0, "bbox": [115, 191, 163, 128], "category_id": 1, "ignore": 0, "segmentation": [], "image_id": "BloodImage_00042", "id": 401}, {"area": 11397, "iscrowd": 0, "bbox": [64, 41, 87, 131], "category_id": 2, "ignore": 0, "segmentation": [], "image_id": "BloodImage_00042", "id": 402}, {"area": 9215, "iscrowd": 0, "bbox": [235, 280, 95, 97], "category_id": 2, "ignore": 0, "segmentation": [], "image_id": "BloodImage_00042", "id": 403}, {"area": 9215, "iscrowd": 0, "bbox": [354, 315, 95, 97], "category_id": 2, "ignore": 0, "segmentation": [], "image_id": "BloodImage_00042", "id": 404}, {"area": 12065, "iscrowd": 0, "bbox": [544, 186, 95, 127], "category_id": 2, "ignore": 0, "segmentation": [], "image_id": "BloodImage_00042", "id": 405}, {"area": 12192, "iscrowd": 0, "bbox": [544, 80, 96, 127], "category_id": 2, "ignore": 0, "segmentation": [], "image_id": "BloodImage_00042", "id": 406}, {"area": 7979, "iscrowd": 0, "bbox": [561, 0, 79, 101], "category_id": 2, "ignore": 0, "segmentation": [], "image_id": "BloodImage_00042", "id": 407}, {"area": 9240, "iscrowd": 0, "bbox": [150, 0, 110, 84], "category_id": 2, "ignore": 0, "segmentation": [], "image_id": "BloodImage_00042", "id": 408}, {"area": 11473, "iscrowd": 0, "bbox": [247, 0, 149, 77], "category_id": 2, "ignore": 0, "segmentation": [], "image_id": "BloodImage_00042", "id": 409}, {"area": 9350, "iscrowd": 0, "bbox": [302, 148, 110, 85], "category_id": 2, "ignore": 0, "segmentation": [], "image_id": "BloodImage_00042", "id": 410}, {"area": 16600, "iscrowd": 0, "bbox": [94, 376, 166, 100], "category_id": 2, "ignore": 0, "segmentation": [], "image_id": "BloodImage_00042", "id": 411}, {"area": 1887, "iscrowd": 0, "bbox": [400, 178, 51, 37], "category_id": 3, "ignore": 0, "segmentation": [], "image_id": "BloodImage_00042", "id": 412}, {"area": 1200, "iscrowd": 0, "bbox": [0, 281, 30, 40], "category_id": 3, "ignore": 0, "segmentation": [], "image_id": "BloodImage_00042", "id": 413}, {"area": 14448, "iscrowd": 0, "bbox": [441, 221, 112, 129], "category_id": 2, "ignore": 0, "segmentation": [], "image_id": "BloodImage_00042", "id": 414}, {"area": 9215, "iscrowd": 0, "bbox": [410, 345, 95, 97], "category_id": 2, "ignore": 0, "segmentation": [], "image_id": "BloodImage_00042", "id": 415}, {"area": 9797, "iscrowd": 0, "bbox": [462, 383, 101, 97], "category_id": 2, "ignore": 0, "segmentation": [], "image_id": "BloodImage_00042", "id": 416}, {"area": 17466, "iscrowd": 0, "bbox": [75, 105, 142, 123], "category_id": 1, "ignore": 0, "segmentation": [], "image_id": "BloodImage_00043", "id": 417}, {"area": 25134, "iscrowd": 0, "bbox": [497, 303, 142, 177], "category_id": 1, "ignore": 0, "segmentation": [], "image_id": "BloodImage_00043", "id": 418}, {"area": 1400, "iscrowd": 0, "bbox": [176, 75, 35, 40], "category_id": 3, "ignore": 0, "segmentation": [], "image_id": "BloodImage_00043", "id": 419}, {"area": 1400, "iscrowd": 0, "bbox": [60, 440, 35, 40], "category_id": 3, "ignore": 0, "segmentation": [], "image_id": "BloodImage_00043", "id": 420}, {"area": 12672, "iscrowd": 0, "bbox": [16, 329, 128, 99], "category_id": 2, "ignore": 0, "segmentation": [], "image_id": "BloodImage_00043", "id": 421}, {"area": 12672, "iscrowd": 0, "bbox": [106, 344, 128, 99], "category_id": 2, "ignore": 0, "segmentation": [], "image_id": "BloodImage_00043", "id": 422}, {"area": 12672, "iscrowd": 0, "bbox": [85, 222, 128, 99], "category_id": 2, "ignore": 0, "segmentation": [], "image_id": "BloodImage_00043", "id": 423}, {"area": 12672, "iscrowd": 0, "bbox": [30, 207, 128, 99], "category_id": 2, "ignore": 0, "segmentation": [], "image_id": "BloodImage_00043", "id": 424}, {"area": 12672, "iscrowd": 0, "bbox": [366, 285, 128, 99], "category_id": 2, "ignore": 0, "segmentation": [], "image_id": "BloodImage_00043", "id": 425}, {"area": 12672, "iscrowd": 0, "bbox": [345, 174, 128, 99], "category_id": 2, "ignore": 0, "segmentation": [], "image_id": "BloodImage_00043", "id": 426}, {"area": 12672, "iscrowd": 0, "bbox": [295, 45, 128, 99], "category_id": 2, "ignore": 0, "segmentation": [], "image_id": "BloodImage_00043", "id": 427}, {"area": 9975, "iscrowd": 0, "bbox": [416, 83, 95, 105], "category_id": 2, "ignore": 0, "segmentation": [], "image_id": "BloodImage_00043", "id": 428}, {"area": 9880, "iscrowd": 0, "bbox": [3, 0, 95, 104], "category_id": 2, "ignore": 0, "segmentation": [], "image_id": "BloodImage_00043", "id": 429}, {"area": 8008, "iscrowd": 0, "bbox": [0, 96, 77, 104], "category_id": 2, "ignore": 0, "segmentation": [], "image_id": "BloodImage_00043", "id": 430}, {"area": 9163, "iscrowd": 0, "bbox": [563, 48, 77, 119], "category_id": 2, "ignore": 0, "segmentation": [], "image_id": "BloodImage_00043", "id": 431}, {"area": 14040, "iscrowd": 0, "bbox": [506, 125, 117, 120], "category_id": 2, "ignore": 0, "segmentation": [], "image_id": "BloodImage_00043", "id": 432}, {"area": 23250, "iscrowd": 0, "bbox": [195, 256, 150, 155], "category_id": 1, "ignore": 0, "segmentation": [], "image_id": "BloodImage_00044", "id": 433}, {"area": 13915, "iscrowd": 0, "bbox": [0, 39, 121, 115], "category_id": 1, "ignore": 0, "segmentation": [], "image_id": "BloodImage_00044", "id": 434}, {"area": 14626, "iscrowd": 0, "bbox": [67, 370, 142, 103], "category_id": 2, "ignore": 0, "segmentation": [], "image_id": "BloodImage_00044", "id": 435}, {"area": 8256, "iscrowd": 0, "bbox": [68, 287, 86, 96], "category_id": 2, "ignore": 0, "segmentation": [], "image_id": "BloodImage_00044", "id": 436}, {"area": 11772, "iscrowd": 0, "bbox": [408, 53, 109, 108], "category_id": 2, "ignore": 0, "segmentation": [], "image_id": "BloodImage_00044", "id": 437}, {"area": 11772, "iscrowd": 0, "bbox": [48, 141, 109, 108], "category_id": 2, "ignore": 0, "segmentation": [], "image_id": "BloodImage_00044", "id": 438}, {"area": 11772, "iscrowd": 0, "bbox": [206, 58, 109, 108], "category_id": 2, "ignore": 0, "segmentation": [], "image_id": "BloodImage_00044", "id": 439}, {"area": 11772, "iscrowd": 0, "bbox": [169, 144, 109, 108], "category_id": 2, "ignore": 0, "segmentation": [], "image_id": "BloodImage_00044", "id": 440}, {"area": 11772, "iscrowd": 0, "bbox": [300, 22, 109, 108], "category_id": 2, "ignore": 0, "segmentation": [], "image_id": "BloodImage_00044", "id": 441}, {"area": 11772, "iscrowd": 0, "bbox": [502, 167, 109, 108], "category_id": 2, "ignore": 0, "segmentation": [], "image_id": "BloodImage_00044", "id": 442}, {"area": 11772, "iscrowd": 0, "bbox": [519, 93, 109, 108], "category_id": 2, "ignore": 0, "segmentation": [], "image_id": "BloodImage_00044", "id": 443}, {"area": 11772, "iscrowd": 0, "bbox": [504, 29, 109, 108], "category_id": 2, "ignore": 0, "segmentation": [], "image_id": "BloodImage_00044", "id": 444}, {"area": 7062, "iscrowd": 0, "bbox": [515, 414, 107, 66], "category_id": 2, "ignore": 0, "segmentation": [], "image_id": "BloodImage_00044", "id": 445}, {"area": 8927, "iscrowd": 0, "bbox": [0, 322, 79, 113], "category_id": 2, "ignore": 0, "segmentation": [], "image_id": "BloodImage_00044", "id": 446}, {"area": 1332, "iscrowd": 0, "bbox": [519, 376, 36, 37], "category_id": 3, "ignore": 0, "segmentation": [], "image_id": "BloodImage_00044", "id": 447}, {"area": 1332, "iscrowd": 0, "bbox": [560, 365, 36, 37], "category_id": 3, "ignore": 0, "segmentation": [], "image_id": "BloodImage_00044", "id": 448}, {"area": 1332, "iscrowd": 0, "bbox": [352, 433, 36, 37], "category_id": 3, "ignore": 0, "segmentation": [], "image_id": "BloodImage_00044", "id": 449}, {"area": 1184, "iscrowd": 0, "bbox": [113, 125, 37, 32], "category_id": 3, "ignore": 0, "segmentation": [], "image_id": "BloodImage_00044", "id": 450}, {"area": 9024, "iscrowd": 0, "bbox": [386, 318, 96, 94], "category_id": 2, "ignore": 0, "segmentation": [], "image_id": "BloodImage_00044", "id": 451}, {"area": 1332, "iscrowd": 0, "bbox": [501, 309, 36, 37], "category_id": 3, "ignore": 0, "segmentation": [], "image_id": "BloodImage_00044", "id": 452}, {"area": 10088, "iscrowd": 0, "bbox": [325, 234, 97, 104], "category_id": 2, "ignore": 0, "segmentation": [], "image_id": "BloodImage_00045", "id": 453}, {"area": 10088, "iscrowd": 0, "bbox": [172, 271, 97, 104], "category_id": 2, "ignore": 0, "segmentation": [], "image_id": "BloodImage_00045", "id": 454}, {"area": 10088, "iscrowd": 0, "bbox": [222, 272, 97, 104], "category_id": 2, "ignore": 0, "segmentation": [], "image_id": "BloodImage_00045", "id": 455}, {"area": 10500, "iscrowd": 0, "bbox": [239, 360, 105, 100], "category_id": 2, "ignore": 0, "segmentation": [], "image_id": "BloodImage_00045", "id": 456}, {"area": 10500, "iscrowd": 0, "bbox": [80, 335, 105, 100], "category_id": 2, "ignore": 0, "segmentation": [], "image_id": "BloodImage_00045", "id": 457}, {"area": 10300, "iscrowd": 0, "bbox": [0, 343, 103, 100], "category_id": 2, "ignore": 0, "segmentation": [], "image_id": "BloodImage_00045", "id": 458}, {"area": 8051, "iscrowd": 0, "bbox": [348, 397, 97, 83], "category_id": 2, "ignore": 0, "segmentation": [], "image_id": "BloodImage_00045", "id": 459}, {"area": 8051, "iscrowd": 0, "bbox": [385, 385, 97, 83], "category_id": 2, "ignore": 0, "segmentation": [], "image_id": "BloodImage_00045", "id": 460}, {"area": 8051, "iscrowd": 0, "bbox": [409, 359, 97, 83], "category_id": 2, "ignore": 0, "segmentation": [], "image_id": "BloodImage_00045", "id": 461}, {"area": 8051, "iscrowd": 0, "bbox": [450, 338, 97, 83], "category_id": 2, "ignore": 0, "segmentation": [], "image_id": "BloodImage_00045", "id": 462}, {"area": 8051, "iscrowd": 0, "bbox": [474, 318, 97, 83], "category_id": 2, "ignore": 0, "segmentation": [], "image_id": "BloodImage_00045", "id": 463}, {"area": 8051, "iscrowd": 0, "bbox": [494, 303, 97, 83], "category_id": 2, "ignore": 0, "segmentation": [], "image_id": "BloodImage_00045", "id": 464}, {"area": 8051, "iscrowd": 0, "bbox": [436, 200, 97, 83], "category_id": 2, "ignore": 0, "segmentation": [], "image_id": "BloodImage_00045", "id": 465}, {"area": 8051, "iscrowd": 0, "bbox": [469, 208, 97, 83], "category_id": 2, "ignore": 0, "segmentation": [], "image_id": "BloodImage_00045", "id": 466}, {"area": 8051, "iscrowd": 0, "bbox": [505, 221, 97, 83], "category_id": 2, "ignore": 0, "segmentation": [], "image_id": "BloodImage_00045", "id": 467}, {"area": 10500, "iscrowd": 0, "bbox": [389, 89, 100, 105], "category_id": 2, "ignore": 0, "segmentation": [], "image_id": "BloodImage_00045", "id": 468}, {"area": 10395, "iscrowd": 0, "bbox": [0, 108, 99, 105], "category_id": 2, "ignore": 0, "segmentation": [], "image_id": "BloodImage_00045", "id": 469}, {"area": 10605, "iscrowd": 0, "bbox": [79, 68, 101, 105], "category_id": 2, "ignore": 0, "segmentation": [], "image_id": "BloodImage_00045", "id": 470}, {"area": 7052, "iscrowd": 0, "bbox": [183, 102, 86, 82], "category_id": 2, "ignore": 0, "segmentation": [], "image_id": "BloodImage_00045", "id": 471}, {"area": 7052, "iscrowd": 0, "bbox": [342, 12, 86, 82], "category_id": 2, "ignore": 0, "segmentation": [], "image_id": "BloodImage_00045", "id": 472}, {"area": 7052, "iscrowd": 0, "bbox": [554, 138, 86, 82], "category_id": 2, "ignore": 0, "segmentation": [], "image_id": "BloodImage_00045", "id": 473}, {"area": 17732, "iscrowd": 0, "bbox": [490, 20, 143, 124], "category_id": 1, "ignore": 0, "segmentation": [], "image_id": "BloodImage_00045", "id": 474}, {"area": 10088, "iscrowd": 0, "bbox": [229, 182, 97, 104], "category_id": 2, "ignore": 0, "segmentation": [], "image_id": "BloodImage_00045", "id": 475}, {"area": 10088, "iscrowd": 0, "bbox": [161, 40, 97, 104], "category_id": 2, "ignore": 0, "segmentation": [], "image_id": "BloodImage_00045", "id": 476}, {"area": 928, "iscrowd": 0, "bbox": [172, 12, 32, 29], "category_id": 3, "ignore": 0, "segmentation": [], "image_id": "BloodImage_00045", "id": 477}, {"area": 13064, "iscrowd": 0, "bbox": [311, 0, 142, 92], "category_id": 1, "ignore": 0, "segmentation": [], "image_id": "BloodImage_00046", "id": 478}, {"area": 2385, "iscrowd": 0, "bbox": [46, 236, 53, 45], "category_id": 3, "ignore": 0, "segmentation": [], "image_id": "BloodImage_00046", "id": 479}, {"area": 15678, "iscrowd": 0, "bbox": [339, 142, 134, 117], "category_id": 2, "ignore": 0, "segmentation": [], "image_id": "BloodImage_00046", "id": 480}, {"area": 11970, "iscrowd": 0, "bbox": [244, 128, 114, 105], "category_id": 2, "ignore": 0, "segmentation": [], "image_id": "BloodImage_00046", "id": 481}, {"area": 11970, "iscrowd": 0, "bbox": [240, 28, 114, 105], "category_id": 2, "ignore": 0, "segmentation": [], "image_id": "BloodImage_00046", "id": 482}, {"area": 11970, "iscrowd": 0, "bbox": [137, 293, 114, 105], "category_id": 2, "ignore": 0, "segmentation": [], "image_id": "BloodImage_00046", "id": 483}, {"area": 11970, "iscrowd": 0, "bbox": [60, 312, 114, 105], "category_id": 2, "ignore": 0, "segmentation": [], "image_id": "BloodImage_00046", "id": 484}, {"area": 9540, "iscrowd": 0, "bbox": [156, 390, 106, 90], "category_id": 2, "ignore": 0, "segmentation": [], "image_id": "BloodImage_00046", "id": 485}, {"area": 6272, "iscrowd": 0, "bbox": [217, 416, 98, 64], "category_id": 2, "ignore": 0, "segmentation": [], "image_id": "BloodImage_00046", "id": 486}, {"area": 6976, "iscrowd": 0, "bbox": [0, 416, 109, 64], "category_id": 2, "ignore": 0, "segmentation": [], "image_id": "BloodImage_00046", "id": 487}, {"area": 8188, "iscrowd": 0, "bbox": [520, 89, 89, 92], "category_id": 2, "ignore": 0, "segmentation": [], "image_id": "BloodImage_00046", "id": 488}, {"area": 8188, "iscrowd": 0, "bbox": [478, 108, 89, 92], "category_id": 2, "ignore": 0, "segmentation": [], "image_id": "BloodImage_00046", "id": 489}, {"area": 8188, "iscrowd": 0, "bbox": [462, 171, 89, 92], "category_id": 2, "ignore": 0, "segmentation": [], "image_id": "BloodImage_00046", "id": 490}, {"area": 8188, "iscrowd": 0, "bbox": [498, 188, 89, 92], "category_id": 2, "ignore": 0, "segmentation": [], "image_id": "BloodImage_00046", "id": 491}, {"area": 8188, "iscrowd": 0, "bbox": [518, 208, 89, 92], "category_id": 2, "ignore": 0, "segmentation": [], "image_id": "BloodImage_00046", "id": 492}, {"area": 10791, "iscrowd": 0, "bbox": [531, 238, 109, 99], "category_id": 2, "ignore": 0, "segmentation": [], "image_id": "BloodImage_00046", "id": 493}, {"area": 11537, "iscrowd": 0, "bbox": [484, 397, 139, 83], "category_id": 2, "ignore": 0, "segmentation": [], "image_id": "BloodImage_00046", "id": 494}, {"area": 10692, "iscrowd": 0, "bbox": [105, 21, 108, 99], "category_id": 2, "ignore": 0, "segmentation": [], "image_id": "BloodImage_00046", "id": 495}, {"area": 9095, "iscrowd": 0, "bbox": [0, 82, 85, 107], "category_id": 2, "ignore": 0, "segmentation": [], "image_id": "BloodImage_00046", "id": 496}, {"area": 9646, "iscrowd": 0, "bbox": [6, 0, 106, 91], "category_id": 2, "ignore": 0, "segmentation": [], "image_id": "BloodImage_00046", "id": 497}, {"area": 11500, "iscrowd": 0, "bbox": [213, 283, 115, 100], "category_id": 2, "ignore": 0, "segmentation": [], "image_id": "BloodImage_00046", "id": 498}, {"area": 6864, "iscrowd": 0, "bbox": [337, 295, 78, 88], "category_id": 2, "ignore": 0, "segmentation": [], "image_id": "BloodImage_00046", "id": 499}, {"area": 6864, "iscrowd": 0, "bbox": [333, 348, 78, 88], "category_id": 2, "ignore": 0, "segmentation": [], "image_id": "BloodImage_00046", "id": 500}, {"area": 10246, "iscrowd": 0, "bbox": [268, 386, 109, 94], "category_id": 2, "ignore": 0, "segmentation": [], "image_id": "BloodImage_00046", "id": 501}, {"area": 11978, "iscrowd": 0, "bbox": [277, 146, 106, 113], "category_id": 1, "ignore": 0, "segmentation": [], "image_id": "BloodImage_00047", "id": 502}, {"area": 986, "iscrowd": 0, "bbox": [206, 213, 34, 29], "category_id": 3, "ignore": 0, "segmentation": [], "image_id": "BloodImage_00047", "id": 503}, {"area": 986, "iscrowd": 0, "bbox": [257, 262, 34, 29], "category_id": 3, "ignore": 0, "segmentation": [], "image_id": "BloodImage_00047", "id": 504}, {"area": 1015, "iscrowd": 0, "bbox": [11, 276, 29, 35], "category_id": 3, "ignore": 0, "segmentation": [], "image_id": "BloodImage_00047", "id": 505}, {"area": 17028, "iscrowd": 0, "bbox": [31, 101, 132, 129], "category_id": 2, "ignore": 0, "segmentation": [], "image_id": "BloodImage_00047", "id": 506}, {"area": 8640, "iscrowd": 0, "bbox": [18, 0, 96, 90], "category_id": 2, "ignore": 0, "segmentation": [], "image_id": "BloodImage_00047", "id": 507}, {"area": 8645, "iscrowd": 0, "bbox": [0, 24, 95, 91], "category_id": 2, "ignore": 0, "segmentation": [], "image_id": "BloodImage_00047", "id": 508}, {"area": 10881, "iscrowd": 0, "bbox": [109, 24, 117, 93], "category_id": 2, "ignore": 0, "segmentation": [], "image_id": "BloodImage_00047", "id": 509}, {"area": 10672, "iscrowd": 0, "bbox": [198, 0, 116, 92], "category_id": 2, "ignore": 0, "segmentation": [], "image_id": "BloodImage_00047", "id": 510}, {"area": 11009, "iscrowd": 0, "bbox": [376, 272, 109, 101], "category_id": 2, "ignore": 0, "segmentation": [], "image_id": "BloodImage_00047", "id": 511}, {"area": 9282, "iscrowd": 0, "bbox": [415, 378, 91, 102], "category_id": 2, "ignore": 0, "segmentation": [], "image_id": "BloodImage_00047", "id": 512}, {"area": 9282, "iscrowd": 0, "bbox": [268, 378, 91, 102], "category_id": 2, "ignore": 0, "segmentation": [], "image_id": "BloodImage_00047", "id": 513}, {"area": 10300, "iscrowd": 0, "bbox": [391, 176, 103, 100], "category_id": 2, "ignore": 0, "segmentation": [], "image_id": "BloodImage_00047", "id": 514}, {"area": 7470, "iscrowd": 0, "bbox": [477, 46, 83, 90], "category_id": 2, "ignore": 0, "segmentation": [], "image_id": "BloodImage_00047", "id": 515}, {"area": 8544, "iscrowd": 0, "bbox": [551, 0, 89, 96], "category_id": 2, "ignore": 0, "segmentation": [], "image_id": "BloodImage_00047", "id": 516}, {"area": 11340, "iscrowd": 0, "bbox": [289, 267, 105, 108], "category_id": 2, "ignore": 0, "segmentation": [], "image_id": "BloodImage_00047", "id": 517}, {"area": 11340, "iscrowd": 0, "bbox": [231, 297, 105, 108], "category_id": 2, "ignore": 0, "segmentation": [], "image_id": "BloodImage_00047", "id": 518}, {"area": 11220, "iscrowd": 0, "bbox": [138, 317, 110, 102], "category_id": 2, "ignore": 0, "segmentation": [], "image_id": "BloodImage_00047", "id": 519}, {"area": 8924, "iscrowd": 0, "bbox": [295, 50, 97, 92], "category_id": 2, "ignore": 0, "segmentation": [], "image_id": "BloodImage_00047", "id": 520}, {"area": 8924, "iscrowd": 0, "bbox": [370, 74, 97, 92], "category_id": 2, "ignore": 0, "segmentation": [], "image_id": "BloodImage_00047", "id": 521}, {"area": 4860, "iscrowd": 0, "bbox": [438, 0, 108, 45], "category_id": 2, "ignore": 0, "segmentation": [], "image_id": "BloodImage_00047", "id": 522}, {"area": 1886, "iscrowd": 0, "bbox": [505, 191, 46, 41], "category_id": 3, "ignore": 0, "segmentation": [], "image_id": "BloodImage_00048", "id": 523}, {"area": 23868, "iscrowd": 0, "bbox": [199, 150, 156, 153], "category_id": 1, "ignore": 0, "segmentation": [], "image_id": "BloodImage_00048", "id": 524}, {"area": 15729, "iscrowd": 0, "bbox": [148, 280, 147, 107], "category_id": 2, "ignore": 0, "segmentation": [], "image_id": "BloodImage_00048", "id": 525}, {"area": 11024, "iscrowd": 0, "bbox": [89, 143, 104, 106], "category_id": 2, "ignore": 0, "segmentation": [], "image_id": "BloodImage_00048", "id": 526}, {"area": 10812, "iscrowd": 0, "bbox": [0, 58, 102, 106], "category_id": 2, "ignore": 0, "segmentation": [], "image_id": "BloodImage_00048", "id": 527}, {"area": 10812, "iscrowd": 0, "bbox": [0, 11, 102, 106], "category_id": 2, "ignore": 0, "segmentation": [], "image_id": "BloodImage_00048", "id": 528}, {"area": 5940, "iscrowd": 0, "bbox": [63, 0, 99, 60], "category_id": 2, "ignore": 0, "segmentation": [], "image_id": "BloodImage_00048", "id": 529}, {"area": 7412, "iscrowd": 0, "bbox": [208, 71, 109, 68], "category_id": 2, "ignore": 0, "segmentation": [], "image_id": "BloodImage_00048", "id": 530}, {"area": 11200, "iscrowd": 0, "bbox": [403, 258, 100, 112], "category_id": 2, "ignore": 0, "segmentation": [], "image_id": "BloodImage_00048", "id": 531}, {"area": 11200, "iscrowd": 0, "bbox": [190, 368, 100, 112], "category_id": 2, "ignore": 0, "segmentation": [], "image_id": "BloodImage_00048", "id": 532}, {"area": 11200, "iscrowd": 0, "bbox": [37, 245, 100, 112], "category_id": 2, "ignore": 0, "segmentation": [], "image_id": "BloodImage_00048", "id": 533}, {"area": 12051, "iscrowd": 0, "bbox": [395, 15, 117, 103], "category_id": 2, "ignore": 0, "segmentation": [], "image_id": "BloodImage_00048", "id": 534}, {"area": 7875, "iscrowd": 0, "bbox": [565, 95, 75, 105], "category_id": 2, "ignore": 0, "segmentation": [], "image_id": "BloodImage_00048", "id": 535}, {"area": 12051, "iscrowd": 0, "bbox": [523, 305, 117, 103], "category_id": 2, "ignore": 0, "segmentation": [], "image_id": "BloodImage_00048", "id": 536}, {"area": 7533, "iscrowd": 0, "bbox": [547, 399, 93, 81], "category_id": 2, "ignore": 0, "segmentation": [], "image_id": "BloodImage_00048", "id": 537}, {"area": 11200, "iscrowd": 0, "bbox": [379, 348, 100, 112], "category_id": 2, "ignore": 0, "segmentation": [], "image_id": "BloodImage_00048", "id": 538}, {"area": 5963, "iscrowd": 0, "bbox": [466, 413, 89, 67], "category_id": 2, "ignore": 0, "segmentation": [], "image_id": "BloodImage_00048", "id": 539}, {"area": 15892, "iscrowd": 0, "bbox": [155, 247, 137, 116], "category_id": 1, "ignore": 0, "segmentation": [], "image_id": "BloodImage_00049", "id": 540}, {"area": 2548, "iscrowd": 0, "bbox": [139, 201, 52, 49], "category_id": 3, "ignore": 0, "segmentation": [], "image_id": "BloodImage_00049", "id": 541}, {"area": 13224, "iscrowd": 0, "bbox": [485, 80, 114, 116], "category_id": 2, "ignore": 0, "segmentation": [], "image_id": "BloodImage_00049", "id": 542}, {"area": 7820, "iscrowd": 0, "bbox": [422, 264, 85, 92], "category_id": 2, "ignore": 0, "segmentation": [], "image_id": "BloodImage_00049", "id": 543}, {"area": 7728, "iscrowd": 0, "bbox": [555, 346, 84, 92], "category_id": 2, "ignore": 0, "segmentation": [], "image_id": "BloodImage_00049", "id": 544}, {"area": 14848, "iscrowd": 0, "bbox": [367, 314, 128, 116], "category_id": 2, "ignore": 0, "segmentation": [], "image_id": "BloodImage_00049", "id": 545}, {"area": 14848, "iscrowd": 0, "bbox": [260, 331, 128, 116], "category_id": 2, "ignore": 0, "segmentation": [], "image_id": "BloodImage_00049", "id": 546}, {"area": 10416, "iscrowd": 0, "bbox": [368, 170, 112, 93], "category_id": 2, "ignore": 0, "segmentation": [], "image_id": "BloodImage_00049", "id": 547}, {"area": 13068, "iscrowd": 0, "bbox": [377, 43, 108, 121], "category_id": 2, "ignore": 0, "segmentation": [], "image_id": "BloodImage_00049", "id": 548}, {"area": 10692, "iscrowd": 0, "bbox": [179, 103, 99, 108], "category_id": 2, "ignore": 0, "segmentation": [], "image_id": "BloodImage_00049", "id": 549}, {"area": 10692, "iscrowd": 0, "bbox": [57, 141, 99, 108], "category_id": 2, "ignore": 0, "segmentation": [], "image_id": "BloodImage_00049", "id": 550}, {"area": 12528, "iscrowd": 0, "bbox": [0, 123, 87, 144], "category_id": 2, "ignore": 0, "segmentation": [], "image_id": "BloodImage_00049", "id": 551}, {"area": 10692, "iscrowd": 0, "bbox": [278, 235, 99, 108], "category_id": 2, "ignore": 0, "segmentation": [], "image_id": "BloodImage_00049", "id": 552}, {"area": 10692, "iscrowd": 0, "bbox": [281, 126, 99, 108], "category_id": 2, "ignore": 0, "segmentation": [], "image_id": "BloodImage_00049", "id": 553}, {"area": 15180, "iscrowd": 0, "bbox": [245, 0, 132, 115], "category_id": 2, "ignore": 0, "segmentation": [], "image_id": "BloodImage_00049", "id": 554}, {"area": 7956, "iscrowd": 0, "bbox": [152, 0, 102, 78], "category_id": 2, "ignore": 0, "segmentation": [], "image_id": "BloodImage_00049", "id": 555}, {"area": 15336, "iscrowd": 0, "bbox": [452, 0, 142, 108], "category_id": 2, "ignore": 0, "segmentation": [], "image_id": "BloodImage_00049", "id": 556}, {"area": 7548, "iscrowd": 0, "bbox": [0, 240, 68, 111], "category_id": 2, "ignore": 0, "segmentation": [], "image_id": "BloodImage_00049", "id": 557}, {"area": 10692, "iscrowd": 0, "bbox": [40, 0, 99, 108], "category_id": 2, "ignore": 0, "segmentation": [], "image_id": "BloodImage_00049", "id": 558}, {"area": 10070, "iscrowd": 0, "bbox": [110, 148, 95, 106], "category_id": 2, "ignore": 0, "segmentation": [], "image_id": "BloodImage_00050", "id": 559}, {"area": 11770, "iscrowd": 0, "bbox": [483, 79, 110, 107], "category_id": 2, "ignore": 0, "segmentation": [], "image_id": "BloodImage_00050", "id": 560}, {"area": 11770, "iscrowd": 0, "bbox": [364, 108, 110, 107], "category_id": 2, "ignore": 0, "segmentation": [], "image_id": "BloodImage_00050", "id": 561}, {"area": 12744, "iscrowd": 0, "bbox": [420, 300, 108, 118], "category_id": 2, "ignore": 0, "segmentation": [], "image_id": "BloodImage_00050", "id": 562}, {"area": 10593, "iscrowd": 0, "bbox": [249, 312, 99, 107], "category_id": 2, "ignore": 0, "segmentation": [], "image_id": "BloodImage_00050", "id": 563}, {"area": 10593, "iscrowd": 0, "bbox": [157, 316, 99, 107], "category_id": 2, "ignore": 0, "segmentation": [], "image_id": "BloodImage_00050", "id": 564}, {"area": 11232, "iscrowd": 0, "bbox": [320, 38, 104, 108], "category_id": 2, "ignore": 0, "segmentation": [], "image_id": "BloodImage_00050", "id": 565}, {"area": 11978, "iscrowd": 0, "bbox": [28, 63, 113, 106], "category_id": 2, "ignore": 0, "segmentation": [], "image_id": "BloodImage_00050", "id": 566}, {"area": 13462, "iscrowd": 0, "bbox": [322, 247, 127, 106], "category_id": 2, "ignore": 0, "segmentation": [], "image_id": "BloodImage_00050", "id": 567}, {"area": 10593, "iscrowd": 0, "bbox": [513, 367, 99, 107], "category_id": 2, "ignore": 0, "segmentation": [], "image_id": "BloodImage_00050", "id": 568}, {"area": 15561, "iscrowd": 0, "bbox": [171, 0, 133, 117], "category_id": 1, "ignore": 0, "segmentation": [], "image_id": "BloodImage_00050", "id": 569}, {"area": 12360, "iscrowd": 0, "bbox": [213, 80, 120, 103], "category_id": 2, "ignore": 0, "segmentation": [], "image_id": "BloodImage_00052", "id": 570}, {"area": 8832, "iscrowd": 0, "bbox": [331, 55, 92, 96], "category_id": 2, "ignore": 0, "segmentation": [], "image_id": "BloodImage_00052", "id": 571}, {"area": 8832, "iscrowd": 0, "bbox": [345, 156, 92, 96], "category_id": 2, "ignore": 0, "segmentation": [], "image_id": "BloodImage_00052", "id": 572}, {"area": 8832, "iscrowd": 0, "bbox": [414, 240, 92, 96], "category_id": 2, "ignore": 0, "segmentation": [], "image_id": "BloodImage_00052", "id": 573}, {"area": 6561, "iscrowd": 0, "bbox": [174, 120, 81, 81], "category_id": 2, "ignore": 0, "segmentation": [], "image_id": "BloodImage_00052", "id": 574}, {"area": 8900, "iscrowd": 0, "bbox": [447, 391, 100, 89], "category_id": 2, "ignore": 0, "segmentation": [], "image_id": "BloodImage_00052", "id": 575}, {"area": 10788, "iscrowd": 0, "bbox": [256, 387, 116, 93], "category_id": 2, "ignore": 0, "segmentation": [], "image_id": "BloodImage_00052", "id": 576}, {"area": 10788, "iscrowd": 0, "bbox": [5, 387, 116, 93], "category_id": 2, "ignore": 0, "segmentation": [], "image_id": "BloodImage_00052", "id": 577}, {"area": 11600, "iscrowd": 0, "bbox": [493, 50, 116, 100], "category_id": 2, "ignore": 0, "segmentation": [], "image_id": "BloodImage_00052", "id": 578}, {"area": 10720, "iscrowd": 0, "bbox": [374, 0, 134, 80], "category_id": 2, "ignore": 0, "segmentation": [], "image_id": "BloodImage_00052", "id": 579}, {"area": 9476, "iscrowd": 0, "bbox": [548, 339, 92, 103], "category_id": 2, "ignore": 0, "segmentation": [], "image_id": "BloodImage_00052", "id": 580}, {"area": 9310, "iscrowd": 0, "bbox": [570, 200, 70, 133], "category_id": 2, "ignore": 0, "segmentation": [], "image_id": "BloodImage_00052", "id": 581}, {"area": 14260, "iscrowd": 0, "bbox": [38, 83, 115, 124], "category_id": 2, "ignore": 0, "segmentation": [], "image_id": "BloodImage_00052", "id": 582}, {"area": 14260, "iscrowd": 0, "bbox": [21, 277, 115, 124], "category_id": 2, "ignore": 0, "segmentation": [], "image_id": "BloodImage_00052", "id": 583}, {"area": 17415, "iscrowd": 0, "bbox": [112, 231, 129, 135], "category_id": 1, "ignore": 0, "segmentation": [], "image_id": "BloodImage_00052", "id": 584}, {"area": 1845, "iscrowd": 0, "bbox": [293, 193, 45, 41], "category_id": 3, "ignore": 0, "segmentation": [], "image_id": "BloodImage_00052", "id": 585}, {"area": 1845, "iscrowd": 0, "bbox": [240, 257, 45, 41], "category_id": 3, "ignore": 0, "segmentation": [], "image_id": "BloodImage_00052", "id": 586}, {"area": 5676, "iscrowd": 0, "bbox": [480, 235, 66, 86], "category_id": 2, "ignore": 0, "segmentation": [], "image_id": "BloodImage_00052", "id": 587}, {"area": 9900, "iscrowd": 0, "bbox": [450, 18, 110, 90], "category_id": 2, "ignore": 0, "segmentation": [], "image_id": "BloodImage_00054", "id": 588}, {"area": 10058, "iscrowd": 0, "bbox": [407, 117, 107, 94], "category_id": 2, "ignore": 0, "segmentation": [], "image_id": "BloodImage_00054", "id": 589}, {"area": 9372, "iscrowd": 0, "bbox": [431, 414, 142, 66], "category_id": 2, "ignore": 0, "segmentation": [], "image_id": "BloodImage_00054", "id": 590}, {"area": 12705, "iscrowd": 0, "bbox": [268, 322, 105, 121], "category_id": 2, "ignore": 0, "segmentation": [], "image_id": "BloodImage_00054", "id": 591}, {"area": 10640, "iscrowd": 0, "bbox": [287, 137, 112, 95], "category_id": 2, "ignore": 0, "segmentation": [], "image_id": "BloodImage_00054", "id": 592}, {"area": 12705, "iscrowd": 0, "bbox": [532, 204, 105, 121], "category_id": 2, "ignore": 0, "segmentation": [], "image_id": "BloodImage_00054", "id": 593}, {"area": 12276, "iscrowd": 0, "bbox": [476, 268, 124, 99], "category_id": 2, "ignore": 0, "segmentation": [], "image_id": "BloodImage_00054", "id": 594}, {"area": 6800, "iscrowd": 0, "bbox": [134, 185, 85, 80], "category_id": 2, "ignore": 0, "segmentation": [], "image_id": "BloodImage_00054", "id": 595}, {"area": 9130, "iscrowd": 0, "bbox": [4, 217, 110, 83], "category_id": 2, "ignore": 0, "segmentation": [], "image_id": "BloodImage_00054", "id": 596}, {"area": 13680, "iscrowd": 0, "bbox": [41, 339, 120, 114], "category_id": 2, "ignore": 0, "segmentation": [], "image_id": "BloodImage_00054", "id": 597}, {"area": 12508, "iscrowd": 0, "bbox": [144, 60, 118, 106], "category_id": 1, "ignore": 0, "segmentation": [], "image_id": "BloodImage_00054", "id": 598}, {"area": 7560, "iscrowd": 0, "bbox": [556, 124, 84, 90], "category_id": 2, "ignore": 0, "segmentation": [], "image_id": "BloodImage_00054", "id": 599}, {"area": 7008, "iscrowd": 0, "bbox": [281, 407, 96, 73], "category_id": 2, "ignore": 0, "segmentation": [], "image_id": "BloodImage_00054", "id": 600}, {"area": 8372, "iscrowd": 0, "bbox": [179, 342, 91, 92], "category_id": 2, "ignore": 0, "segmentation": [], "image_id": "BloodImage_00054", "id": 601}, {"area": 10450, "iscrowd": 0, "bbox": [429, 110, 110, 95], "category_id": 2, "ignore": 0, "segmentation": [], "image_id": "BloodImage_00056", "id": 602}, {"area": 9384, "iscrowd": 0, "bbox": [328, 120, 102, 92], "category_id": 2, "ignore": 0, "segmentation": [], "image_id": "BloodImage_00056", "id": 603}, {"area": 9384, "iscrowd": 0, "bbox": [392, 365, 102, 92], "category_id": 2, "ignore": 0, "segmentation": [], "image_id": "BloodImage_00056", "id": 604}, {"area": 15372, "iscrowd": 0, "bbox": [36, 11, 122, 126], "category_id": 2, "ignore": 0, "segmentation": [], "image_id": "BloodImage_00056", "id": 605}, {"area": 16428, "iscrowd": 0, "bbox": [261, 0, 148, 111], "category_id": 2, "ignore": 0, "segmentation": [], "image_id": "BloodImage_00056", "id": 606}, {"area": 10528, "iscrowd": 0, "bbox": [170, 203, 112, 94], "category_id": 2, "ignore": 0, "segmentation": [], "image_id": "BloodImage_00056", "id": 607}, {"area": 6720, "iscrowd": 0, "bbox": [224, 311, 80, 84], "category_id": 2, "ignore": 0, "segmentation": [], "image_id": "BloodImage_00056", "id": 608}, {"area": 8000, "iscrowd": 0, "bbox": [316, 349, 100, 80], "category_id": 2, "ignore": 0, "segmentation": [], "image_id": "BloodImage_00056", "id": 609}, {"area": 13680, "iscrowd": 0, "bbox": [506, 322, 120, 114], "category_id": 2, "ignore": 0, "segmentation": [], "image_id": "BloodImage_00056", "id": 610}, {"area": 11770, "iscrowd": 0, "bbox": [236, 98, 110, 107], "category_id": 2, "ignore": 0, "segmentation": [], "image_id": "BloodImage_00056", "id": 611}, {"area": 11424, "iscrowd": 0, "bbox": [419, 17, 102, 112], "category_id": 2, "ignore": 0, "segmentation": [], "image_id": "BloodImage_00056", "id": 612}, {"area": 16440, "iscrowd": 0, "bbox": [273, 235, 137, 120], "category_id": 1, "ignore": 0, "segmentation": [], "image_id": "BloodImage_00056", "id": 613}, {"area": 11132, "iscrowd": 0, "bbox": [404, 190, 121, 92], "category_id": 2, "ignore": 0, "segmentation": [], "image_id": "BloodImage_00059", "id": 614}, {"area": 11132, "iscrowd": 0, "bbox": [281, 268, 121, 92], "category_id": 2, "ignore": 0, "segmentation": [], "image_id": "BloodImage_00059", "id": 615}, {"area": 11132, "iscrowd": 0, "bbox": [115, 365, 121, 92], "category_id": 2, "ignore": 0, "segmentation": [], "image_id": "BloodImage_00059", "id": 616}, {"area": 11132, "iscrowd": 0, "bbox": [26, 280, 121, 92], "category_id": 2, "ignore": 0, "segmentation": [], "image_id": "BloodImage_00059", "id": 617}, {"area": 11132, "iscrowd": 0, "bbox": [46, 94, 121, 92], "category_id": 2, "ignore": 0, "segmentation": [], "image_id": "BloodImage_00059", "id": 618}, {"area": 8439, "iscrowd": 0, "bbox": [159, 35, 97, 87], "category_id": 2, "ignore": 0, "segmentation": [], "image_id": "BloodImage_00059", "id": 619}, {"area": 10509, "iscrowd": 0, "bbox": [408, 48, 113, 93], "category_id": 2, "ignore": 0, "segmentation": [], "image_id": "BloodImage_00059", "id": 620}, {"area": 12317, "iscrowd": 0, "bbox": [227, 311, 113, 109], "category_id": 2, "ignore": 0, "segmentation": [], "image_id": "BloodImage_00059", "id": 621}, {"area": 12317, "iscrowd": 0, "bbox": [108, 177, 113, 109], "category_id": 2, "ignore": 0, "segmentation": [], "image_id": "BloodImage_00059", "id": 622}, {"area": 10600, "iscrowd": 0, "bbox": [292, 54, 100, 106], "category_id": 2, "ignore": 0, "segmentation": [], "image_id": "BloodImage_00059", "id": 623}, {"area": 7954, "iscrowd": 0, "bbox": [48, 0, 97, 82], "category_id": 2, "ignore": 0, "segmentation": [], "image_id": "BloodImage_00059", "id": 624}, {"area": 7020, "iscrowd": 0, "bbox": [511, 415, 108, 65], "category_id": 2, "ignore": 0, "segmentation": [], "image_id": "BloodImage_00059", "id": 625}, {"area": 15120, "iscrowd": 0, "bbox": [208, 172, 120, 126], "category_id": 1, "ignore": 0, "segmentation": [], "image_id": "BloodImage_00059", "id": 626}, {"area": 9898, "iscrowd": 0, "bbox": [16, 234, 98, 101], "category_id": 2, "ignore": 0, "segmentation": [], "image_id": "BloodImage_00069", "id": 627}, {"area": 9898, "iscrowd": 0, "bbox": [209, 271, 98, 101], "category_id": 2, "ignore": 0, "segmentation": [], "image_id": "BloodImage_00069", "id": 628}, {"area": 12705, "iscrowd": 0, "bbox": [324, 133, 121, 105], "category_id": 2, "ignore": 0, "segmentation": [], "image_id": "BloodImage_00069", "id": 629}, {"area": 11322, "iscrowd": 0, "bbox": [269, 56, 111, 102], "category_id": 2, "ignore": 0, "segmentation": [], "image_id": "BloodImage_00069", "id": 630}, {"area": 10664, "iscrowd": 0, "bbox": [159, 0, 124, 86], "category_id": 2, "ignore": 0, "segmentation": [], "image_id": "BloodImage_00069", "id": 631}, {"area": 11009, "iscrowd": 0, "bbox": [189, 152, 109, 101], "category_id": 2, "ignore": 0, "segmentation": [], "image_id": "BloodImage_00069", "id": 632}, {"area": 11118, "iscrowd": 0, "bbox": [427, 378, 109, 102], "category_id": 2, "ignore": 0, "segmentation": [], "image_id": "BloodImage_00069", "id": 633}, {"area": 11118, "iscrowd": 0, "bbox": [476, 195, 109, 102], "category_id": 2, "ignore": 0, "segmentation": [], "image_id": "BloodImage_00069", "id": 634}, {"area": 7387, "iscrowd": 0, "bbox": [486, 15, 89, 83], "category_id": 2, "ignore": 0, "segmentation": [], "image_id": "BloodImage_00069", "id": 635}, {"area": 7387, "iscrowd": 0, "bbox": [524, 121, 89, 83], "category_id": 2, "ignore": 0, "segmentation": [], "image_id": "BloodImage_00069", "id": 636}, {"area": 13685, "iscrowd": 0, "bbox": [0, 320, 115, 119], "category_id": 2, "ignore": 0, "segmentation": [], "image_id": "BloodImage_00069", "id": 637}, {"area": 11385, "iscrowd": 0, "bbox": [110, 307, 115, 99], "category_id": 2, "ignore": 0, "segmentation": [], "image_id": "BloodImage_00069", "id": 638}, {"area": 17892, "iscrowd": 0, "bbox": [340, 259, 142, 126], "category_id": 1, "ignore": 0, "segmentation": [], "image_id": "BloodImage_00069", "id": 639}, {"area": 1280, "iscrowd": 0, "bbox": [305, 341, 40, 32], "category_id": 3, "ignore": 0, "segmentation": [], "image_id": "BloodImage_00069", "id": 640}, {"area": 1369, "iscrowd": 0, "bbox": [437, 197, 37, 37], "category_id": 3, "ignore": 0, "segmentation": [], "image_id": "BloodImage_00069", "id": 641}, {"area": 9890, "iscrowd": 0, "bbox": [118, 393, 115, 86], "category_id": 2, "ignore": 0, "segmentation": [], "image_id": "BloodImage_00070", "id": 642}, {"area": 9775, "iscrowd": 0, "bbox": [186, 0, 115, 85], "category_id": 2, "ignore": 0, "segmentation": [], "image_id": "BloodImage_00070", "id": 643}, {"area": 10379, "iscrowd": 0, "bbox": [500, 229, 107, 97], "category_id": 2, "ignore": 0, "segmentation": [], "image_id": "BloodImage_00070", "id": 644}, {"area": 10379, "iscrowd": 0, "bbox": [519, 383, 107, 97], "category_id": 2, "ignore": 0, "segmentation": [], "image_id": "BloodImage_00070", "id": 645}, {"area": 12412, "iscrowd": 0, "bbox": [298, 174, 116, 107], "category_id": 2, "ignore": 0, "segmentation": [], "image_id": "BloodImage_00070", "id": 646}, {"area": 12412, "iscrowd": 0, "bbox": [95, 20, 116, 107], "category_id": 2, "ignore": 0, "segmentation": [], "image_id": "BloodImage_00070", "id": 647}, {"area": 12412, "iscrowd": 0, "bbox": [44, 118, 116, 107], "category_id": 2, "ignore": 0, "segmentation": [], "image_id": "BloodImage_00070", "id": 648}, {"area": 13516, "iscrowd": 0, "bbox": [46, 262, 109, 124], "category_id": 2, "ignore": 0, "segmentation": [], "image_id": "BloodImage_00070", "id": 649}, {"area": 10272, "iscrowd": 0, "bbox": [533, 294, 107, 96], "category_id": 2, "ignore": 0, "segmentation": [], "image_id": "BloodImage_00070", "id": 650}, {"area": 10272, "iscrowd": 0, "bbox": [428, 139, 107, 96], "category_id": 2, "ignore": 0, "segmentation": [], "image_id": "BloodImage_00070", "id": 651}, {"area": 16120, "iscrowd": 0, "bbox": [166, 82, 130, 124], "category_id": 1, "ignore": 0, "segmentation": [], "image_id": "BloodImage_00070", "id": 652}, {"area": 8924, "iscrowd": 0, "bbox": [374, 347, 97, 92], "category_id": 1, "ignore": 0, "segmentation": [], "image_id": "BloodImage_00070", "id": 653}, {"area": 14080, "iscrowd": 0, "bbox": [299, 364, 128, 110], "category_id": 2, "ignore": 0, "segmentation": [], "image_id": "BloodImage_00071", "id": 654}, {"area": 14080, "iscrowd": 0, "bbox": [486, 16, 128, 110], "category_id": 2, "ignore": 0, "segmentation": [], "image_id": "BloodImage_00071", "id": 655}, {"area": 10706, "iscrowd": 0, "bbox": [159, 199, 106, 101], "category_id": 2, "ignore": 0, "segmentation": [], "image_id": "BloodImage_00071", "id": 656}, {"area": 12750, "iscrowd": 0, "bbox": [68, 7, 125, 102], "category_id": 2, "ignore": 0, "segmentation": [], "image_id": "BloodImage_00071", "id": 657}, {"area": 10706, "iscrowd": 0, "bbox": [180, 90, 106, 101], "category_id": 2, "ignore": 0, "segmentation": [], "image_id": "BloodImage_00071", "id": 658}, {"area": 12650, "iscrowd": 0, "bbox": [81, 279, 110, 115], "category_id": 2, "ignore": 0, "segmentation": [], "image_id": "BloodImage_00071", "id": 659}, {"area": 12650, "iscrowd": 0, "bbox": [508, 251, 110, 115], "category_id": 2, "ignore": 0, "segmentation": [], "image_id": "BloodImage_00071", "id": 660}, {"area": 15750, "iscrowd": 0, "bbox": [82, 127, 125, 126], "category_id": 2, "ignore": 0, "segmentation": [], "image_id": "BloodImage_00071", "id": 661}, {"area": 16482, "iscrowd": 0, "bbox": [172, 357, 134, 123], "category_id": 1, "ignore": 0, "segmentation": [], "image_id": "BloodImage_00071", "id": 662}, {"area": 9646, "iscrowd": 0, "bbox": [215, 242, 106, 91], "category_id": 2, "ignore": 0, "segmentation": [], "image_id": "BloodImage_00076", "id": 663}, {"area": 12614, "iscrowd": 0, "bbox": [534, 183, 106, 119], "category_id": 2, "ignore": 0, "segmentation": [], "image_id": "BloodImage_00076", "id": 664}, {"area": 10160, "iscrowd": 0, "bbox": [157, 135, 127, 80], "category_id": 2, "ignore": 0, "segmentation": [], "image_id": "BloodImage_00076", "id": 665}, {"area": 8528, "iscrowd": 0, "bbox": [220, 382, 104, 82], "category_id": 2, "ignore": 0, "segmentation": [], "image_id": "BloodImage_00076", "id": 666}, {"area": 8528, "iscrowd": 0, "bbox": [452, 49, 104, 82], "category_id": 2, "ignore": 0, "segmentation": [], "image_id": "BloodImage_00076", "id": 667}, {"area": 8528, "iscrowd": 0, "bbox": [308, 134, 104, 82], "category_id": 2, "ignore": 0, "segmentation": [], "image_id": "BloodImage_00076", "id": 668}, {"area": 8836, "iscrowd": 0, "bbox": [0, 354, 94, 94], "category_id": 2, "ignore": 0, "segmentation": [], "image_id": "BloodImage_00076", "id": 669}, {"area": 7644, "iscrowd": 0, "bbox": [101, 0, 98, 78], "category_id": 2, "ignore": 0, "segmentation": [], "image_id": "BloodImage_00076", "id": 670}, {"area": 7742, "iscrowd": 0, "bbox": [116, 397, 98, 79], "category_id": 2, "ignore": 0, "segmentation": [], "image_id": "BloodImage_00076", "id": 671}, {"area": 7840, "iscrowd": 0, "bbox": [542, 400, 98, 80], "category_id": 2, "ignore": 0, "segmentation": [], "image_id": "BloodImage_00076", "id": 672}, {"area": 7920, "iscrowd": 0, "bbox": [361, 389, 99, 80], "category_id": 2, "ignore": 0, "segmentation": [], "image_id": "BloodImage_00076", "id": 673}, {"area": 13338, "iscrowd": 0, "bbox": [97, 234, 114, 117], "category_id": 1, "ignore": 0, "segmentation": [], "image_id": "BloodImage_00076", "id": 674}, {"area": 10395, "iscrowd": 0, "bbox": [399, 246, 105, 99], "category_id": 2, "ignore": 0, "segmentation": [], "image_id": "BloodImage_00078", "id": 675}, {"area": 10395, "iscrowd": 0, "bbox": [399, 305, 105, 99], "category_id": 2, "ignore": 0, "segmentation": [], "image_id": "BloodImage_00078", "id": 676}, {"area": 10395, "iscrowd": 0, "bbox": [535, 188, 105, 99], "category_id": 2, "ignore": 0, "segmentation": [], "image_id": "BloodImage_00078", "id": 677}, {"area": 9222, "iscrowd": 0, "bbox": [331, 0, 106, 87], "category_id": 2, "ignore": 0, "segmentation": [], "image_id": "BloodImage_00078", "id": 678}, {"area": 11752, "iscrowd": 0, "bbox": [64, 36, 104, 113], "category_id": 2, "ignore": 0, "segmentation": [], "image_id": "BloodImage_00078", "id": 679}, {"area": 9240, "iscrowd": 0, "bbox": [451, 7, 105, 88], "category_id": 2, "ignore": 0, "segmentation": [], "image_id": "BloodImage_00078", "id": 680}, {"area": 11445, "iscrowd": 0, "bbox": [441, 144, 105, 109], "category_id": 2, "ignore": 0, "segmentation": [], "image_id": "BloodImage_00078", "id": 681}, {"area": 10395, "iscrowd": 0, "bbox": [251, 165, 105, 99], "category_id": 2, "ignore": 0, "segmentation": [], "image_id": "BloodImage_00078", "id": 682}, {"area": 7979, "iscrowd": 0, "bbox": [0, 115, 79, 101], "category_id": 2, "ignore": 0, "segmentation": [], "image_id": "BloodImage_00078", "id": 683}, {"area": 10404, "iscrowd": 0, "bbox": [300, 365, 102, 102], "category_id": 2, "ignore": 0, "segmentation": [], "image_id": "BloodImage_00078", "id": 684}, {"area": 10404, "iscrowd": 0, "bbox": [327, 91, 102, 102], "category_id": 2, "ignore": 0, "segmentation": [], "image_id": "BloodImage_00078", "id": 685}, {"area": 23074, "iscrowd": 0, "bbox": [91, 310, 166, 139], "category_id": 1, "ignore": 0, "segmentation": [], "image_id": "BloodImage_00078", "id": 686}, {"area": 1369, "iscrowd": 0, "bbox": [172, 101, 37, 37], "category_id": 3, "ignore": 0, "segmentation": [], "image_id": "BloodImage_00078", "id": 687}, {"area": 1764, "iscrowd": 0, "bbox": [597, 398, 42, 42], "category_id": 3, "ignore": 0, "segmentation": [], "image_id": "BloodImage_00078", "id": 688}, {"area": 13108, "iscrowd": 0, "bbox": [486, 105, 116, 113], "category_id": 2, "ignore": 0, "segmentation": [], "image_id": "BloodImage_00079", "id": 689}, {"area": 13108, "iscrowd": 0, "bbox": [484, 216, 116, 113], "category_id": 2, "ignore": 0, "segmentation": [], "image_id": "BloodImage_00079", "id": 690}, {"area": 12198, "iscrowd": 0, "bbox": [0, 322, 107, 114], "category_id": 2, "ignore": 0, "segmentation": [], "image_id": "BloodImage_00079", "id": 691}, {"area": 9785, "iscrowd": 0, "bbox": [446, 321, 103, 95], "category_id": 2, "ignore": 0, "segmentation": [], "image_id": "BloodImage_00079", "id": 692}, {"area": 9785, "iscrowd": 0, "bbox": [228, 55, 103, 95], "category_id": 2, "ignore": 0, "segmentation": [], "image_id": "BloodImage_00079", "id": 693}, {"area": 5005, "iscrowd": 0, "bbox": [0, 0, 77, 65], "category_id": 2, "ignore": 0, "segmentation": [], "image_id": "BloodImage_00079", "id": 694}, {"area": 8034, "iscrowd": 0, "bbox": [322, 272, 103, 78], "category_id": 2, "ignore": 0, "segmentation": [], "image_id": "BloodImage_00079", "id": 695}, {"area": 8034, "iscrowd": 0, "bbox": [141, 263, 103, 78], "category_id": 2, "ignore": 0, "segmentation": [], "image_id": "BloodImage_00079", "id": 696}, {"area": 8034, "iscrowd": 0, "bbox": [220, 147, 103, 78], "category_id": 2, "ignore": 0, "segmentation": [], "image_id": "BloodImage_00079", "id": 697}, {"area": 7931, "iscrowd": 0, "bbox": [339, 0, 103, 77], "category_id": 2, "ignore": 0, "segmentation": [], "image_id": "BloodImage_00079", "id": 698}, {"area": 9256, "iscrowd": 0, "bbox": [184, 351, 104, 89], "category_id": 2, "ignore": 0, "segmentation": [], "image_id": "BloodImage_00079", "id": 699}, {"area": 9256, "iscrowd": 0, "bbox": [75, 102, 104, 89], "category_id": 2, "ignore": 0, "segmentation": [], "image_id": "BloodImage_00079", "id": 700}, {"area": 11556, "iscrowd": 0, "bbox": [398, 106, 108, 107], "category_id": 2, "ignore": 0, "segmentation": [], "image_id": "BloodImage_00079", "id": 701}, {"area": 12495, "iscrowd": 0, "bbox": [360, 364, 119, 105], "category_id": 2, "ignore": 0, "segmentation": [], "image_id": "BloodImage_00079", "id": 702}, {"area": 5548, "iscrowd": 0, "bbox": [226, 280, 76, 73], "category_id": 2, "ignore": 0, "segmentation": [], "image_id": "BloodImage_00079", "id": 703}, {"area": 14278, "iscrowd": 0, "bbox": [0, 198, 121, 118], "category_id": 1, "ignore": 0, "segmentation": [], "image_id": "BloodImage_00079", "id": 704}, {"area": 756, "iscrowd": 0, "bbox": [531, 297, 27, 28], "category_id": 3, "ignore": 0, "segmentation": [], "image_id": "BloodImage_00079", "id": 705}, {"area": 9324, "iscrowd": 0, "bbox": [345, 195, 111, 84], "category_id": 2, "ignore": 0, "segmentation": [], "image_id": "BloodImage_00081", "id": 706}, {"area": 9324, "iscrowd": 0, "bbox": [242, 265, 111, 84], "category_id": 2, "ignore": 0, "segmentation": [], "image_id": "BloodImage_00081", "id": 707}, {"area": 10185, "iscrowd": 0, "bbox": [238, 173, 105, 97], "category_id": 2, "ignore": 0, "segmentation": [], "image_id": "BloodImage_00081", "id": 708}, {"area": 9240, "iscrowd": 0, "bbox": [231, 0, 105, 88], "category_id": 2, "ignore": 0, "segmentation": [], "image_id": "BloodImage_00081", "id": 709}, {"area": 11448, "iscrowd": 0, "bbox": [103, 0, 108, 106], "category_id": 2, "ignore": 0, "segmentation": [], "image_id": "BloodImage_00081", "id": 710}, {"area": 12051, "iscrowd": 0, "bbox": [298, 59, 117, 103], "category_id": 2, "ignore": 0, "segmentation": [], "image_id": "BloodImage_00081", "id": 711}, {"area": 11500, "iscrowd": 0, "bbox": [498, 27, 115, 100], "category_id": 2, "ignore": 0, "segmentation": [], "image_id": "BloodImage_00081", "id": 712}, {"area": 10185, "iscrowd": 0, "bbox": [6, 286, 105, 97], "category_id": 2, "ignore": 0, "segmentation": [], "image_id": "BloodImage_00081", "id": 713}, {"area": 10185, "iscrowd": 0, "bbox": [209, 366, 105, 97], "category_id": 2, "ignore": 0, "segmentation": [], "image_id": "BloodImage_00081", "id": 714}, {"area": 10185, "iscrowd": 0, "bbox": [492, 97, 105, 97], "category_id": 2, "ignore": 0, "segmentation": [], "image_id": "BloodImage_00081", "id": 715}, {"area": 4623, "iscrowd": 0, "bbox": [443, 0, 69, 67], "category_id": 2, "ignore": 0, "segmentation": [], "image_id": "BloodImage_00081", "id": 716}, {"area": 6232, "iscrowd": 0, "bbox": [13, 404, 82, 76], "category_id": 2, "ignore": 0, "segmentation": [], "image_id": "BloodImage_00081", "id": 717}, {"area": 7221, "iscrowd": 0, "bbox": [148, 278, 87, 83], "category_id": 2, "ignore": 0, "segmentation": [], "image_id": "BloodImage_00081", "id": 718}, {"area": 5850, "iscrowd": 0, "bbox": [136, 381, 75, 78], "category_id": 2, "ignore": 0, "segmentation": [], "image_id": "BloodImage_00081", "id": 719}, {"area": 17667, "iscrowd": 0, "bbox": [300, 345, 151, 117], "category_id": 1, "ignore": 0, "segmentation": [], "image_id": "BloodImage_00081", "id": 720}, {"area": 2024, "iscrowd": 0, "bbox": [357, 299, 44, 46], "category_id": 3, "ignore": 0, "segmentation": [], "image_id": "BloodImage_00081", "id": 721}, {"area": 2024, "iscrowd": 0, "bbox": [248, 86, 44, 46], "category_id": 3, "ignore": 0, "segmentation": [], "image_id": "BloodImage_00081", "id": 722}, {"area": 11280, "iscrowd": 0, "bbox": [92, 63, 120, 94], "category_id": 2, "ignore": 0, "segmentation": [], "image_id": "BloodImage_00082", "id": 723}, {"area": 13113, "iscrowd": 0, "bbox": [0, 0, 93, 141], "category_id": 2, "ignore": 0, "segmentation": [], "image_id": "BloodImage_00082", "id": 724}, {"area": 9696, "iscrowd": 0, "bbox": [14, 374, 96, 101], "category_id": 2, "ignore": 0, "segmentation": [], "image_id": "BloodImage_00082", "id": 725}, {"area": 14874, "iscrowd": 0, "bbox": [263, 222, 134, 111], "category_id": 2, "ignore": 0, "segmentation": [], "image_id": "BloodImage_00082", "id": 726}, {"area": 14763, "iscrowd": 0, "bbox": [0, 203, 133, 111], "category_id": 2, "ignore": 0, "segmentation": [], "image_id": "BloodImage_00082", "id": 727}, {"area": 14874, "iscrowd": 0, "bbox": [476, 291, 134, 111], "category_id": 2, "ignore": 0, "segmentation": [], "image_id": "BloodImage_00082", "id": 728}, {"area": 10605, "iscrowd": 0, "bbox": [421, 206, 101, 105], "category_id": 2, "ignore": 0, "segmentation": [], "image_id": "BloodImage_00082", "id": 729}, {"area": 10605, "iscrowd": 0, "bbox": [445, 375, 101, 105], "category_id": 2, "ignore": 0, "segmentation": [], "image_id": "BloodImage_00082", "id": 730}, {"area": 12051, "iscrowd": 0, "bbox": [215, 98, 117, 103], "category_id": 2, "ignore": 0, "segmentation": [], "image_id": "BloodImage_00082", "id": 731}, {"area": 12051, "iscrowd": 0, "bbox": [109, 292, 117, 103], "category_id": 2, "ignore": 0, "segmentation": [], "image_id": "BloodImage_00082", "id": 732}, {"area": 15128, "iscrowd": 0, "bbox": [256, 334, 124, 122], "category_id": 1, "ignore": 0, "segmentation": [], "image_id": "BloodImage_00082", "id": 733}, {"area": 26936, "iscrowd": 0, "bbox": [90, 254, 182, 148], "category_id": 1, "ignore": 0, "segmentation": [], "image_id": "BloodImage_00083", "id": 734}, {"area": 1369, "iscrowd": 0, "bbox": [461, 82, 37, 37], "category_id": 3, "ignore": 0, "segmentation": [], "image_id": "BloodImage_00083", "id": 735}, {"area": 2700, "iscrowd": 0, "bbox": [428, 15, 54, 50], "category_id": 3, "ignore": 0, "segmentation": [], "image_id": "BloodImage_00083", "id": 736}, {"area": 1369, "iscrowd": 0, "bbox": [164, 430, 37, 37], "category_id": 3, "ignore": 0, "segmentation": [], "image_id": "BloodImage_00083", "id": 737}, {"area": 12720, "iscrowd": 0, "bbox": [513, 266, 120, 106], "category_id": 2, "ignore": 0, "segmentation": [], "image_id": "BloodImage_00083", "id": 738}, {"area": 12720, "iscrowd": 0, "bbox": [208, 150, 120, 106], "category_id": 2, "ignore": 0, "segmentation": [], "image_id": "BloodImage_00083", "id": 739}, {"area": 12720, "iscrowd": 0, "bbox": [246, 118, 120, 106], "category_id": 2, "ignore": 0, "segmentation": [], "image_id": "BloodImage_00083", "id": 740}, {"area": 12720, "iscrowd": 0, "bbox": [309, 134, 120, 106], "category_id": 2, "ignore": 0, "segmentation": [], "image_id": "BloodImage_00083", "id": 741}, {"area": 12720, "iscrowd": 0, "bbox": [355, 129, 120, 106], "category_id": 2, "ignore": 0, "segmentation": [], "image_id": "BloodImage_00083", "id": 742}, {"area": 12720, "iscrowd": 0, "bbox": [398, 152, 120, 106], "category_id": 2, "ignore": 0, "segmentation": [], "image_id": "BloodImage_00083", "id": 743}, {"area": 12720, "iscrowd": 0, "bbox": [436, 160, 120, 106], "category_id": 2, "ignore": 0, "segmentation": [], "image_id": "BloodImage_00083", "id": 744}, {"area": 12720, "iscrowd": 0, "bbox": [505, 136, 120, 106], "category_id": 2, "ignore": 0, "segmentation": [], "image_id": "BloodImage_00083", "id": 745}, {"area": 12600, "iscrowd": 0, "bbox": [112, 0, 120, 105], "category_id": 2, "ignore": 0, "segmentation": [], "image_id": "BloodImage_00083", "id": 746}, {"area": 12600, "iscrowd": 0, "bbox": [216, 0, 120, 105], "category_id": 2, "ignore": 0, "segmentation": [], "image_id": "BloodImage_00083", "id": 747}, {"area": 12720, "iscrowd": 0, "bbox": [291, 26, 120, 106], "category_id": 2, "ignore": 0, "segmentation": [], "image_id": "BloodImage_00083", "id": 748}, {"area": 13100, "iscrowd": 0, "bbox": [0, 181, 100, 131], "category_id": 2, "ignore": 0, "segmentation": [], "image_id": "BloodImage_00083", "id": 749}, {"area": 10043, "iscrowd": 0, "bbox": [357, 397, 121, 83], "category_id": 2, "ignore": 0, "segmentation": [], "image_id": "BloodImage_00083", "id": 750}, {"area": 14640, "iscrowd": 0, "bbox": [70, 125, 122, 120], "category_id": 1, "ignore": 0, "segmentation": [], "image_id": "BloodImage_00086", "id": 751}, {"area": 1558, "iscrowd": 0, "bbox": [449, 50, 41, 38], "category_id": 3, "ignore": 0, "segmentation": [], "image_id": "BloodImage_00086", "id": 752}, {"area": 1558, "iscrowd": 0, "bbox": [553, 359, 41, 38], "category_id": 3, "ignore": 0, "segmentation": [], "image_id": "BloodImage_00086", "id": 753}, {"area": 1558, "iscrowd": 0, "bbox": [510, 424, 41, 38], "category_id": 3, "ignore": 0, "segmentation": [], "image_id": "BloodImage_00086", "id": 754}, {"area": 1482, "iscrowd": 0, "bbox": [0, 203, 39, 38], "category_id": 3, "ignore": 0, "segmentation": [], "image_id": "BloodImage_00086", "id": 755}, {"area": 11900, "iscrowd": 0, "bbox": [427, 102, 119, 100], "category_id": 2, "ignore": 0, "segmentation": [], "image_id": "BloodImage_00086", "id": 756}, {"area": 11900, "iscrowd": 0, "bbox": [304, 253, 119, 100], "category_id": 2, "ignore": 0, "segmentation": [], "image_id": "BloodImage_00086", "id": 757}, {"area": 11900, "iscrowd": 0, "bbox": [268, 367, 119, 100], "category_id": 2, "ignore": 0, "segmentation": [], "image_id": "BloodImage_00086", "id": 758}, {"area": 11800, "iscrowd": 0, "bbox": [0, 243, 118, 100], "category_id": 2, "ignore": 0, "segmentation": [], "image_id": "BloodImage_00086", "id": 759}, {"area": 11800, "iscrowd": 0, "bbox": [0, 306, 118, 100], "category_id": 2, "ignore": 0, "segmentation": [], "image_id": "BloodImage_00086", "id": 760}, {"area": 5358, "iscrowd": 0, "bbox": [76, 423, 94, 57], "category_id": 2, "ignore": 0, "segmentation": [], "image_id": "BloodImage_00086", "id": 761}, {"area": 14560, "iscrowd": 0, "bbox": [190, 54, 112, 130], "category_id": 2, "ignore": 0, "segmentation": [], "image_id": "BloodImage_00086", "id": 762}, {"area": 8930, "iscrowd": 0, "bbox": [238, 172, 95, 94], "category_id": 2, "ignore": 0, "segmentation": [], "image_id": "BloodImage_00086", "id": 763}, {"area": 9540, "iscrowd": 0, "bbox": [376, 326, 90, 106], "category_id": 2, "ignore": 0, "segmentation": [], "image_id": "BloodImage_00086", "id": 764}, {"area": 8930, "iscrowd": 0, "bbox": [293, 156, 95, 94], "category_id": 2, "ignore": 0, "segmentation": [], "image_id": "BloodImage_00086", "id": 765}, {"area": 9768, "iscrowd": 0, "bbox": [494, 99, 111, 88], "category_id": 2, "ignore": 0, "segmentation": [], "image_id": "BloodImage_00087", "id": 766}, {"area": 10120, "iscrowd": 0, "bbox": [406, 87, 110, 92], "category_id": 2, "ignore": 0, "segmentation": [], "image_id": "BloodImage_00087", "id": 767}, {"area": 12995, "iscrowd": 0, "bbox": [350, 194, 115, 113], "category_id": 2, "ignore": 0, "segmentation": [], "image_id": "BloodImage_00087", "id": 768}, {"area": 10165, "iscrowd": 0, "bbox": [372, 385, 107, 95], "category_id": 2, "ignore": 0, "segmentation": [], "image_id": "BloodImage_00087", "id": 769}, {"area": 9951, "iscrowd": 0, "bbox": [126, 0, 107, 93], "category_id": 2, "ignore": 0, "segmentation": [], "image_id": "BloodImage_00087", "id": 770}, {"area": 10058, "iscrowd": 0, "bbox": [295, 85, 107, 94], "category_id": 2, "ignore": 0, "segmentation": [], "image_id": "BloodImage_00087", "id": 771}, {"area": 10058, "iscrowd": 0, "bbox": [128, 346, 107, 94], "category_id": 2, "ignore": 0, "segmentation": [], "image_id": "BloodImage_00087", "id": 772}, {"area": 11235, "iscrowd": 0, "bbox": [191, 222, 105, 107], "category_id": 1, "ignore": 0, "segmentation": [], "image_id": "BloodImage_00087", "id": 773}, {"area": 13029, "iscrowd": 0, "bbox": [229, 142, 129, 101], "category_id": 2, "ignore": 0, "segmentation": [], "image_id": "BloodImage_00090", "id": 774}, {"area": 9408, "iscrowd": 0, "bbox": [236, 0, 112, 84], "category_id": 2, "ignore": 0, "segmentation": [], "image_id": "BloodImage_00090", "id": 775}, {"area": 9520, "iscrowd": 0, "bbox": [133, 77, 112, 85], "category_id": 2, "ignore": 0, "segmentation": [], "image_id": "BloodImage_00090", "id": 776}, {"area": 7896, "iscrowd": 0, "bbox": [79, 52, 94, 84], "category_id": 2, "ignore": 0, "segmentation": [], "image_id": "BloodImage_00090", "id": 777}, {"area": 7663, "iscrowd": 0, "bbox": [494, 0, 97, 79], "category_id": 2, "ignore": 0, "segmentation": [], "image_id": "BloodImage_00090", "id": 778}, {"area": 7990, "iscrowd": 0, "bbox": [105, 202, 94, 85], "category_id": 2, "ignore": 0, "segmentation": [], "image_id": "BloodImage_00090", "id": 779}, {"area": 7990, "iscrowd": 0, "bbox": [407, 382, 94, 85], "category_id": 2, "ignore": 0, "segmentation": [], "image_id": "BloodImage_00090", "id": 780}, {"area": 7990, "iscrowd": 0, "bbox": [460, 373, 94, 85], "category_id": 2, "ignore": 0, "segmentation": [], "image_id": "BloodImage_00090", "id": 781}, {"area": 7990, "iscrowd": 0, "bbox": [231, 376, 94, 85], "category_id": 2, "ignore": 0, "segmentation": [], "image_id": "BloodImage_00090", "id": 782}, {"area": 11110, "iscrowd": 0, "bbox": [470, 79, 101, 110], "category_id": 2, "ignore": 0, "segmentation": [], "image_id": "BloodImage_00090", "id": 783}, {"area": 7560, "iscrowd": 0, "bbox": [377, 0, 105, 72], "category_id": 2, "ignore": 0, "segmentation": [], "image_id": "BloodImage_00090", "id": 784}, {"area": 10302, "iscrowd": 0, "bbox": [18, 154, 101, 102], "category_id": 2, "ignore": 0, "segmentation": [], "image_id": "BloodImage_00090", "id": 785}, {"area": 15744, "iscrowd": 0, "bbox": [239, 261, 123, 128], "category_id": 1, "ignore": 0, "segmentation": [], "image_id": "BloodImage_00090", "id": 786}, {"area": 1638, "iscrowd": 0, "bbox": [401, 71, 39, 42], "category_id": 3, "ignore": 0, "segmentation": [], "image_id": "BloodImage_00090", "id": 787}, {"area": 1638, "iscrowd": 0, "bbox": [261, 73, 39, 42], "category_id": 3, "ignore": 0, "segmentation": [], "image_id": "BloodImage_00090", "id": 788}, {"area": 10890, "iscrowd": 0, "bbox": [184, 137, 110, 99], "category_id": 2, "ignore": 0, "segmentation": [], "image_id": "BloodImage_00091", "id": 789}, {"area": 10890, "iscrowd": 0, "bbox": [272, 154, 110, 99], "category_id": 2, "ignore": 0, "segmentation": [], "image_id": "BloodImage_00091", "id": 790}, {"area": 10890, "iscrowd": 0, "bbox": [429, 226, 110, 99], "category_id": 2, "ignore": 0, "segmentation": [], "image_id": "BloodImage_00091", "id": 791}, {"area": 10890, "iscrowd": 0, "bbox": [521, 152, 110, 99], "category_id": 2, "ignore": 0, "segmentation": [], "image_id": "BloodImage_00091", "id": 792}, {"area": 10890, "iscrowd": 0, "bbox": [324, 253, 110, 99], "category_id": 2, "ignore": 0, "segmentation": [], "image_id": "BloodImage_00091", "id": 793}, {"area": 10890, "iscrowd": 0, "bbox": [293, 304, 110, 99], "category_id": 2, "ignore": 0, "segmentation": [], "image_id": "BloodImage_00091", "id": 794}, {"area": 10890, "iscrowd": 0, "bbox": [346, 27, 110, 99], "category_id": 2, "ignore": 0, "segmentation": [], "image_id": "BloodImage_00091", "id": 795}, {"area": 10890, "iscrowd": 0, "bbox": [458, 90, 110, 99], "category_id": 2, "ignore": 0, "segmentation": [], "image_id": "BloodImage_00091", "id": 796}, {"area": 10890, "iscrowd": 0, "bbox": [329, 371, 110, 99], "category_id": 2, "ignore": 0, "segmentation": [], "image_id": "BloodImage_00091", "id": 797}, {"area": 15029, "iscrowd": 0, "bbox": [209, 2, 133, 113], "category_id": 1, "ignore": 0, "segmentation": [], "image_id": "BloodImage_00091", "id": 798}, {"area": 10914, "iscrowd": 0, "bbox": [13, 274, 102, 107], "category_id": 2, "ignore": 0, "segmentation": [], "image_id": "BloodImage_00092", "id": 799}, {"area": 10807, "iscrowd": 0, "bbox": [0, 373, 101, 107], "category_id": 2, "ignore": 0, "segmentation": [], "image_id": "BloodImage_00092", "id": 800}, {"area": 10914, "iscrowd": 0, "bbox": [342, 365, 102, 107], "category_id": 2, "ignore": 0, "segmentation": [], "image_id": "BloodImage_00092", "id": 801}, {"area": 8645, "iscrowd": 0, "bbox": [293, 385, 91, 95], "category_id": 2, "ignore": 0, "segmentation": [], "image_id": "BloodImage_00092", "id": 802}, {"area": 8645, "iscrowd": 0, "bbox": [332, 247, 91, 95], "category_id": 2, "ignore": 0, "segmentation": [], "image_id": "BloodImage_00092", "id": 803}, {"area": 11305, "iscrowd": 0, "bbox": [197, 0, 85, 133], "category_id": 2, "ignore": 0, "segmentation": [], "image_id": "BloodImage_00092", "id": 804}, {"area": 9612, "iscrowd": 0, "bbox": [459, 145, 89, 108], "category_id": 2, "ignore": 0, "segmentation": [], "image_id": "BloodImage_00092", "id": 805}, {"area": 9612, "iscrowd": 0, "bbox": [494, 144, 89, 108], "category_id": 2, "ignore": 0, "segmentation": [], "image_id": "BloodImage_00092", "id": 806}, {"area": 10094, "iscrowd": 0, "bbox": [542, 157, 98, 103], "category_id": 2, "ignore": 0, "segmentation": [], "image_id": "BloodImage_00092", "id": 807}, {"area": 11655, "iscrowd": 0, "bbox": [519, 266, 111, 105], "category_id": 2, "ignore": 0, "segmentation": [], "image_id": "BloodImage_00092", "id": 808}, {"area": 7560, "iscrowd": 0, "bbox": [309, 182, 90, 84], "category_id": 2, "ignore": 0, "segmentation": [], "image_id": "BloodImage_00092", "id": 809}, {"area": 7992, "iscrowd": 0, "bbox": [532, 0, 108, 74], "category_id": 2, "ignore": 0, "segmentation": [], "image_id": "BloodImage_00092", "id": 810}, {"area": 16896, "iscrowd": 0, "bbox": [281, 41, 132, 128], "category_id": 1, "ignore": 0, "segmentation": [], "image_id": "BloodImage_00092", "id": 811}, {"area": 1320, "iscrowd": 0, "bbox": [484, 335, 40, 33], "category_id": 3, "ignore": 0, "segmentation": [], "image_id": "BloodImage_00092", "id": 812}, {"area": 11484, "iscrowd": 0, "bbox": [3, 353, 116, 99], "category_id": 2, "ignore": 0, "segmentation": [], "image_id": "BloodImage_00094", "id": 813}, {"area": 18760, "iscrowd": 0, "bbox": [28, 232, 134, 140], "category_id": 2, "ignore": 0, "segmentation": [], "image_id": "BloodImage_00094", "id": 814}, {"area": 10810, "iscrowd": 0, "bbox": [38, 173, 115, 94], "category_id": 2, "ignore": 0, "segmentation": [], "image_id": "BloodImage_00094", "id": 815}, {"area": 9039, "iscrowd": 0, "bbox": [137, 167, 69, 131], "category_id": 2, "ignore": 0, "segmentation": [], "image_id": "BloodImage_00094", "id": 816}, {"area": 6636, "iscrowd": 0, "bbox": [21, 0, 84, 79], "category_id": 2, "ignore": 0, "segmentation": [], "image_id": "BloodImage_00094", "id": 817}, {"area": 11648, "iscrowd": 0, "bbox": [259, 45, 104, 112], "category_id": 2, "ignore": 0, "segmentation": [], "image_id": "BloodImage_00094", "id": 818}, {"area": 7568, "iscrowd": 0, "bbox": [382, 14, 88, 86], "category_id": 2, "ignore": 0, "segmentation": [], "image_id": "BloodImage_00094", "id": 819}, {"area": 9680, "iscrowd": 0, "bbox": [168, 103, 110, 88], "category_id": 2, "ignore": 0, "segmentation": [], "image_id": "BloodImage_00094", "id": 820}, {"area": 10680, "iscrowd": 0, "bbox": [193, 226, 120, 89], "category_id": 2, "ignore": 0, "segmentation": [], "image_id": "BloodImage_00094", "id": 821}, {"area": 13340, "iscrowd": 0, "bbox": [159, 317, 116, 115], "category_id": 2, "ignore": 0, "segmentation": [], "image_id": "BloodImage_00094", "id": 822}, {"area": 13340, "iscrowd": 0, "bbox": [230, 319, 116, 115], "category_id": 2, "ignore": 0, "segmentation": [], "image_id": "BloodImage_00094", "id": 823}, {"area": 14848, "iscrowd": 0, "bbox": [355, 300, 116, 128], "category_id": 2, "ignore": 0, "segmentation": [], "image_id": "BloodImage_00094", "id": 824}, {"area": 10374, "iscrowd": 0, "bbox": [93, 41, 78, 133], "category_id": 2, "ignore": 0, "segmentation": [], "image_id": "BloodImage_00094", "id": 825}, {"area": 9568, "iscrowd": 0, "bbox": [2, 87, 104, 92], "category_id": 2, "ignore": 0, "segmentation": [], "image_id": "BloodImage_00094", "id": 826}, {"area": 10989, "iscrowd": 0, "bbox": [130, 2, 99, 111], "category_id": 2, "ignore": 0, "segmentation": [], "image_id": "BloodImage_00094", "id": 827}, {"area": 13248, "iscrowd": 0, "bbox": [544, 166, 96, 138], "category_id": 2, "ignore": 0, "segmentation": [], "image_id": "BloodImage_00094", "id": 828}, {"area": 7381, "iscrowd": 0, "bbox": [456, 419, 121, 61], "category_id": 2, "ignore": 0, "segmentation": [], "image_id": "BloodImage_00094", "id": 829}, {"area": 1927, "iscrowd": 0, "bbox": [459, 346, 41, 47], "category_id": 3, "ignore": 0, "segmentation": [], "image_id": "BloodImage_00094", "id": 830}, {"area": 46460, "iscrowd": 0, "bbox": [306, 127, 230, 202], "category_id": 1, "ignore": 0, "segmentation": [], "image_id": "BloodImage_00094", "id": 831}, {"area": 10170, "iscrowd": 0, "bbox": [7, 208, 113, 90], "category_id": 2, "ignore": 0, "segmentation": [], "image_id": "BloodImage_00095", "id": 832}, {"area": 11664, "iscrowd": 0, "bbox": [136, 306, 108, 108], "category_id": 2, "ignore": 0, "segmentation": [], "image_id": "BloodImage_00095", "id": 833}, {"area": 11985, "iscrowd": 0, "bbox": [55, 265, 85, 141], "category_id": 2, "ignore": 0, "segmentation": [], "image_id": "BloodImage_00095", "id": 834}, {"area": 12495, "iscrowd": 0, "bbox": [346, 256, 119, 105], "category_id": 2, "ignore": 0, "segmentation": [], "image_id": "BloodImage_00095", "id": 835}, {"area": 9240, "iscrowd": 0, "bbox": [256, 327, 110, 84], "category_id": 2, "ignore": 0, "segmentation": [], "image_id": "BloodImage_00095", "id": 836}, {"area": 12282, "iscrowd": 0, "bbox": [243, 175, 89, 138], "category_id": 2, "ignore": 0, "segmentation": [], "image_id": "BloodImage_00095", "id": 837}, {"area": 11664, "iscrowd": 0, "bbox": [312, 161, 108, 108], "category_id": 2, "ignore": 0, "segmentation": [], "image_id": "BloodImage_00095", "id": 838}, {"area": 12744, "iscrowd": 0, "bbox": [515, 255, 118, 108], "category_id": 2, "ignore": 0, "segmentation": [], "image_id": "BloodImage_00095", "id": 839}, {"area": 12744, "iscrowd": 0, "bbox": [518, 101, 118, 108], "category_id": 2, "ignore": 0, "segmentation": [], "image_id": "BloodImage_00095", "id": 840}, {"area": 8880, "iscrowd": 0, "bbox": [243, 406, 120, 74], "category_id": 2, "ignore": 0, "segmentation": [], "image_id": "BloodImage_00095", "id": 841}, {"area": 10875, "iscrowd": 0, "bbox": [129, 206, 125, 87], "category_id": 2, "ignore": 0, "segmentation": [], "image_id": "BloodImage_00095", "id": 842}, {"area": 13144, "iscrowd": 0, "bbox": [49, 68, 124, 106], "category_id": 2, "ignore": 0, "segmentation": [], "image_id": "BloodImage_00095", "id": 843}, {"area": 7476, "iscrowd": 0, "bbox": [406, 214, 89, 84], "category_id": 2, "ignore": 0, "segmentation": [], "image_id": "BloodImage_00095", "id": 844}, {"area": 5874, "iscrowd": 0, "bbox": [475, 0, 89, 66], "category_id": 2, "ignore": 0, "segmentation": [], "image_id": "BloodImage_00095", "id": 845}, {"area": 12319, "iscrowd": 0, "bbox": [362, 353, 97, 127], "category_id": 2, "ignore": 0, "segmentation": [], "image_id": "BloodImage_00095", "id": 846}, {"area": 2050, "iscrowd": 0, "bbox": [485, 61, 50, 41], "category_id": 3, "ignore": 0, "segmentation": [], "image_id": "BloodImage_00095", "id": 847}, {"area": 41106, "iscrowd": 0, "bbox": [192, 0, 221, 186], "category_id": 1, "ignore": 0, "segmentation": [], "image_id": "BloodImage_00095", "id": 848}, {"area": 8930, "iscrowd": 0, "bbox": [450, 270, 94, 95], "category_id": 2, "ignore": 0, "segmentation": [], "image_id": "BloodImage_00097", "id": 849}, {"area": 8930, "iscrowd": 0, "bbox": [452, 339, 94, 95], "category_id": 2, "ignore": 0, "segmentation": [], "image_id": "BloodImage_00097", "id": 850}, {"area": 10976, "iscrowd": 0, "bbox": [204, 368, 98, 112], "category_id": 2, "ignore": 0, "segmentation": [], "image_id": "BloodImage_00097", "id": 851}, {"area": 10976, "iscrowd": 0, "bbox": [269, 318, 98, 112], "category_id": 2, "ignore": 0, "segmentation": [], "image_id": "BloodImage_00097", "id": 852}, {"area": 8774, "iscrowd": 0, "bbox": [163, 172, 82, 107], "category_id": 2, "ignore": 0, "segmentation": [], "image_id": "BloodImage_00097", "id": 853}, {"area": 13312, "iscrowd": 0, "bbox": [205, 51, 104, 128], "category_id": 2, "ignore": 0, "segmentation": [], "image_id": "BloodImage_00097", "id": 854}, {"area": 10600, "iscrowd": 0, "bbox": [60, 130, 100, 106], "category_id": 2, "ignore": 0, "segmentation": [], "image_id": "BloodImage_00097", "id": 855}, {"area": 8858, "iscrowd": 0, "bbox": [554, 171, 86, 103], "category_id": 2, "ignore": 0, "segmentation": [], "image_id": "BloodImage_00097", "id": 856}, {"area": 10908, "iscrowd": 0, "bbox": [36, 302, 108, 101], "category_id": 2, "ignore": 0, "segmentation": [], "image_id": "BloodImage_00097", "id": 857}, {"area": 11009, "iscrowd": 0, "bbox": [501, 56, 109, 101], "category_id": 2, "ignore": 0, "segmentation": [], "image_id": "BloodImage_00097", "id": 858}, {"area": 11009, "iscrowd": 0, "bbox": [380, 1, 109, 101], "category_id": 2, "ignore": 0, "segmentation": [], "image_id": "BloodImage_00097", "id": 859}, {"area": 8099, "iscrowd": 0, "bbox": [102, 24, 91, 89], "category_id": 2, "ignore": 0, "segmentation": [], "image_id": "BloodImage_00097", "id": 860}, {"area": 7921, "iscrowd": 0, "bbox": [0, 31, 89, 89], "category_id": 2, "ignore": 0, "segmentation": [], "image_id": "BloodImage_00097", "id": 861}, {"area": 9434, "iscrowd": 0, "bbox": [246, 247, 106, 89], "category_id": 2, "ignore": 0, "segmentation": [], "image_id": "BloodImage_00097", "id": 862}, {"area": 8080, "iscrowd": 0, "bbox": [0, 137, 80, 101], "category_id": 2, "ignore": 0, "segmentation": [], "image_id": "BloodImage_00097", "id": 863}, {"area": 7084, "iscrowd": 0, "bbox": [105, 227, 77, 92], "category_id": 2, "ignore": 0, "segmentation": [], "image_id": "BloodImage_00097", "id": 864}, {"area": 56252, "iscrowd": 0, "bbox": [267, 90, 287, 196], "category_id": 1, "ignore": 0, "segmentation": [], "image_id": "BloodImage_00097", "id": 865}, {"area": 10602, "iscrowd": 0, "bbox": [228, 237, 114, 93], "category_id": 2, "ignore": 0, "segmentation": [], "image_id": "BloodImage_00100", "id": 866}, {"area": 13104, "iscrowd": 0, "bbox": [151, 145, 117, 112], "category_id": 2, "ignore": 0, "segmentation": [], "image_id": "BloodImage_00100", "id": 867}, {"area": 13104, "iscrowd": 0, "bbox": [149, 143, 117, 112], "category_id": 2, "ignore": 0, "segmentation": [], "image_id": "BloodImage_00100", "id": 868}, {"area": 11440, "iscrowd": 0, "bbox": [69, 196, 110, 104], "category_id": 2, "ignore": 0, "segmentation": [], "image_id": "BloodImage_00100", "id": 869}, {"area": 7954, "iscrowd": 0, "bbox": [6, 0, 97, 82], "category_id": 2, "ignore": 0, "segmentation": [], "image_id": "BloodImage_00100", "id": 870}, {"area": 9870, "iscrowd": 0, "bbox": [468, 27, 105, 94], "category_id": 2, "ignore": 0, "segmentation": [], "image_id": "BloodImage_00100", "id": 871}, {"area": 10403, "iscrowd": 0, "bbox": [493, 136, 103, 101], "category_id": 2, "ignore": 0, "segmentation": [], "image_id": "BloodImage_00100", "id": 872}, {"area": 7735, "iscrowd": 0, "bbox": [26, 304, 85, 91], "category_id": 2, "ignore": 0, "segmentation": [], "image_id": "BloodImage_00100", "id": 873}, {"area": 7735, "iscrowd": 0, "bbox": [44, 104, 85, 91], "category_id": 2, "ignore": 0, "segmentation": [], "image_id": "BloodImage_00100", "id": 874}, {"area": 7735, "iscrowd": 0, "bbox": [31, 190, 85, 91], "category_id": 2, "ignore": 0, "segmentation": [], "image_id": "BloodImage_00100", "id": 875}, {"area": 7102, "iscrowd": 0, "bbox": [338, 261, 67, 106], "category_id": 2, "ignore": 0, "segmentation": [], "image_id": "BloodImage_00100", "id": 876}, {"area": 8184, "iscrowd": 0, "bbox": [367, 58, 93, 88], "category_id": 2, "ignore": 0, "segmentation": [], "image_id": "BloodImage_00100", "id": 877}, {"area": 8874, "iscrowd": 0, "bbox": [414, 139, 102, 87], "category_id": 2, "ignore": 0, "segmentation": [], "image_id": "BloodImage_00100", "id": 878}, {"area": 6936, "iscrowd": 0, "bbox": [343, 411, 102, 68], "category_id": 2, "ignore": 0, "segmentation": [], "image_id": "BloodImage_00100", "id": 879}, {"area": 9009, "iscrowd": 0, "bbox": [143, 249, 91, 99], "category_id": 2, "ignore": 0, "segmentation": [], "image_id": "BloodImage_00100", "id": 880}, {"area": 39372, "iscrowd": 0, "bbox": [397, 227, 193, 204], "category_id": 1, "ignore": 0, "segmentation": [], "image_id": "BloodImage_00100", "id": 881}, {"area": 1638, "iscrowd": 0, "bbox": [305, 382, 42, 39], "category_id": 3, "ignore": 0, "segmentation": [], "image_id": "BloodImage_00100", "id": 882}, {"area": 13176, "iscrowd": 0, "bbox": [121, 269, 122, 108], "category_id": 2, "ignore": 0, "segmentation": [], "image_id": "BloodImage_00101", "id": 883}, {"area": 13176, "iscrowd": 0, "bbox": [1, 127, 122, 108], "category_id": 2, "ignore": 0, "segmentation": [], "image_id": "BloodImage_00101", "id": 884}, {"area": 13176, "iscrowd": 0, "bbox": [239, 38, 122, 108], "category_id": 2, "ignore": 0, "segmentation": [], "image_id": "BloodImage_00101", "id": 885}, {"area": 11009, "iscrowd": 0, "bbox": [353, 78, 109, 101], "category_id": 2, "ignore": 0, "segmentation": [], "image_id": "BloodImage_00101", "id": 886}, {"area": 11009, "iscrowd": 0, "bbox": [436, 42, 109, 101], "category_id": 2, "ignore": 0, "segmentation": [], "image_id": "BloodImage_00101", "id": 887}, {"area": 11124, "iscrowd": 0, "bbox": [483, 127, 108, 103], "category_id": 2, "ignore": 0, "segmentation": [], "image_id": "BloodImage_00101", "id": 888}, {"area": 9672, "iscrowd": 0, "bbox": [117, 0, 104, 93], "category_id": 2, "ignore": 0, "segmentation": [], "image_id": "BloodImage_00101", "id": 889}, {"area": 11011, "iscrowd": 0, "bbox": [228, 164, 121, 91], "category_id": 2, "ignore": 0, "segmentation": [], "image_id": "BloodImage_00101", "id": 890}, {"area": 9216, "iscrowd": 0, "bbox": [544, 40, 96, 96], "category_id": 2, "ignore": 0, "segmentation": [], "image_id": "BloodImage_00101", "id": 891}, {"area": 10640, "iscrowd": 0, "bbox": [312, 195, 112, 95], "category_id": 2, "ignore": 0, "segmentation": [], "image_id": "BloodImage_00101", "id": 892}, {"area": 11877, "iscrowd": 0, "bbox": [205, 222, 111, 107], "category_id": 2, "ignore": 0, "segmentation": [], "image_id": "BloodImage_00101", "id": 893}, {"area": 9696, "iscrowd": 0, "bbox": [180, 337, 96, 101], "category_id": 2, "ignore": 0, "segmentation": [], "image_id": "BloodImage_00101", "id": 894}, {"area": 9315, "iscrowd": 0, "bbox": [439, 226, 135, 69], "category_id": 2, "ignore": 0, "segmentation": [], "image_id": "BloodImage_00101", "id": 895}, {"area": 22752, "iscrowd": 0, "bbox": [363, 288, 158, 144], "category_id": 1, "ignore": 0, "segmentation": [], "image_id": "BloodImage_00101", "id": 896}, {"area": 1330, "iscrowd": 0, "bbox": [270, 412, 38, 35], "category_id": 3, "ignore": 0, "segmentation": [], "image_id": "BloodImage_00101", "id": 897}, {"area": 960, "iscrowd": 0, "bbox": [542, 348, 32, 30], "category_id": 3, "ignore": 0, "segmentation": [], "image_id": "BloodImage_00101", "id": 898}, {"area": 10507, "iscrowd": 0, "bbox": [81, 0, 133, 79], "category_id": 2, "ignore": 0, "segmentation": [], "image_id": "BloodImage_00106", "id": 899}, {"area": 9701, "iscrowd": 0, "bbox": [315, 129, 89, 109], "category_id": 2, "ignore": 0, "segmentation": [], "image_id": "BloodImage_00106", "id": 900}, {"area": 8648, "iscrowd": 0, "bbox": [280, 245, 92, 94], "category_id": 2, "ignore": 0, "segmentation": [], "image_id": "BloodImage_00106", "id": 901}, {"area": 8556, "iscrowd": 0, "bbox": [394, 3, 92, 93], "category_id": 2, "ignore": 0, "segmentation": [], "image_id": "BloodImage_00106", "id": 902}, {"area": 9021, "iscrowd": 0, "bbox": [408, 355, 97, 93], "category_id": 2, "ignore": 0, "segmentation": [], "image_id": "BloodImage_00106", "id": 903}, {"area": 7708, "iscrowd": 0, "bbox": [558, 159, 82, 94], "category_id": 2, "ignore": 0, "segmentation": [], "image_id": "BloodImage_00106", "id": 904}, {"area": 7708, "iscrowd": 0, "bbox": [523, 25, 82, 94], "category_id": 2, "ignore": 0, "segmentation": [], "image_id": "BloodImage_00106", "id": 905}, {"area": 7553, "iscrowd": 0, "bbox": [489, 394, 91, 83], "category_id": 2, "ignore": 0, "segmentation": [], "image_id": "BloodImage_00106", "id": 906}, {"area": 10146, "iscrowd": 0, "bbox": [45, 294, 89, 114], "category_id": 2, "ignore": 0, "segmentation": [], "image_id": "BloodImage_00106", "id": 907}, {"area": 9984, "iscrowd": 0, "bbox": [94, 98, 96, 104], "category_id": 2, "ignore": 0, "segmentation": [], "image_id": "BloodImage_00106", "id": 908}, {"area": 7912, "iscrowd": 0, "bbox": [184, 85, 92, 86], "category_id": 2, "ignore": 0, "segmentation": [], "image_id": "BloodImage_00106", "id": 909}, {"area": 11856, "iscrowd": 0, "bbox": [97, 195, 114, 104], "category_id": 2, "ignore": 0, "segmentation": [], "image_id": "BloodImage_00106", "id": 910}, {"area": 8084, "iscrowd": 0, "bbox": [186, 266, 86, 94], "category_id": 2, "ignore": 0, "segmentation": [], "image_id": "BloodImage_00106", "id": 911}, {"area": 8372, "iscrowd": 0, "bbox": [209, 320, 92, 91], "category_id": 2, "ignore": 0, "segmentation": [], "image_id": "BloodImage_00106", "id": 912}, {"area": 10908, "iscrowd": 0, "bbox": [130, 345, 108, 101], "category_id": 2, "ignore": 0, "segmentation": [], "image_id": "BloodImage_00106", "id": 913}, {"area": 27104, "iscrowd": 0, "bbox": [373, 180, 176, 154], "category_id": 1, "ignore": 0, "segmentation": [], "image_id": "BloodImage_00106", "id": 914}, {"area": 1680, "iscrowd": 0, "bbox": [248, 405, 40, 42], "category_id": 3, "ignore": 0, "segmentation": [], "image_id": "BloodImage_00106", "id": 915}, {"area": 12971, "iscrowd": 0, "bbox": [297, 21, 119, 109], "category_id": 2, "ignore": 0, "segmentation": [], "image_id": "BloodImage_00107", "id": 916}, {"area": 12971, "iscrowd": 0, "bbox": [330, 309, 119, 109], "category_id": 2, "ignore": 0, "segmentation": [], "image_id": "BloodImage_00107", "id": 917}, {"area": 6970, "iscrowd": 0, "bbox": [262, 149, 85, 82], "category_id": 2, "ignore": 0, "segmentation": [], "image_id": "BloodImage_00107", "id": 918}, {"area": 10290, "iscrowd": 0, "bbox": [203, 0, 98, 105], "category_id": 2, "ignore": 0, "segmentation": [], "image_id": "BloodImage_00107", "id": 919}, {"area": 7476, "iscrowd": 0, "bbox": [10, 88, 84, 89], "category_id": 2, "ignore": 0, "segmentation": [], "image_id": "BloodImage_00107", "id": 920}, {"area": 7476, "iscrowd": 0, "bbox": [105, 207, 84, 89], "category_id": 2, "ignore": 0, "segmentation": [], "image_id": "BloodImage_00107", "id": 921}, {"area": 7476, "iscrowd": 0, "bbox": [9, 317, 84, 89], "category_id": 2, "ignore": 0, "segmentation": [], "image_id": "BloodImage_00107", "id": 922}, {"area": 7476, "iscrowd": 0, "bbox": [526, 123, 84, 89], "category_id": 2, "ignore": 0, "segmentation": [], "image_id": "BloodImage_00107", "id": 923}, {"area": 12544, "iscrowd": 0, "bbox": [527, 259, 112, 112], "category_id": 2, "ignore": 0, "segmentation": [], "image_id": "BloodImage_00107", "id": 924}, {"area": 14125, "iscrowd": 0, "bbox": [427, 367, 125, 113], "category_id": 2, "ignore": 0, "segmentation": [], "image_id": "BloodImage_00107", "id": 925}, {"area": 7826, "iscrowd": 0, "bbox": [43, 148, 91, 86], "category_id": 2, "ignore": 0, "segmentation": [], "image_id": "BloodImage_00107", "id": 926}, {"area": 7885, "iscrowd": 0, "bbox": [101, 39, 95, 83], "category_id": 2, "ignore": 0, "segmentation": [], "image_id": "BloodImage_00107", "id": 927}, {"area": 1710, "iscrowd": 0, "bbox": [346, 205, 45, 38], "category_id": 3, "ignore": 0, "segmentation": [], "image_id": "BloodImage_00107", "id": 928}, {"area": 23562, "iscrowd": 0, "bbox": [156, 281, 153, 154], "category_id": 1, "ignore": 0, "segmentation": [], "image_id": "BloodImage_00107", "id": 929}, {"area": 7644, "iscrowd": 0, "bbox": [338, 82, 91, 84], "category_id": 2, "ignore": 0, "segmentation": [], "image_id": "BloodImage_00108", "id": 930}, {"area": 8096, "iscrowd": 0, "bbox": [282, 41, 92, 88], "category_id": 2, "ignore": 0, "segmentation": [], "image_id": "BloodImage_00108", "id": 931}, {"area": 10593, "iscrowd": 0, "bbox": [284, 180, 99, 107], "category_id": 2, "ignore": 0, "segmentation": [], "image_id": "BloodImage_00108", "id": 932}, {"area": 9306, "iscrowd": 0, "bbox": [186, 216, 99, 94], "category_id": 2, "ignore": 0, "segmentation": [], "image_id": "BloodImage_00108", "id": 933}, {"area": 12320, "iscrowd": 0, "bbox": [400, 169, 112, 110], "category_id": 2, "ignore": 0, "segmentation": [], "image_id": "BloodImage_00108", "id": 934}, {"area": 13452, "iscrowd": 0, "bbox": [495, 218, 114, 118], "category_id": 2, "ignore": 0, "segmentation": [], "image_id": "BloodImage_00108", "id": 935}, {"area": 11845, "iscrowd": 0, "bbox": [437, 260, 103, 115], "category_id": 2, "ignore": 0, "segmentation": [], "image_id": "BloodImage_00108", "id": 936}, {"area": 11845, "iscrowd": 0, "bbox": [529, 98, 103, 115], "category_id": 2, "ignore": 0, "segmentation": [], "image_id": "BloodImage_00108", "id": 937}, {"area": 11845, "iscrowd": 0, "bbox": [61, 216, 103, 115], "category_id": 2, "ignore": 0, "segmentation": [], "image_id": "BloodImage_00108", "id": 938}, {"area": 8701, "iscrowd": 0, "bbox": [0, 153, 77, 113], "category_id": 2, "ignore": 0, "segmentation": [], "image_id": "BloodImage_00108", "id": 939}, {"area": 12769, "iscrowd": 0, "bbox": [159, 98, 113, 113], "category_id": 2, "ignore": 0, "segmentation": [], "image_id": "BloodImage_00108", "id": 940}, {"area": 6148, "iscrowd": 0, "bbox": [343, 0, 106, 58], "category_id": 2, "ignore": 0, "segmentation": [], "image_id": "BloodImage_00108", "id": 941}, {"area": 6148, "iscrowd": 0, "bbox": [451, 0, 106, 58], "category_id": 2, "ignore": 0, "segmentation": [], "image_id": "BloodImage_00108", "id": 942}, {"area": 4784, "iscrowd": 0, "bbox": [184, 428, 92, 52], "category_id": 2, "ignore": 0, "segmentation": [], "image_id": "BloodImage_00108", "id": 943}, {"area": 29450, "iscrowd": 0, "bbox": [246, 294, 190, 155], "category_id": 1, "ignore": 0, "segmentation": [], "image_id": "BloodImage_00108", "id": 944}, {"area": 1050, "iscrowd": 0, "bbox": [0, 40, 25, 42], "category_id": 3, "ignore": 0, "segmentation": [], "image_id": "BloodImage_00108", "id": 945}, {"area": 16375, "iscrowd": 0, "bbox": [363, 40, 131, 125], "category_id": 2, "ignore": 0, "segmentation": [], "image_id": "BloodImage_00110", "id": 946}, {"area": 16375, "iscrowd": 0, "bbox": [492, 145, 131, 125], "category_id": 2, "ignore": 0, "segmentation": [], "image_id": "BloodImage_00110", "id": 947}, {"area": 9790, "iscrowd": 0, "bbox": [283, 201, 110, 89], "category_id": 2, "ignore": 0, "segmentation": [], "image_id": "BloodImage_00110", "id": 948}, {"area": 8436, "iscrowd": 0, "bbox": [259, 16, 114, 74], "category_id": 2, "ignore": 0, "segmentation": [], "image_id": "BloodImage_00110", "id": 949}, {"area": 7031, "iscrowd": 0, "bbox": [82, 205, 89, 79], "category_id": 2, "ignore": 0, "segmentation": [], "image_id": "BloodImage_00110", "id": 950}, {"area": 8858, "iscrowd": 0, "bbox": [107, 65, 103, 86], "category_id": 2, "ignore": 0, "segmentation": [], "image_id": "BloodImage_00110", "id": 951}, {"area": 9064, "iscrowd": 0, "bbox": [213, 371, 88, 103], "category_id": 2, "ignore": 0, "segmentation": [], "image_id": "BloodImage_00110", "id": 952}, {"area": 8096, "iscrowd": 0, "bbox": [138, 286, 88, 92], "category_id": 2, "ignore": 0, "segmentation": [], "image_id": "BloodImage_00110", "id": 953}, {"area": 9064, "iscrowd": 0, "bbox": [113, 385, 103, 88], "category_id": 2, "ignore": 0, "segmentation": [], "image_id": "BloodImage_00110", "id": 954}, {"area": 10302, "iscrowd": 0, "bbox": [0, 82, 102, 101], "category_id": 2, "ignore": 0, "segmentation": [], "image_id": "BloodImage_00110", "id": 955}, {"area": 34773, "iscrowd": 0, "bbox": [267, 282, 201, 173], "category_id": 1, "ignore": 0, "segmentation": [], "image_id": "BloodImage_00110", "id": 956}, {"area": 930, "iscrowd": 0, "bbox": [247, 58, 31, 30], "category_id": 3, "ignore": 0, "segmentation": [], "image_id": "BloodImage_00110", "id": 957}, {"area": 1332, "iscrowd": 0, "bbox": [467, 48, 36, 37], "category_id": 3, "ignore": 0, "segmentation": [], "image_id": "BloodImage_00110", "id": 958}, {"area": 8989, "iscrowd": 0, "bbox": [177, 349, 101, 89], "category_id": 2, "ignore": 0, "segmentation": [], "image_id": "BloodImage_00112", "id": 959}, {"area": 8989, "iscrowd": 0, "bbox": [161, 140, 101, 89], "category_id": 2, "ignore": 0, "segmentation": [], "image_id": "BloodImage_00112", "id": 960}, {"area": 12540, "iscrowd": 0, "bbox": [204, 29, 110, 114], "category_id": 2, "ignore": 0, "segmentation": [], "image_id": "BloodImage_00112", "id": 961}, {"area": 8424, "iscrowd": 0, "bbox": [94, 0, 104, 81], "category_id": 2, "ignore": 0, "segmentation": [], "image_id": "BloodImage_00112", "id": 962}, {"area": 11124, "iscrowd": 0, "bbox": [286, 259, 103, 108], "category_id": 2, "ignore": 0, "segmentation": [], "image_id": "BloodImage_00112", "id": 963}, {"area": 11124, "iscrowd": 0, "bbox": [447, 127, 103, 108], "category_id": 2, "ignore": 0, "segmentation": [], "image_id": "BloodImage_00112", "id": 964}, {"area": 9120, "iscrowd": 0, "bbox": [429, 242, 96, 95], "category_id": 2, "ignore": 0, "segmentation": [], "image_id": "BloodImage_00112", "id": 965}, {"area": 9216, "iscrowd": 0, "bbox": [422, 384, 96, 96], "category_id": 2, "ignore": 0, "segmentation": [], "image_id": "BloodImage_00112", "id": 966}, {"area": 4620, "iscrowd": 0, "bbox": [368, 17, 66, 70], "category_id": 2, "ignore": 0, "segmentation": [], "image_id": "BloodImage_00112", "id": 967}, {"area": 7857, "iscrowd": 0, "bbox": [1, 56, 97, 81], "category_id": 2, "ignore": 0, "segmentation": [], "image_id": "BloodImage_00112", "id": 968}, {"area": 10404, "iscrowd": 0, "bbox": [352, 122, 102, 102], "category_id": 2, "ignore": 0, "segmentation": [], "image_id": "BloodImage_00112", "id": 969}, {"area": 8989, "iscrowd": 0, "bbox": [21, 153, 101, 89], "category_id": 2, "ignore": 0, "segmentation": [], "image_id": "BloodImage_00112", "id": 970}, {"area": 24311, "iscrowd": 0, "bbox": [0, 263, 161, 151], "category_id": 1, "ignore": 0, "segmentation": [], "image_id": "BloodImage_00112", "id": 971}, {"area": 2112, "iscrowd": 0, "bbox": [532, 107, 48, 44], "category_id": 3, "ignore": 0, "segmentation": [], "image_id": "BloodImage_00112", "id": 972}, {"area": 11424, "iscrowd": 0, "bbox": [78, 167, 102, 112], "category_id": 2, "ignore": 0, "segmentation": [], "image_id": "BloodImage_00112", "id": 973}, {"area": 9975, "iscrowd": 0, "bbox": [261, 150, 105, 95], "category_id": 2, "ignore": 0, "segmentation": [], "image_id": "BloodImage_00113", "id": 974}, {"area": 9975, "iscrowd": 0, "bbox": [168, 22, 105, 95], "category_id": 2, "ignore": 0, "segmentation": [], "image_id": "BloodImage_00113", "id": 975}, {"area": 6319, "iscrowd": 0, "bbox": [495, 177, 89, 71], "category_id": 2, "ignore": 0, "segmentation": [], "image_id": "BloodImage_00113", "id": 976}, {"area": 11340, "iscrowd": 0, "bbox": [532, 284, 108, 105], "category_id": 2, "ignore": 0, "segmentation": [], "image_id": "BloodImage_00113", "id": 977}, {"area": 8470, "iscrowd": 0, "bbox": [83, 365, 110, 77], "category_id": 2, "ignore": 0, "segmentation": [], "image_id": "BloodImage_00113", "id": 978}, {"area": 10710, "iscrowd": 0, "bbox": [9, 65, 90, 119], "category_id": 2, "ignore": 0, "segmentation": [], "image_id": "BloodImage_00113", "id": 979}, {"area": 14278, "iscrowd": 0, "bbox": [364, 150, 121, 118], "category_id": 2, "ignore": 0, "segmentation": [], "image_id": "BloodImage_00113", "id": 980}, {"area": 11130, "iscrowd": 0, "bbox": [298, 264, 106, 105], "category_id": 2, "ignore": 0, "segmentation": [], "image_id": "BloodImage_00113", "id": 981}, {"area": 4760, "iscrowd": 0, "bbox": [572, 0, 68, 70], "category_id": 2, "ignore": 0, "segmentation": [], "image_id": "BloodImage_00113", "id": 982}, {"area": 8148, "iscrowd": 0, "bbox": [376, 392, 97, 84], "category_id": 2, "ignore": 0, "segmentation": [], "image_id": "BloodImage_00113", "id": 983}, {"area": 8004, "iscrowd": 0, "bbox": [10, 323, 92, 87], "category_id": 2, "ignore": 0, "segmentation": [], "image_id": "BloodImage_00113", "id": 984}, {"area": 27300, "iscrowd": 0, "bbox": [61, 203, 175, 156], "category_id": 1, "ignore": 0, "segmentation": [], "image_id": "BloodImage_00113", "id": 985}, {"area": 896, "iscrowd": 0, "bbox": [256, 429, 32, 28], "category_id": 1, "ignore": 0, "segmentation": [], "image_id": "BloodImage_00113", "id": 986}, {"area": 9702, "iscrowd": 0, "bbox": [172, 193, 98, 99], "category_id": 2, "ignore": 0, "segmentation": [], "image_id": "BloodImage_00114", "id": 987}, {"area": 9702, "iscrowd": 0, "bbox": [358, 213, 98, 99], "category_id": 2, "ignore": 0, "segmentation": [], "image_id": "BloodImage_00114", "id": 988}, {"area": 9702, "iscrowd": 0, "bbox": [414, 229, 98, 99], "category_id": 2, "ignore": 0, "segmentation": [], "image_id": "BloodImage_00114", "id": 989}, {"area": 12430, "iscrowd": 0, "bbox": [363, 335, 110, 113], "category_id": 2, "ignore": 0, "segmentation": [], "image_id": "BloodImage_00114", "id": 990}, {"area": 12430, "iscrowd": 0, "bbox": [239, 264, 110, 113], "category_id": 2, "ignore": 0, "segmentation": [], "image_id": "BloodImage_00114", "id": 991}, {"area": 10290, "iscrowd": 0, "bbox": [158, 367, 105, 98], "category_id": 2, "ignore": 0, "segmentation": [], "image_id": "BloodImage_00114", "id": 992}, {"area": 8449, "iscrowd": 0, "bbox": [49, 406, 119, 71], "category_id": 2, "ignore": 0, "segmentation": [], "image_id": "BloodImage_00114", "id": 993}, {"area": 16891, "iscrowd": 0, "bbox": [122, 14, 127, 133], "category_id": 2, "ignore": 0, "segmentation": [], "image_id": "BloodImage_00114", "id": 994}, {"area": 9603, "iscrowd": 0, "bbox": [0, 283, 97, 99], "category_id": 2, "ignore": 0, "segmentation": [], "image_id": "BloodImage_00114", "id": 995}, {"area": 9702, "iscrowd": 0, "bbox": [511, 166, 98, 99], "category_id": 2, "ignore": 0, "segmentation": [], "image_id": "BloodImage_00114", "id": 996}, {"area": 7565, "iscrowd": 0, "bbox": [321, 395, 89, 85], "category_id": 2, "ignore": 0, "segmentation": [], "image_id": "BloodImage_00114", "id": 997}, {"area": 9135, "iscrowd": 0, "bbox": [51, 229, 105, 87], "category_id": 2, "ignore": 0, "segmentation": [], "image_id": "BloodImage_00114", "id": 998}, {"area": 10152, "iscrowd": 0, "bbox": [8, 126, 108, 94], "category_id": 2, "ignore": 0, "segmentation": [], "image_id": "BloodImage_00114", "id": 999}, {"area": 7776, "iscrowd": 0, "bbox": [31, 0, 108, 72], "category_id": 2, "ignore": 0, "segmentation": [], "image_id": "BloodImage_00114", "id": 1000}, {"area": 22344, "iscrowd": 0, "bbox": [223, 73, 168, 133], "category_id": 1, "ignore": 0, "segmentation": [], "image_id": "BloodImage_00114", "id": 1001}, {"area": 12154, "iscrowd": 0, "bbox": [506, 62, 103, 118], "category_id": 2, "ignore": 0, "segmentation": [], "image_id": "BloodImage_00117", "id": 1002}, {"area": 10094, "iscrowd": 0, "bbox": [425, 382, 103, 98], "category_id": 2, "ignore": 0, "segmentation": [], "image_id": "BloodImage_00117", "id": 1003}, {"area": 12705, "iscrowd": 0, "bbox": [185, 53, 105, 121], "category_id": 2, "ignore": 0, "segmentation": [], "image_id": "BloodImage_00117", "id": 1004}, {"area": 12584, "iscrowd": 0, "bbox": [107, 0, 121, 104], "category_id": 2, "ignore": 0, "segmentation": [], "image_id": "BloodImage_00117", "id": 1005}, {"area": 10944, "iscrowd": 0, "bbox": [0, 0, 114, 96], "category_id": 2, "ignore": 0, "segmentation": [], "image_id": "BloodImage_00117", "id": 1006}, {"area": 11155, "iscrowd": 0, "bbox": [313, 4, 115, 97], "category_id": 2, "ignore": 0, "segmentation": [], "image_id": "BloodImage_00117", "id": 1007}, {"area": 10395, "iscrowd": 0, "bbox": [60, 260, 105, 99], "category_id": 2, "ignore": 0, "segmentation": [], "image_id": "BloodImage_00117", "id": 1008}, {"area": 8360, "iscrowd": 0, "bbox": [97, 392, 95, 88], "category_id": 2, "ignore": 0, "segmentation": [], "image_id": "BloodImage_00117", "id": 1009}, {"area": 2142, "iscrowd": 0, "bbox": [523, 356, 51, 42], "category_id": 3, "ignore": 0, "segmentation": [], "image_id": "BloodImage_00117", "id": 1010}, {"area": 1292, "iscrowd": 0, "bbox": [208, 309, 34, 38], "category_id": 3, "ignore": 0, "segmentation": [], "image_id": "BloodImage_00117", "id": 1011}, {"area": 48375, "iscrowd": 0, "bbox": [241, 86, 225, 215], "category_id": 1, "ignore": 0, "segmentation": [], "image_id": "BloodImage_00117", "id": 1012}, {"area": 10780, "iscrowd": 0, "bbox": [286, 382, 110, 98], "category_id": 2, "ignore": 0, "segmentation": [], "image_id": "BloodImage_00117", "id": 1013}, {"area": 7280, "iscrowd": 0, "bbox": [516, 404, 104, 70], "category_id": 2, "ignore": 0, "segmentation": [], "image_id": "BloodImage_00117", "id": 1014}, {"area": 11615, "iscrowd": 0, "bbox": [421, 190, 115, 101], "category_id": 2, "ignore": 0, "segmentation": [], "image_id": "BloodImage_00120", "id": 1015}, {"area": 17080, "iscrowd": 0, "bbox": [52, 140, 140, 122], "category_id": 2, "ignore": 0, "segmentation": [], "image_id": "BloodImage_00120", "id": 1016}, {"area": 14859, "iscrowd": 0, "bbox": [353, 276, 127, 117], "category_id": 2, "ignore": 0, "segmentation": [], "image_id": "BloodImage_00120", "id": 1017}, {"area": 14859, "iscrowd": 0, "bbox": [222, 229, 127, 117], "category_id": 2, "ignore": 0, "segmentation": [], "image_id": "BloodImage_00120", "id": 1018}, {"area": 9996, "iscrowd": 0, "bbox": [513, 357, 102, 98], "category_id": 2, "ignore": 0, "segmentation": [], "image_id": "BloodImage_00120", "id": 1019}, {"area": 8514, "iscrowd": 0, "bbox": [245, 0, 99, 86], "category_id": 2, "ignore": 0, "segmentation": [], "image_id": "BloodImage_00120", "id": 1020}, {"area": 8613, "iscrowd": 0, "bbox": [99, 48, 99, 87], "category_id": 2, "ignore": 0, "segmentation": [], "image_id": "BloodImage_00120", "id": 1021}, {"area": 8613, "iscrowd": 0, "bbox": [91, 289, 99, 87], "category_id": 2, "ignore": 0, "segmentation": [], "image_id": "BloodImage_00120", "id": 1022}, {"area": 6232, "iscrowd": 0, "bbox": [393, 387, 76, 82], "category_id": 2, "ignore": 0, "segmentation": [], "image_id": "BloodImage_00120", "id": 1023}, {"area": 25375, "iscrowd": 0, "bbox": [159, 75, 175, 145], "category_id": 1, "ignore": 0, "segmentation": [], "image_id": "BloodImage_00120", "id": 1024}, {"area": 11948, "iscrowd": 0, "bbox": [34, 376, 116, 103], "category_id": 2, "ignore": 0, "segmentation": [], "image_id": "BloodImage_00123", "id": 1025}, {"area": 11948, "iscrowd": 0, "bbox": [462, 118, 116, 103], "category_id": 2, "ignore": 0, "segmentation": [], "image_id": "BloodImage_00123", "id": 1026}, {"area": 5032, "iscrowd": 0, "bbox": [296, 125, 68, 74], "category_id": 2, "ignore": 0, "segmentation": [], "image_id": "BloodImage_00123", "id": 1027}, {"area": 7656, "iscrowd": 0, "bbox": [56, 292, 88, 87], "category_id": 2, "ignore": 0, "segmentation": [], "image_id": "BloodImage_00123", "id": 1028}, {"area": 7656, "iscrowd": 0, "bbox": [33, 102, 88, 87], "category_id": 2, "ignore": 0, "segmentation": [], "image_id": "BloodImage_00123", "id": 1029}, {"area": 7480, "iscrowd": 0, "bbox": [313, 0, 88, 85], "category_id": 2, "ignore": 0, "segmentation": [], "image_id": "BloodImage_00123", "id": 1030}, {"area": 7656, "iscrowd": 0, "bbox": [353, 385, 88, 87], "category_id": 2, "ignore": 0, "segmentation": [], "image_id": "BloodImage_00123", "id": 1031}, {"area": 37720, "iscrowd": 0, "bbox": [267, 194, 205, 184], "category_id": 1, "ignore": 0, "segmentation": [], "image_id": "BloodImage_00123", "id": 1032}, {"area": 952, "iscrowd": 0, "bbox": [141, 52, 34, 28], "category_id": 3, "ignore": 0, "segmentation": [], "image_id": "BloodImage_00123", "id": 1033}, {"area": 13144, "iscrowd": 0, "bbox": [157, 272, 124, 106], "category_id": 2, "ignore": 0, "segmentation": [], "image_id": "BloodImage_00123", "id": 1034}, {"area": 7176, "iscrowd": 0, "bbox": [296, 130, 78, 92], "category_id": 2, "ignore": 0, "segmentation": [], "image_id": "BloodImage_00124", "id": 1035}, {"area": 12319, "iscrowd": 0, "bbox": [472, 216, 127, 97], "category_id": 2, "ignore": 0, "segmentation": [], "image_id": "BloodImage_00124", "id": 1036}, {"area": 11648, "iscrowd": 0, "bbox": [359, 125, 104, 112], "category_id": 2, "ignore": 0, "segmentation": [], "image_id": "BloodImage_00124", "id": 1037}, {"area": 18348, "iscrowd": 0, "bbox": [143, 183, 132, 139], "category_id": 2, "ignore": 0, "segmentation": [], "image_id": "BloodImage_00124", "id": 1038}, {"area": 6732, "iscrowd": 0, "bbox": [36, 278, 68, 99], "category_id": 2, "ignore": 0, "segmentation": [], "image_id": "BloodImage_00124", "id": 1039}, {"area": 6732, "iscrowd": 0, "bbox": [475, 45, 68, 99], "category_id": 2, "ignore": 0, "segmentation": [], "image_id": "BloodImage_00124", "id": 1040}, {"area": 7178, "iscrowd": 0, "bbox": [528, 318, 74, 97], "category_id": 2, "ignore": 0, "segmentation": [], "image_id": "BloodImage_00124", "id": 1041}, {"area": 7950, "iscrowd": 0, "bbox": [8, 405, 106, 75], "category_id": 2, "ignore": 0, "segmentation": [], "image_id": "BloodImage_00124", "id": 1042}, {"area": 9646, "iscrowd": 0, "bbox": [206, 283, 106, 91], "category_id": 2, "ignore": 0, "segmentation": [], "image_id": "BloodImage_00124", "id": 1043}, {"area": 30576, "iscrowd": 0, "bbox": [294, 291, 196, 156], "category_id": 1, "ignore": 0, "segmentation": [], "image_id": "BloodImage_00124", "id": 1044}, {"area": 1088, "iscrowd": 0, "bbox": [152, 424, 32, 34], "category_id": 3, "ignore": 0, "segmentation": [], "image_id": "BloodImage_00124", "id": 1045}, {"area": 9409, "iscrowd": 0, "bbox": [376, 45, 97, 97], "category_id": 2, "ignore": 0, "segmentation": [], "image_id": "BloodImage_00124", "id": 1046}, {"area": 9682, "iscrowd": 0, "bbox": [306, 234, 103, 94], "category_id": 2, "ignore": 0, "segmentation": [], "image_id": "BloodImage_00126", "id": 1047}, {"area": 10735, "iscrowd": 0, "bbox": [329, 132, 113, 95], "category_id": 2, "ignore": 0, "segmentation": [], "image_id": "BloodImage_00126", "id": 1048}, {"area": 12321, "iscrowd": 0, "bbox": [191, 149, 111, 111], "category_id": 2, "ignore": 0, "segmentation": [], "image_id": "BloodImage_00126", "id": 1049}, {"area": 10509, "iscrowd": 0, "bbox": [253, 0, 113, 93], "category_id": 2, "ignore": 0, "segmentation": [], "image_id": "BloodImage_00126", "id": 1050}, {"area": 8633, "iscrowd": 0, "bbox": [51, 15, 89, 97], "category_id": 2, "ignore": 0, "segmentation": [], "image_id": "BloodImage_00126", "id": 1051}, {"area": 10120, "iscrowd": 0, "bbox": [26, 252, 110, 92], "category_id": 2, "ignore": 0, "segmentation": [], "image_id": "BloodImage_00126", "id": 1052}, {"area": 10120, "iscrowd": 0, "bbox": [333, 57, 110, 92], "category_id": 2, "ignore": 0, "segmentation": [], "image_id": "BloodImage_00126", "id": 1053}, {"area": 11016, "iscrowd": 0, "bbox": [251, 316, 108, 102], "category_id": 2, "ignore": 0, "segmentation": [], "image_id": "BloodImage_00126", "id": 1054}, {"area": 11844, "iscrowd": 0, "bbox": [199, 265, 94, 126], "category_id": 2, "ignore": 0, "segmentation": [], "image_id": "BloodImage_00126", "id": 1055}, {"area": 8436, "iscrowd": 0, "bbox": [476, 164, 114, 74], "category_id": 2, "ignore": 0, "segmentation": [], "image_id": "BloodImage_00126", "id": 1056}, {"area": 8132, "iscrowd": 0, "bbox": [443, 128, 107, 76], "category_id": 2, "ignore": 0, "segmentation": [], "image_id": "BloodImage_00126", "id": 1057}, {"area": 16428, "iscrowd": 0, "bbox": [399, 369, 148, 111], "category_id": 1, "ignore": 0, "segmentation": [], "image_id": "BloodImage_00126", "id": 1058}, {"area": 11009, "iscrowd": 0, "bbox": [8, 248, 101, 109], "category_id": 2, "ignore": 0, "segmentation": [], "image_id": "BloodImage_00127", "id": 1059}, {"area": 9975, "iscrowd": 0, "bbox": [451, 0, 105, 95], "category_id": 2, "ignore": 0, "segmentation": [], "image_id": "BloodImage_00127", "id": 1060}, {"area": 8772, "iscrowd": 0, "bbox": [108, 271, 102, 86], "category_id": 2, "ignore": 0, "segmentation": [], "image_id": "BloodImage_00127", "id": 1061}, {"area": 8772, "iscrowd": 0, "bbox": [250, 0, 102, 86], "category_id": 2, "ignore": 0, "segmentation": [], "image_id": "BloodImage_00127", "id": 1062}, {"area": 9752, "iscrowd": 0, "bbox": [217, 388, 106, 92], "category_id": 2, "ignore": 0, "segmentation": [], "image_id": "BloodImage_00127", "id": 1063}, {"area": 33286, "iscrowd": 0, "bbox": [171, 125, 178, 187], "category_id": 1, "ignore": 0, "segmentation": [], "image_id": "BloodImage_00127", "id": 1064}, {"area": 1443, "iscrowd": 0, "bbox": [545, 81, 39, 37], "category_id": 3, "ignore": 0, "segmentation": [], "image_id": "BloodImage_00127", "id": 1065}, {"area": 14640, "iscrowd": 0, "bbox": [470, 10, 122, 120], "category_id": 2, "ignore": 0, "segmentation": [], "image_id": "BloodImage_00133", "id": 1066}, {"area": 10591, "iscrowd": 0, "bbox": [551, 199, 89, 119], "category_id": 2, "ignore": 0, "segmentation": [], "image_id": "BloodImage_00133", "id": 1067}, {"area": 13447, "iscrowd": 0, "bbox": [519, 311, 113, 119], "category_id": 2, "ignore": 0, "segmentation": [], "image_id": "BloodImage_00133", "id": 1068}, {"area": 13224, "iscrowd": 0, "bbox": [57, 259, 114, 116], "category_id": 2, "ignore": 0, "segmentation": [], "image_id": "BloodImage_00133", "id": 1069}, {"area": 10692, "iscrowd": 0, "bbox": [335, 157, 108, 99], "category_id": 2, "ignore": 0, "segmentation": [], "image_id": "BloodImage_00133", "id": 1070}, {"area": 10692, "iscrowd": 0, "bbox": [83, 378, 108, 99], "category_id": 2, "ignore": 0, "segmentation": [], "image_id": "BloodImage_00133", "id": 1071}, {"area": 12650, "iscrowd": 0, "bbox": [226, 319, 115, 110], "category_id": 2, "ignore": 0, "segmentation": [], "image_id": "BloodImage_00133", "id": 1072}, {"area": 6195, "iscrowd": 0, "bbox": [0, 326, 59, 105], "category_id": 2, "ignore": 0, "segmentation": [], "image_id": "BloodImage_00133", "id": 1073}, {"area": 7644, "iscrowd": 0, "bbox": [375, 309, 78, 98], "category_id": 2, "ignore": 0, "segmentation": [], "image_id": "BloodImage_00133", "id": 1074}, {"area": 19656, "iscrowd": 0, "bbox": [134, 0, 168, 117], "category_id": 3, "ignore": 0, "segmentation": [], "image_id": "BloodImage_00133", "id": 1075}, {"area": 22152, "iscrowd": 0, "bbox": [249, 195, 156, 142], "category_id": 1, "ignore": 0, "segmentation": [], "image_id": "BloodImage_00134", "id": 1076}, {"area": 884, "iscrowd": 0, "bbox": [4, 454, 34, 26], "category_id": 3, "ignore": 0, "segmentation": [], "image_id": "BloodImage_00134", "id": 1077}, {"area": 2205, "iscrowd": 0, "bbox": [595, 258, 45, 49], "category_id": 3, "ignore": 0, "segmentation": [], "image_id": "BloodImage_00134", "id": 1078}, {"area": 12210, "iscrowd": 0, "bbox": [228, 6, 110, 111], "category_id": 2, "ignore": 0, "segmentation": [], "image_id": "BloodImage_00139", "id": 1079}, {"area": 12099, "iscrowd": 0, "bbox": [257, 224, 111, 109], "category_id": 2, "ignore": 0, "segmentation": [], "image_id": "BloodImage_00139", "id": 1080}, {"area": 12099, "iscrowd": 0, "bbox": [76, 225, 111, 109], "category_id": 2, "ignore": 0, "segmentation": [], "image_id": "BloodImage_00139", "id": 1081}, {"area": 23925, "iscrowd": 0, "bbox": [87, 57, 145, 165], "category_id": 2, "ignore": 0, "segmentation": [], "image_id": "BloodImage_00139", "id": 1082}, {"area": 15340, "iscrowd": 0, "bbox": [468, 302, 130, 118], "category_id": 2, "ignore": 0, "segmentation": [], "image_id": "BloodImage_00139", "id": 1083}, {"area": 12420, "iscrowd": 0, "bbox": [400, 272, 115, 108], "category_id": 2, "ignore": 0, "segmentation": [], "image_id": "BloodImage_00139", "id": 1084}, {"area": 12099, "iscrowd": 0, "bbox": [158, 313, 111, 109], "category_id": 2, "ignore": 0, "segmentation": [], "image_id": "BloodImage_00139", "id": 1085}, {"area": 12420, "iscrowd": 0, "bbox": [477, 227, 115, 108], "category_id": 2, "ignore": 0, "segmentation": [], "image_id": "BloodImage_00139", "id": 1086}, {"area": 12099, "iscrowd": 0, "bbox": [10, 311, 111, 109], "category_id": 2, "ignore": 0, "segmentation": [], "image_id": "BloodImage_00139", "id": 1087}, {"area": 22016, "iscrowd": 0, "bbox": [268, 352, 172, 128], "category_id": 1, "ignore": 0, "segmentation": [], "image_id": "BloodImage_00139", "id": 1088}, {"area": 1710, "iscrowd": 0, "bbox": [178, 207, 45, 38], "category_id": 3, "ignore": 0, "segmentation": [], "image_id": "BloodImage_00139", "id": 1089}, {"area": 1462, "iscrowd": 0, "bbox": [114, 0, 43, 34], "category_id": 3, "ignore": 0, "segmentation": [], "image_id": "BloodImage_00139", "id": 1090}, {"area": 10404, "iscrowd": 0, "bbox": [538, 52, 102, 102], "category_id": 2, "ignore": 0, "segmentation": [], "image_id": "BloodImage_00141", "id": 1091}, {"area": 12376, "iscrowd": 0, "bbox": [392, 333, 119, 104], "category_id": 2, "ignore": 0, "segmentation": [], "image_id": "BloodImage_00141", "id": 1092}, {"area": 15222, "iscrowd": 0, "bbox": [500, 277, 118, 129], "category_id": 2, "ignore": 0, "segmentation": [], "image_id": "BloodImage_00141", "id": 1093}, {"area": 13915, "iscrowd": 0, "bbox": [422, 0, 121, 115], "category_id": 2, "ignore": 0, "segmentation": [], "image_id": "BloodImage_00141", "id": 1094}, {"area": 10416, "iscrowd": 0, "bbox": [330, 75, 112, 93], "category_id": 2, "ignore": 0, "segmentation": [], "image_id": "BloodImage_00141", "id": 1095}, {"area": 16256, "iscrowd": 0, "bbox": [311, 175, 128, 127], "category_id": 2, "ignore": 0, "segmentation": [], "image_id": "BloodImage_00141", "id": 1096}, {"area": 10476, "iscrowd": 0, "bbox": [9, 195, 108, 97], "category_id": 2, "ignore": 0, "segmentation": [], "image_id": "BloodImage_00141", "id": 1097}, {"area": 14161, "iscrowd": 0, "bbox": [112, 152, 119, 119], "category_id": 2, "ignore": 0, "segmentation": [], "image_id": "BloodImage_00141", "id": 1098}, {"area": 11252, "iscrowd": 0, "bbox": [248, 132, 116, 97], "category_id": 2, "ignore": 0, "segmentation": [], "image_id": "BloodImage_00141", "id": 1099}, {"area": 58667, "iscrowd": 0, "bbox": [56, 277, 289, 203], "category_id": 1, "ignore": 0, "segmentation": [], "image_id": "BloodImage_00141", "id": 1100}, {"area": 14520, "iscrowd": 0, "bbox": [334, 53, 132, 110], "category_id": 2, "ignore": 0, "segmentation": [], "image_id": "BloodImage_00142", "id": 1101}, {"area": 12075, "iscrowd": 0, "bbox": [402, 169, 115, 105], "category_id": 2, "ignore": 0, "segmentation": [], "image_id": "BloodImage_00142", "id": 1102}, {"area": 9576, "iscrowd": 0, "bbox": [484, 200, 114, 84], "category_id": 2, "ignore": 0, "segmentation": [], "image_id": "BloodImage_00142", "id": 1103}, {"area": 10246, "iscrowd": 0, "bbox": [347, 371, 94, 109], "category_id": 2, "ignore": 0, "segmentation": [], "image_id": "BloodImage_00142", "id": 1104}, {"area": 10246, "iscrowd": 0, "bbox": [17, 275, 94, 109], "category_id": 2, "ignore": 0, "segmentation": [], "image_id": "BloodImage_00142", "id": 1105}, {"area": 11236, "iscrowd": 0, "bbox": [100, 11, 106, 106], "category_id": 2, "ignore": 0, "segmentation": [], "image_id": "BloodImage_00142", "id": 1106}, {"area": 999, "iscrowd": 0, "bbox": [0, 112, 27, 37], "category_id": 3, "ignore": 0, "segmentation": [], "image_id": "BloodImage_00142", "id": 1107}, {"area": 27387, "iscrowd": 0, "bbox": [210, 171, 179, 153], "category_id": 1, "ignore": 0, "segmentation": [], "image_id": "BloodImage_00142", "id": 1108}, {"area": 1292, "iscrowd": 0, "bbox": [568, 421, 38, 34], "category_id": 3, "ignore": 0, "segmentation": [], "image_id": "BloodImage_00142", "id": 1109}, {"area": 12423, "iscrowd": 0, "bbox": [85, 0, 123, 101], "category_id": 2, "ignore": 0, "segmentation": [], "image_id": "BloodImage_00144", "id": 1110}, {"area": 16510, "iscrowd": 0, "bbox": [115, 65, 127, 130], "category_id": 2, "ignore": 0, "segmentation": [], "image_id": "BloodImage_00144", "id": 1111}, {"area": 9576, "iscrowd": 0, "bbox": [184, 0, 126, 76], "category_id": 2, "ignore": 0, "segmentation": [], "image_id": "BloodImage_00144", "id": 1112}, {"area": 9603, "iscrowd": 0, "bbox": [507, 93, 99, 97], "category_id": 2, "ignore": 0, "segmentation": [], "image_id": "BloodImage_00144", "id": 1113}, {"area": 8137, "iscrowd": 0, "bbox": [1, 284, 79, 103], "category_id": 2, "ignore": 0, "segmentation": [], "image_id": "BloodImage_00144", "id": 1114}, {"area": 6450, "iscrowd": 0, "bbox": [565, 336, 75, 86], "category_id": 2, "ignore": 0, "segmentation": [], "image_id": "BloodImage_00144", "id": 1115}, {"area": 26026, "iscrowd": 0, "bbox": [420, 217, 169, 154], "category_id": 1, "ignore": 0, "segmentation": [], "image_id": "BloodImage_00144", "id": 1116}, {"area": 9700, "iscrowd": 0, "bbox": [215, 199, 100, 97], "category_id": 2, "ignore": 0, "segmentation": [], "image_id": "BloodImage_00144", "id": 1117}, {"area": 9700, "iscrowd": 0, "bbox": [241, 193, 100, 97], "category_id": 2, "ignore": 0, "segmentation": [], "image_id": "BloodImage_00144", "id": 1118}, {"area": 9700, "iscrowd": 0, "bbox": [288, 194, 100, 97], "category_id": 2, "ignore": 0, "segmentation": [], "image_id": "BloodImage_00144", "id": 1119}, {"area": 17792, "iscrowd": 0, "bbox": [277, 10, 128, 139], "category_id": 1, "ignore": 0, "segmentation": [], "image_id": "BloodImage_00150", "id": 1120}, {"area": 625, "iscrowd": 0, "bbox": [391, 35, 25, 25], "category_id": 3, "ignore": 0, "segmentation": [], "image_id": "BloodImage_00150", "id": 1121}, {"area": 12915, "iscrowd": 0, "bbox": [207, 277, 105, 123], "category_id": 2, "ignore": 0, "segmentation": [], "image_id": "BloodImage_00154", "id": 1122}, {"area": 11130, "iscrowd": 0, "bbox": [246, 231, 105, 106], "category_id": 2, "ignore": 0, "segmentation": [], "image_id": "BloodImage_00154", "id": 1123}, {"area": 11130, "iscrowd": 0, "bbox": [324, 162, 105, 106], "category_id": 2, "ignore": 0, "segmentation": [], "image_id": "BloodImage_00154", "id": 1124}, {"area": 11130, "iscrowd": 0, "bbox": [256, 104, 105, 106], "category_id": 2, "ignore": 0, "segmentation": [], "image_id": "BloodImage_00154", "id": 1125}, {"area": 13024, "iscrowd": 0, "bbox": [99, 392, 148, 88], "category_id": 2, "ignore": 0, "segmentation": [], "image_id": "BloodImage_00154", "id": 1126}, {"area": 11024, "iscrowd": 0, "bbox": [0, 59, 104, 106], "category_id": 2, "ignore": 0, "segmentation": [], "image_id": "BloodImage_00154", "id": 1127}, {"area": 24000, "iscrowd": 0, "bbox": [353, 3, 160, 150], "category_id": 1, "ignore": 0, "segmentation": [], "image_id": "BloodImage_00154", "id": 1128}, {"area": 1216, "iscrowd": 0, "bbox": [229, 145, 38, 32], "category_id": 3, "ignore": 0, "segmentation": [], "image_id": "BloodImage_00154", "id": 1129}, {"area": 10240, "iscrowd": 0, "bbox": [168, 325, 128, 80], "category_id": 2, "ignore": 0, "segmentation": [], "image_id": "BloodImage_00156", "id": 1130}, {"area": 13860, "iscrowd": 0, "bbox": [215, 186, 126, 110], "category_id": 2, "ignore": 0, "segmentation": [], "image_id": "BloodImage_00156", "id": 1131}, {"area": 7047, "iscrowd": 0, "bbox": [92, 127, 87, 81], "category_id": 2, "ignore": 0, "segmentation": [], "image_id": "BloodImage_00156", "id": 1132}, {"area": 10738, "iscrowd": 0, "bbox": [104, 244, 91, 118], "category_id": 2, "ignore": 0, "segmentation": [], "image_id": "BloodImage_00156", "id": 1133}, {"area": 10192, "iscrowd": 0, "bbox": [4, 161, 104, 98], "category_id": 2, "ignore": 0, "segmentation": [], "image_id": "BloodImage_00156", "id": 1134}, {"area": 10672, "iscrowd": 0, "bbox": [2, 251, 116, 92], "category_id": 2, "ignore": 0, "segmentation": [], "image_id": "BloodImage_00156", "id": 1135}, {"area": 10672, "iscrowd": 0, "bbox": [298, 224, 116, 92], "category_id": 2, "ignore": 0, "segmentation": [], "image_id": "BloodImage_00156", "id": 1136}, {"area": 12500, "iscrowd": 0, "bbox": [373, 228, 125, 100], "category_id": 2, "ignore": 0, "segmentation": [], "image_id": "BloodImage_00156", "id": 1137}, {"area": 7986, "iscrowd": 0, "bbox": [159, 414, 121, 66], "category_id": 2, "ignore": 0, "segmentation": [], "image_id": "BloodImage_00156", "id": 1138}, {"area": 1260, "iscrowd": 0, "bbox": [450, 399, 36, 35], "category_id": 3, "ignore": 0, "segmentation": [], "image_id": "BloodImage_00156", "id": 1139}, {"area": 1820, "iscrowd": 0, "bbox": [380, 439, 52, 35], "category_id": 3, "ignore": 0, "segmentation": [], "image_id": "BloodImage_00156", "id": 1140}, {"area": 3021, "iscrowd": 0, "bbox": [533, 369, 53, 57], "category_id": 3, "ignore": 0, "segmentation": [], "image_id": "BloodImage_00156", "id": 1141}, {"area": 2491, "iscrowd": 0, "bbox": [462, 427, 53, 47], "category_id": 3, "ignore": 0, "segmentation": [], "image_id": "BloodImage_00156", "id": 1142}, {"area": 1976, "iscrowd": 0, "bbox": [408, 58, 52, 38], "category_id": 3, "ignore": 0, "segmentation": [], "image_id": "BloodImage_00156", "id": 1143}, {"area": 928, "iscrowd": 0, "bbox": [70, 75, 32, 29], "category_id": 3, "ignore": 0, "segmentation": [], "image_id": "BloodImage_00156", "id": 1144}, {"area": 19800, "iscrowd": 0, "bbox": [5, 330, 132, 150], "category_id": 1, "ignore": 0, "segmentation": [], "image_id": "BloodImage_00156", "id": 1145}, {"area": 8277, "iscrowd": 0, "bbox": [236, 343, 89, 93], "category_id": 2, "ignore": 0, "segmentation": [], "image_id": "BloodImage_00158", "id": 1146}, {"area": 8277, "iscrowd": 0, "bbox": [147, 176, 89, 93], "category_id": 2, "ignore": 0, "segmentation": [], "image_id": "BloodImage_00158", "id": 1147}, {"area": 15129, "iscrowd": 0, "bbox": [474, 342, 123, 123], "category_id": 2, "ignore": 0, "segmentation": [], "image_id": "BloodImage_00158", "id": 1148}, {"area": 9240, "iscrowd": 0, "bbox": [266, 220, 88, 105], "category_id": 2, "ignore": 0, "segmentation": [], "image_id": "BloodImage_00158", "id": 1149}, {"area": 8550, "iscrowd": 0, "bbox": [41, 62, 95, 90], "category_id": 2, "ignore": 0, "segmentation": [], "image_id": "BloodImage_00158", "id": 1150}, {"area": 23652, "iscrowd": 0, "bbox": [338, 218, 162, 146], "category_id": 1, "ignore": 0, "segmentation": [], "image_id": "BloodImage_00158", "id": 1151}, {"area": 1292, "iscrowd": 0, "bbox": [249, 79, 34, 38], "category_id": 3, "ignore": 0, "segmentation": [], "image_id": "BloodImage_00158", "id": 1152}, {"area": 9114, "iscrowd": 0, "bbox": [238, 5, 93, 98], "category_id": 2, "ignore": 0, "segmentation": [], "image_id": "BloodImage_00159", "id": 1153}, {"area": 15812, "iscrowd": 0, "bbox": [486, 19, 134, 118], "category_id": 2, "ignore": 0, "segmentation": [], "image_id": "BloodImage_00159", "id": 1154}, {"area": 11984, "iscrowd": 0, "bbox": [417, 170, 107, 112], "category_id": 2, "ignore": 0, "segmentation": [], "image_id": "BloodImage_00159", "id": 1155}, {"area": 12432, "iscrowd": 0, "bbox": [486, 252, 112, 111], "category_id": 2, "ignore": 0, "segmentation": [], "image_id": "BloodImage_00159", "id": 1156}, {"area": 10989, "iscrowd": 0, "bbox": [273, 381, 111, 99], "category_id": 2, "ignore": 0, "segmentation": [], "image_id": "BloodImage_00159", "id": 1157}, {"area": 1980, "iscrowd": 0, "bbox": [191, 35, 45, 44], "category_id": 3, "ignore": 0, "segmentation": [], "image_id": "BloodImage_00159", "id": 1158}, {"area": 1720, "iscrowd": 0, "bbox": [148, 77, 43, 40], "category_id": 3, "ignore": 0, "segmentation": [], "image_id": "BloodImage_00159", "id": 1159}, {"area": 3135, "iscrowd": 0, "bbox": [543, 212, 57, 55], "category_id": 3, "ignore": 0, "segmentation": [], "image_id": "BloodImage_00159", "id": 1160}, {"area": 28386, "iscrowd": 0, "bbox": [167, 121, 171, 166], "category_id": 1, "ignore": 0, "segmentation": [], "image_id": "BloodImage_00159", "id": 1161}, {"area": 11433, "iscrowd": 0, "bbox": [169, 184, 111, 103], "category_id": 2, "ignore": 0, "segmentation": [], "image_id": "BloodImage_00160", "id": 1162}, {"area": 11433, "iscrowd": 0, "bbox": [401, 214, 111, 103], "category_id": 2, "ignore": 0, "segmentation": [], "image_id": "BloodImage_00160", "id": 1163}, {"area": 11433, "iscrowd": 0, "bbox": [500, 302, 111, 103], "category_id": 2, "ignore": 0, "segmentation": [], "image_id": "BloodImage_00160", "id": 1164}, {"area": 11433, "iscrowd": 0, "bbox": [491, 62, 111, 103], "category_id": 2, "ignore": 0, "segmentation": [], "image_id": "BloodImage_00160", "id": 1165}, {"area": 11766, "iscrowd": 0, "bbox": [0, 30, 111, 106], "category_id": 2, "ignore": 0, "segmentation": [], "image_id": "BloodImage_00160", "id": 1166}, {"area": 12792, "iscrowd": 0, "bbox": [147, 296, 123, 104], "category_id": 2, "ignore": 0, "segmentation": [], "image_id": "BloodImage_00160", "id": 1167}, {"area": 12792, "iscrowd": 0, "bbox": [262, 77, 123, 104], "category_id": 2, "ignore": 0, "segmentation": [], "image_id": "BloodImage_00160", "id": 1168}, {"area": 9048, "iscrowd": 0, "bbox": [425, 146, 104, 87], "category_id": 2, "ignore": 0, "segmentation": [], "image_id": "BloodImage_00160", "id": 1169}, {"area": 8944, "iscrowd": 0, "bbox": [139, 0, 104, 86], "category_id": 2, "ignore": 0, "segmentation": [], "image_id": "BloodImage_00160", "id": 1170}, {"area": 2070, "iscrowd": 0, "bbox": [65, 143, 46, 45], "category_id": 3, "ignore": 0, "segmentation": [], "image_id": "BloodImage_00160", "id": 1171}, {"area": 42525, "iscrowd": 0, "bbox": [259, 291, 225, 189], "category_id": 1, "ignore": 0, "segmentation": [], "image_id": "BloodImage_00160", "id": 1172}, {"area": 9894, "iscrowd": 0, "bbox": [473, 79, 102, 97], "category_id": 2, "ignore": 0, "segmentation": [], "image_id": "BloodImage_00163", "id": 1173}, {"area": 9894, "iscrowd": 0, "bbox": [404, 77, 102, 97], "category_id": 2, "ignore": 0, "segmentation": [], "image_id": "BloodImage_00163", "id": 1174}, {"area": 11956, "iscrowd": 0, "bbox": [452, 226, 98, 122], "category_id": 2, "ignore": 0, "segmentation": [], "image_id": "BloodImage_00163", "id": 1175}, {"area": 11956, "iscrowd": 0, "bbox": [63, 88, 98, 122], "category_id": 2, "ignore": 0, "segmentation": [], "image_id": "BloodImage_00163", "id": 1176}, {"area": 9135, "iscrowd": 0, "bbox": [0, 329, 87, 105], "category_id": 2, "ignore": 0, "segmentation": [], "image_id": "BloodImage_00163", "id": 1177}, {"area": 10622, "iscrowd": 0, "bbox": [276, 300, 113, 94], "category_id": 2, "ignore": 0, "segmentation": [], "image_id": "BloodImage_00163", "id": 1178}, {"area": 27666, "iscrowd": 0, "bbox": [278, 127, 159, 174], "category_id": 1, "ignore": 0, "segmentation": [], "image_id": "BloodImage_00163", "id": 1179}, {"area": 1961, "iscrowd": 0, "bbox": [603, 124, 37, 53], "category_id": 3, "ignore": 0, "segmentation": [], "image_id": "BloodImage_00163", "id": 1180}, {"area": 18348, "iscrowd": 0, "bbox": [168, 178, 132, 139], "category_id": 2, "ignore": 0, "segmentation": [], "image_id": "BloodImage_00164", "id": 1181}, {"area": 11564, "iscrowd": 0, "bbox": [422, 335, 98, 118], "category_id": 2, "ignore": 0, "segmentation": [], "image_id": "BloodImage_00164", "id": 1182}, {"area": 11564, "iscrowd": 0, "bbox": [531, 357, 98, 118], "category_id": 2, "ignore": 0, "segmentation": [], "image_id": "BloodImage_00164", "id": 1183}, {"area": 9312, "iscrowd": 0, "bbox": [352, 38, 96, 97], "category_id": 2, "ignore": 0, "segmentation": [], "image_id": "BloodImage_00164", "id": 1184}, {"area": 13054, "iscrowd": 0, "bbox": [344, 123, 107, 122], "category_id": 2, "ignore": 0, "segmentation": [], "image_id": "BloodImage_00164", "id": 1185}, {"area": 13054, "iscrowd": 0, "bbox": [308, 232, 107, 122], "category_id": 2, "ignore": 0, "segmentation": [], "image_id": "BloodImage_00164", "id": 1186}, {"area": 12744, "iscrowd": 0, "bbox": [531, 150, 108, 118], "category_id": 2, "ignore": 0, "segmentation": [], "image_id": "BloodImage_00164", "id": 1187}, {"area": 16124, "iscrowd": 0, "bbox": [454, 68, 139, 116], "category_id": 2, "ignore": 0, "segmentation": [], "image_id": "BloodImage_00164", "id": 1188}, {"area": 17157, "iscrowd": 0, "bbox": [3, 187, 133, 129], "category_id": 2, "ignore": 0, "segmentation": [], "image_id": "BloodImage_00164", "id": 1189}, {"area": 14280, "iscrowd": 0, "bbox": [101, 76, 119, 120], "category_id": 2, "ignore": 0, "segmentation": [], "image_id": "BloodImage_00164", "id": 1190}, {"area": 38372, "iscrowd": 0, "bbox": [123, 299, 212, 181], "category_id": 1, "ignore": 0, "segmentation": [], "image_id": "BloodImage_00164", "id": 1191}, {"area": 1292, "iscrowd": 0, "bbox": [588, 133, 38, 34], "category_id": 3, "ignore": 0, "segmentation": [], "image_id": "BloodImage_00164", "id": 1192}, {"area": 9646, "iscrowd": 0, "bbox": [387, 156, 91, 106], "category_id": 2, "ignore": 0, "segmentation": [], "image_id": "BloodImage_00165", "id": 1193}, {"area": 10368, "iscrowd": 0, "bbox": [265, 384, 108, 96], "category_id": 2, "ignore": 0, "segmentation": [], "image_id": "BloodImage_00165", "id": 1194}, {"area": 10368, "iscrowd": 0, "bbox": [358, 362, 108, 96], "category_id": 2, "ignore": 0, "segmentation": [], "image_id": "BloodImage_00165", "id": 1195}, {"area": 13161, "iscrowd": 0, "bbox": [305, 273, 123, 107], "category_id": 2, "ignore": 0, "segmentation": [], "image_id": "BloodImage_00165", "id": 1196}, {"area": 13161, "iscrowd": 0, "bbox": [55, 295, 123, 107], "category_id": 2, "ignore": 0, "segmentation": [], "image_id": "BloodImage_00165", "id": 1197}, {"area": 10088, "iscrowd": 0, "bbox": [103, 175, 97, 104], "category_id": 2, "ignore": 0, "segmentation": [], "image_id": "BloodImage_00165", "id": 1198}, {"area": 15351, "iscrowd": 0, "bbox": [385, 3, 129, 119], "category_id": 2, "ignore": 0, "segmentation": [], "image_id": "BloodImage_00165", "id": 1199}, {"area": 8556, "iscrowd": 0, "bbox": [448, 388, 93, 92], "category_id": 2, "ignore": 0, "segmentation": [], "image_id": "BloodImage_00165", "id": 1200}, {"area": 10057, "iscrowd": 0, "bbox": [424, 251, 89, 113], "category_id": 2, "ignore": 0, "segmentation": [], "image_id": "BloodImage_00165", "id": 1201}, {"area": 7344, "iscrowd": 0, "bbox": [229, 0, 102, 72], "category_id": 2, "ignore": 0, "segmentation": [], "image_id": "BloodImage_00165", "id": 1202}, {"area": 56628, "iscrowd": 0, "bbox": [169, 56, 242, 234], "category_id": 1, "ignore": 0, "segmentation": [], "image_id": "BloodImage_00165", "id": 1203}, {"area": 10120, "iscrowd": 0, "bbox": [479, 1, 110, 92], "category_id": 2, "ignore": 0, "segmentation": [], "image_id": "BloodImage_00166", "id": 1204}, {"area": 12644, "iscrowd": 0, "bbox": [346, 198, 109, 116], "category_id": 2, "ignore": 0, "segmentation": [], "image_id": "BloodImage_00166", "id": 1205}, {"area": 9350, "iscrowd": 0, "bbox": [493, 356, 85, 110], "category_id": 2, "ignore": 0, "segmentation": [], "image_id": "BloodImage_00166", "id": 1206}, {"area": 9350, "iscrowd": 0, "bbox": [548, 80, 85, 110], "category_id": 2, "ignore": 0, "segmentation": [], "image_id": "BloodImage_00166", "id": 1207}, {"area": 12644, "iscrowd": 0, "bbox": [382, 352, 109, 116], "category_id": 2, "ignore": 0, "segmentation": [], "image_id": "BloodImage_00166", "id": 1208}, {"area": 10272, "iscrowd": 0, "bbox": [346, 0, 107, 96], "category_id": 2, "ignore": 0, "segmentation": [], "image_id": "BloodImage_00166", "id": 1209}, {"area": 14720, "iscrowd": 0, "bbox": [54, 76, 128, 115], "category_id": 2, "ignore": 0, "segmentation": [], "image_id": "BloodImage_00166", "id": 1210}, {"area": 11730, "iscrowd": 0, "bbox": [253, 27, 115, 102], "category_id": 2, "ignore": 0, "segmentation": [], "image_id": "BloodImage_00166", "id": 1211}, {"area": 12546, "iscrowd": 0, "bbox": [4, 197, 123, 102], "category_id": 2, "ignore": 0, "segmentation": [], "image_id": "BloodImage_00166", "id": 1212}, {"area": 13310, "iscrowd": 0, "bbox": [402, 164, 110, 121], "category_id": 2, "ignore": 0, "segmentation": [], "image_id": "BloodImage_00166", "id": 1213}, {"area": 10192, "iscrowd": 0, "bbox": [407, 263, 98, 104], "category_id": 2, "ignore": 0, "segmentation": [], "image_id": "BloodImage_00166", "id": 1214}, {"area": 33300, "iscrowd": 0, "bbox": [0, 331, 225, 148], "category_id": 1, "ignore": 0, "segmentation": [], "image_id": "BloodImage_00166", "id": 1215}, {"area": 1974, "iscrowd": 0, "bbox": [508, 181, 47, 42], "category_id": 3, "ignore": 0, "segmentation": [], "image_id": "BloodImage_00166", "id": 1216}, {"area": 12896, "iscrowd": 0, "bbox": [439, 346, 124, 104], "category_id": 2, "ignore": 0, "segmentation": [], "image_id": "BloodImage_00168", "id": 1217}, {"area": 9200, "iscrowd": 0, "bbox": [273, 178, 115, 80], "category_id": 2, "ignore": 0, "segmentation": [], "image_id": "BloodImage_00168", "id": 1218}, {"area": 10812, "iscrowd": 0, "bbox": [339, 260, 102, 106], "category_id": 2, "ignore": 0, "segmentation": [], "image_id": "BloodImage_00168", "id": 1219}, {"area": 12636, "iscrowd": 0, "bbox": [363, 102, 117, 108], "category_id": 2, "ignore": 0, "segmentation": [], "image_id": "BloodImage_00168", "id": 1220}, {"area": 10556, "iscrowd": 0, "bbox": [377, 0, 116, 91], "category_id": 2, "ignore": 0, "segmentation": [], "image_id": "BloodImage_00168", "id": 1221}, {"area": 13310, "iscrowd": 0, "bbox": [31, 370, 121, 110], "category_id": 2, "ignore": 0, "segmentation": [], "image_id": "BloodImage_00168", "id": 1222}, {"area": 9595, "iscrowd": 0, "bbox": [5, 275, 101, 95], "category_id": 2, "ignore": 0, "segmentation": [], "image_id": "BloodImage_00168", "id": 1223}, {"area": 12625, "iscrowd": 0, "bbox": [5, 40, 125, 101], "category_id": 2, "ignore": 0, "segmentation": [], "image_id": "BloodImage_00168", "id": 1224}, {"area": 7920, "iscrowd": 0, "bbox": [97, 0, 110, 72], "category_id": 2, "ignore": 0, "segmentation": [], "image_id": "BloodImage_00168", "id": 1225}, {"area": 7920, "iscrowd": 0, "bbox": [206, 0, 110, 72], "category_id": 2, "ignore": 0, "segmentation": [], "image_id": "BloodImage_00168", "id": 1226}, {"area": 11342, "iscrowd": 0, "bbox": [502, 74, 107, 106], "category_id": 2, "ignore": 0, "segmentation": [], "image_id": "BloodImage_00168", "id": 1227}, {"area": 11342, "iscrowd": 0, "bbox": [317, 300, 107, 106], "category_id": 2, "ignore": 0, "segmentation": [], "image_id": "BloodImage_00168", "id": 1228}, {"area": 8858, "iscrowd": 0, "bbox": [170, 344, 103, 86], "category_id": 2, "ignore": 0, "segmentation": [], "image_id": "BloodImage_00168", "id": 1229}, {"area": 15498, "iscrowd": 0, "bbox": [180, 46, 126, 123], "category_id": 2, "ignore": 0, "segmentation": [], "image_id": "BloodImage_00168", "id": 1230}, {"area": 7938, "iscrowd": 0, "bbox": [559, 134, 81, 98], "category_id": 2, "ignore": 0, "segmentation": [], "image_id": "BloodImage_00168", "id": 1231}, {"area": 9118, "iscrowd": 0, "bbox": [0, 133, 97, 94], "category_id": 2, "ignore": 0, "segmentation": [], "image_id": "BloodImage_00168", "id": 1232}, {"area": 2744, "iscrowd": 0, "bbox": [276, 391, 56, 49], "category_id": 3, "ignore": 0, "segmentation": [], "image_id": "BloodImage_00168", "id": 1233}, {"area": 4160, "iscrowd": 0, "bbox": [525, 218, 64, 65], "category_id": 3, "ignore": 0, "segmentation": [], "image_id": "BloodImage_00168", "id": 1234}, {"area": 41989, "iscrowd": 0, "bbox": [54, 148, 211, 199], "category_id": 1, "ignore": 0, "segmentation": [], "image_id": "BloodImage_00168", "id": 1235}, {"area": 11716, "iscrowd": 0, "bbox": [358, 100, 101, 116], "category_id": 2, "ignore": 0, "segmentation": [], "image_id": "BloodImage_00170", "id": 1236}, {"area": 11484, "iscrowd": 0, "bbox": [393, 364, 116, 99], "category_id": 2, "ignore": 0, "segmentation": [], "image_id": "BloodImage_00170", "id": 1237}, {"area": 14157, "iscrowd": 0, "bbox": [424, 171, 121, 117], "category_id": 2, "ignore": 0, "segmentation": [], "image_id": "BloodImage_00170", "id": 1238}, {"area": 9711, "iscrowd": 0, "bbox": [458, 289, 117, 83], "category_id": 2, "ignore": 0, "segmentation": [], "image_id": "BloodImage_00170", "id": 1239}, {"area": 8918, "iscrowd": 0, "bbox": [56, 389, 98, 91], "category_id": 2, "ignore": 0, "segmentation": [], "image_id": "BloodImage_00170", "id": 1240}, {"area": 9506, "iscrowd": 0, "bbox": [0, 232, 97, 98], "category_id": 2, "ignore": 0, "segmentation": [], "image_id": "BloodImage_00170", "id": 1241}, {"area": 9506, "iscrowd": 0, "bbox": [0, 126, 97, 98], "category_id": 2, "ignore": 0, "segmentation": [], "image_id": "BloodImage_00170", "id": 1242}, {"area": 14125, "iscrowd": 0, "bbox": [270, 20, 125, 113], "category_id": 2, "ignore": 0, "segmentation": [], "image_id": "BloodImage_00170", "id": 1243}, {"area": 11988, "iscrowd": 0, "bbox": [184, 109, 108, 111], "category_id": 2, "ignore": 0, "segmentation": [], "image_id": "BloodImage_00170", "id": 1244}, {"area": 11988, "iscrowd": 0, "bbox": [85, 87, 108, 111], "category_id": 2, "ignore": 0, "segmentation": [], "image_id": "BloodImage_00170", "id": 1245}, {"area": 11988, "iscrowd": 0, "bbox": [111, 32, 108, 111], "category_id": 2, "ignore": 0, "segmentation": [], "image_id": "BloodImage_00170", "id": 1246}, {"area": 7777, "iscrowd": 0, "bbox": [563, 173, 77, 101], "category_id": 2, "ignore": 0, "segmentation": [], "image_id": "BloodImage_00170", "id": 1247}, {"area": 9312, "iscrowd": 0, "bbox": [98, 211, 96, 97], "category_id": 2, "ignore": 0, "segmentation": [], "image_id": "BloodImage_00170", "id": 1248}, {"area": 49506, "iscrowd": 0, "bbox": [178, 173, 223, 222], "category_id": 1, "ignore": 0, "segmentation": [], "image_id": "BloodImage_00170", "id": 1249}, {"area": 11232, "iscrowd": 0, "bbox": [454, 105, 108, 104], "category_id": 2, "ignore": 0, "segmentation": [], "image_id": "BloodImage_00174", "id": 1250}, {"area": 11232, "iscrowd": 0, "bbox": [489, 248, 108, 104], "category_id": 2, "ignore": 0, "segmentation": [], "image_id": "BloodImage_00174", "id": 1251}, {"area": 10290, "iscrowd": 0, "bbox": [542, 164, 98, 105], "category_id": 2, "ignore": 0, "segmentation": [], "image_id": "BloodImage_00174", "id": 1252}, {"area": 7738, "iscrowd": 0, "bbox": [567, 322, 73, 106], "category_id": 2, "ignore": 0, "segmentation": [], "image_id": "BloodImage_00174", "id": 1253}, {"area": 12626, "iscrowd": 0, "bbox": [309, 364, 118, 107], "category_id": 2, "ignore": 0, "segmentation": [], "image_id": "BloodImage_00174", "id": 1254}, {"area": 13552, "iscrowd": 0, "bbox": [297, 45, 121, 112], "category_id": 2, "ignore": 0, "segmentation": [], "image_id": "BloodImage_00174", "id": 1255}, {"area": 11682, "iscrowd": 0, "bbox": [202, 23, 99, 118], "category_id": 2, "ignore": 0, "segmentation": [], "image_id": "BloodImage_00174", "id": 1256}, {"area": 10486, "iscrowd": 0, "bbox": [393, 0, 98, 107], "category_id": 2, "ignore": 0, "segmentation": [], "image_id": "BloodImage_00174", "id": 1257}, {"area": 8239, "iscrowd": 0, "bbox": [0, 152, 77, 107], "category_id": 2, "ignore": 0, "segmentation": [], "image_id": "BloodImage_00174", "id": 1258}, {"area": 6834, "iscrowd": 0, "bbox": [0, 378, 67, 102], "category_id": 2, "ignore": 0, "segmentation": [], "image_id": "BloodImage_00174", "id": 1259}, {"area": 6825, "iscrowd": 0, "bbox": [0, 0, 91, 75], "category_id": 2, "ignore": 0, "segmentation": [], "image_id": "BloodImage_00174", "id": 1260}, {"area": 10788, "iscrowd": 0, "bbox": [94, 0, 116, 93], "category_id": 2, "ignore": 0, "segmentation": [], "image_id": "BloodImage_00174", "id": 1261}, {"area": 10904, "iscrowd": 0, "bbox": [36, 316, 116, 94], "category_id": 2, "ignore": 0, "segmentation": [], "image_id": "BloodImage_00174", "id": 1262}, {"area": 43888, "iscrowd": 0, "bbox": [187, 160, 211, 208], "category_id": 1, "ignore": 0, "segmentation": [], "image_id": "BloodImage_00174", "id": 1263}, {"area": 1170, "iscrowd": 0, "bbox": [286, 405, 30, 39], "category_id": 3, "ignore": 0, "segmentation": [], "image_id": "BloodImage_00174", "id": 1264}, {"area": 12543, "iscrowd": 0, "bbox": [18, 1, 111, 113], "category_id": 2, "ignore": 0, "segmentation": [], "image_id": "BloodImage_00175", "id": 1265}, {"area": 11682, "iscrowd": 0, "bbox": [0, 175, 99, 118], "category_id": 2, "ignore": 0, "segmentation": [], "image_id": "BloodImage_00175", "id": 1266}, {"area": 9409, "iscrowd": 0, "bbox": [186, 55, 97, 97], "category_id": 2, "ignore": 0, "segmentation": [], "image_id": "BloodImage_00175", "id": 1267}, {"area": 11374, "iscrowd": 0, "bbox": [297, 181, 121, 94], "category_id": 2, "ignore": 0, "segmentation": [], "image_id": "BloodImage_00175", "id": 1268}, {"area": 11374, "iscrowd": 0, "bbox": [395, 248, 121, 94], "category_id": 2, "ignore": 0, "segmentation": [], "image_id": "BloodImage_00175", "id": 1269}, {"area": 11374, "iscrowd": 0, "bbox": [519, 8, 121, 94], "category_id": 2, "ignore": 0, "segmentation": [], "image_id": "BloodImage_00175", "id": 1270}, {"area": 11374, "iscrowd": 0, "bbox": [28, 304, 121, 94], "category_id": 2, "ignore": 0, "segmentation": [], "image_id": "BloodImage_00175", "id": 1271}, {"area": 13915, "iscrowd": 0, "bbox": [519, 106, 121, 115], "category_id": 2, "ignore": 0, "segmentation": [], "image_id": "BloodImage_00175", "id": 1272}, {"area": 7743, "iscrowd": 0, "bbox": [109, 171, 87, 89], "category_id": 2, "ignore": 0, "segmentation": [], "image_id": "BloodImage_00175", "id": 1273}, {"area": 49184, "iscrowd": 0, "bbox": [210, 247, 212, 232], "category_id": 1, "ignore": 0, "segmentation": [], "image_id": "BloodImage_00175", "id": 1274}, {"area": 11024, "iscrowd": 0, "bbox": [241, 221, 106, 104], "category_id": 2, "ignore": 0, "segmentation": [], "image_id": "BloodImage_00176", "id": 1275}, {"area": 8835, "iscrowd": 0, "bbox": [463, 42, 93, 95], "category_id": 2, "ignore": 0, "segmentation": [], "image_id": "BloodImage_00176", "id": 1276}, {"area": 10403, "iscrowd": 0, "bbox": [530, 185, 101, 103], "category_id": 2, "ignore": 0, "segmentation": [], "image_id": "BloodImage_00176", "id": 1277}, {"area": 11016, "iscrowd": 0, "bbox": [22, 87, 102, 108], "category_id": 2, "ignore": 0, "segmentation": [], "image_id": "BloodImage_00176", "id": 1278}, {"area": 11016, "iscrowd": 0, "bbox": [376, 233, 102, 108], "category_id": 2, "ignore": 0, "segmentation": [], "image_id": "BloodImage_00176", "id": 1279}, {"area": 11016, "iscrowd": 0, "bbox": [58, 195, 102, 108], "category_id": 2, "ignore": 0, "segmentation": [], "image_id": "BloodImage_00176", "id": 1280}, {"area": 9030, "iscrowd": 0, "bbox": [288, 0, 105, 86], "category_id": 2, "ignore": 0, "segmentation": [], "image_id": "BloodImage_00176", "id": 1281}, {"area": 9135, "iscrowd": 0, "bbox": [151, 273, 105, 87], "category_id": 2, "ignore": 0, "segmentation": [], "image_id": "BloodImage_00176", "id": 1282}, {"area": 10340, "iscrowd": 0, "bbox": [319, 386, 110, 94], "category_id": 2, "ignore": 0, "segmentation": [], "image_id": "BloodImage_00176", "id": 1283}, {"area": 9177, "iscrowd": 0, "bbox": [189, 411, 133, 69], "category_id": 2, "ignore": 0, "segmentation": [], "image_id": "BloodImage_00176", "id": 1284}, {"area": 12412, "iscrowd": 0, "bbox": [63, 364, 107, 116], "category_id": 2, "ignore": 0, "segmentation": [], "image_id": "BloodImage_00176", "id": 1285}, {"area": 43818, "iscrowd": 0, "bbox": [106, 33, 218, 201], "category_id": 1, "ignore": 0, "segmentation": [], "image_id": "BloodImage_00176", "id": 1286}, {"area": 22475, "iscrowd": 0, "bbox": [305, 101, 155, 145], "category_id": 1, "ignore": 0, "segmentation": [], "image_id": "BloodImage_00176", "id": 1287}, {"area": 1122, "iscrowd": 0, "bbox": [603, 384, 34, 33], "category_id": 3, "ignore": 0, "segmentation": [], "image_id": "BloodImage_00176", "id": 1288}, {"area": 12524, "iscrowd": 0, "bbox": [374, 114, 124, 101], "category_id": 2, "ignore": 0, "segmentation": [], "image_id": "BloodImage_00177", "id": 1289}, {"area": 15609, "iscrowd": 0, "bbox": [278, 263, 121, 129], "category_id": 2, "ignore": 0, "segmentation": [], "image_id": "BloodImage_00177", "id": 1290}, {"area": 13566, "iscrowd": 0, "bbox": [446, 188, 114, 119], "category_id": 2, "ignore": 0, "segmentation": [], "image_id": "BloodImage_00177", "id": 1291}, {"area": 13872, "iscrowd": 0, "bbox": [120, 340, 136, 102], "category_id": 2, "ignore": 0, "segmentation": [], "image_id": "BloodImage_00177", "id": 1292}, {"area": 10800, "iscrowd": 0, "bbox": [0, 100, 75, 144], "category_id": 2, "ignore": 0, "segmentation": [], "image_id": "BloodImage_00177", "id": 1293}, {"area": 15327, "iscrowd": 0, "bbox": [322, 5, 131, 117], "category_id": 2, "ignore": 0, "segmentation": [], "image_id": "BloodImage_00177", "id": 1294}, {"area": 10234, "iscrowd": 0, "bbox": [451, 0, 86, 119], "category_id": 2, "ignore": 0, "segmentation": [], "image_id": "BloodImage_00177", "id": 1295}, {"area": 12375, "iscrowd": 0, "bbox": [541, 258, 99, 125], "category_id": 2, "ignore": 0, "segmentation": [], "image_id": "BloodImage_00177", "id": 1296}, {"area": 10010, "iscrowd": 0, "bbox": [549, 123, 91, 110], "category_id": 2, "ignore": 0, "segmentation": [], "image_id": "BloodImage_00177", "id": 1297}, {"area": 7480, "iscrowd": 0, "bbox": [552, 0, 88, 85], "category_id": 2, "ignore": 0, "segmentation": [], "image_id": "BloodImage_00177", "id": 1298}, {"area": 12480, "iscrowd": 0, "bbox": [305, 376, 120, 104], "category_id": 2, "ignore": 0, "segmentation": [], "image_id": "BloodImage_00177", "id": 1299}, {"area": 992, "iscrowd": 0, "bbox": [505, 155, 31, 32], "category_id": 3, "ignore": 0, "segmentation": [], "image_id": "BloodImage_00177", "id": 1300}, {"area": 2592, "iscrowd": 0, "bbox": [384, 216, 54, 48], "category_id": 3, "ignore": 0, "segmentation": [], "image_id": "BloodImage_00177", "id": 1301}, {"area": 34869, "iscrowd": 0, "bbox": [175, 91, 197, 177], "category_id": 1, "ignore": 0, "segmentation": [], "image_id": "BloodImage_00177", "id": 1302}, {"area": 13736, "iscrowd": 0, "bbox": [64, 41, 101, 136], "category_id": 2, "ignore": 0, "segmentation": [], "image_id": "BloodImage_00179", "id": 1303}, {"area": 9628, "iscrowd": 0, "bbox": [372, 0, 116, 83], "category_id": 2, "ignore": 0, "segmentation": [], "image_id": "BloodImage_00179", "id": 1304}, {"area": 12600, "iscrowd": 0, "bbox": [226, 2, 120, 105], "category_id": 2, "ignore": 0, "segmentation": [], "image_id": "BloodImage_00179", "id": 1305}, {"area": 12600, "iscrowd": 0, "bbox": [486, 127, 120, 105], "category_id": 2, "ignore": 0, "segmentation": [], "image_id": "BloodImage_00179", "id": 1306}, {"area": 12600, "iscrowd": 0, "bbox": [174, 287, 120, 105], "category_id": 2, "ignore": 0, "segmentation": [], "image_id": "BloodImage_00179", "id": 1307}, {"area": 11186, "iscrowd": 0, "bbox": [93, 386, 119, 94], "category_id": 2, "ignore": 0, "segmentation": [], "image_id": "BloodImage_00179", "id": 1308}, {"area": 12650, "iscrowd": 0, "bbox": [310, 350, 110, 115], "category_id": 2, "ignore": 0, "segmentation": [], "image_id": "BloodImage_00179", "id": 1309}, {"area": 9416, "iscrowd": 0, "bbox": [48, 272, 107, 88], "category_id": 2, "ignore": 0, "segmentation": [], "image_id": "BloodImage_00179", "id": 1310}, {"area": 11881, "iscrowd": 0, "bbox": [164, 76, 109, 109], "category_id": 2, "ignore": 0, "segmentation": [], "image_id": "BloodImage_00179", "id": 1311}, {"area": 18018, "iscrowd": 0, "bbox": [105, 167, 143, 126], "category_id": 2, "ignore": 0, "segmentation": [], "image_id": "BloodImage_00179", "id": 1312}, {"area": 9240, "iscrowd": 0, "bbox": [465, 396, 110, 84], "category_id": 2, "ignore": 0, "segmentation": [], "image_id": "BloodImage_00179", "id": 1313}, {"area": 8904, "iscrowd": 0, "bbox": [556, 201, 84, 106], "category_id": 2, "ignore": 0, "segmentation": [], "image_id": "BloodImage_00179", "id": 1314}, {"area": 44726, "iscrowd": 0, "bbox": [252, 142, 214, 209], "category_id": 1, "ignore": 0, "segmentation": [], "image_id": "BloodImage_00179", "id": 1315}, {"area": 1521, "iscrowd": 0, "bbox": [69, 14, 39, 39], "category_id": 3, "ignore": 0, "segmentation": [], "image_id": "BloodImage_00179", "id": 1316}, {"area": 13986, "iscrowd": 0, "bbox": [160, 74, 126, 111], "category_id": 2, "ignore": 0, "segmentation": [], "image_id": "BloodImage_00182", "id": 1317}, {"area": 17160, "iscrowd": 0, "bbox": [47, 77, 132, 130], "category_id": 2, "ignore": 0, "segmentation": [], "image_id": "BloodImage_00182", "id": 1318}, {"area": 13908, "iscrowd": 0, "bbox": [515, 182, 122, 114], "category_id": 2, "ignore": 0, "segmentation": [], "image_id": "BloodImage_00182", "id": 1319}, {"area": 11781, "iscrowd": 0, "bbox": [172, 350, 119, 99], "category_id": 2, "ignore": 0, "segmentation": [], "image_id": "BloodImage_00182", "id": 1320}, {"area": 11781, "iscrowd": 0, "bbox": [46, 360, 119, 99], "category_id": 2, "ignore": 0, "segmentation": [], "image_id": "BloodImage_00182", "id": 1321}, {"area": 11682, "iscrowd": 0, "bbox": [0, 10, 118, 99], "category_id": 2, "ignore": 0, "segmentation": [], "image_id": "BloodImage_00182", "id": 1322}, {"area": 17466, "iscrowd": 0, "bbox": [438, 9, 142, 123], "category_id": 2, "ignore": 0, "segmentation": [], "image_id": "BloodImage_00182", "id": 1323}, {"area": 12566, "iscrowd": 0, "bbox": [314, 241, 122, 103], "category_id": 2, "ignore": 0, "segmentation": [], "image_id": "BloodImage_00182", "id": 1324}, {"area": 10070, "iscrowd": 0, "bbox": [518, 377, 106, 95], "category_id": 2, "ignore": 0, "segmentation": [], "image_id": "BloodImage_00182", "id": 1325}, {"area": 42024, "iscrowd": 0, "bbox": [292, 56, 206, 204], "category_id": 1, "ignore": 0, "segmentation": [], "image_id": "BloodImage_00182", "id": 1326}, {"area": 1440, "iscrowd": 0, "bbox": [73, 312, 36, 40], "category_id": 3, "ignore": 0, "segmentation": [], "image_id": "BloodImage_00187", "id": 1327}, {"area": 58800, "iscrowd": 0, "bbox": [158, 228, 245, 240], "category_id": 1, "ignore": 0, "segmentation": [], "image_id": "BloodImage_00187", "id": 1328}, {"area": 10640, "iscrowd": 0, "bbox": [400, 56, 95, 112], "category_id": 2, "ignore": 0, "segmentation": [], "image_id": "BloodImage_00187", "id": 1329}, {"area": 13356, "iscrowd": 0, "bbox": [441, 64, 106, 126], "category_id": 2, "ignore": 0, "segmentation": [], "image_id": "BloodImage_00187", "id": 1330}, {"area": 12880, "iscrowd": 0, "bbox": [191, 136, 115, 112], "category_id": 2, "ignore": 0, "segmentation": [], "image_id": "BloodImage_00187", "id": 1331}, {"area": 12880, "iscrowd": 0, "bbox": [21, 45, 115, 112], "category_id": 2, "ignore": 0, "segmentation": [], "image_id": "BloodImage_00187", "id": 1332}, {"area": 12880, "iscrowd": 0, "bbox": [133, 47, 115, 112], "category_id": 2, "ignore": 0, "segmentation": [], "image_id": "BloodImage_00187", "id": 1333}, {"area": 10700, "iscrowd": 0, "bbox": [458, 266, 107, 100], "category_id": 2, "ignore": 0, "segmentation": [], "image_id": "BloodImage_00187", "id": 1334}, {"area": 14868, "iscrowd": 0, "bbox": [384, 65, 118, 126], "category_id": 2, "ignore": 0, "segmentation": [], "image_id": "BloodImage_00189", "id": 1335}, {"area": 9095, "iscrowd": 0, "bbox": [260, 72, 107, 85], "category_id": 2, "ignore": 0, "segmentation": [], "image_id": "BloodImage_00189", "id": 1336}, {"area": 15540, "iscrowd": 0, "bbox": [482, 155, 105, 148], "category_id": 2, "ignore": 0, "segmentation": [], "image_id": "BloodImage_00189", "id": 1337}, {"area": 10504, "iscrowd": 0, "bbox": [379, 268, 101, 104], "category_id": 2, "ignore": 0, "segmentation": [], "image_id": "BloodImage_00189", "id": 1338}, {"area": 9153, "iscrowd": 0, "bbox": [79, 0, 113, 81], "category_id": 2, "ignore": 0, "segmentation": [], "image_id": "BloodImage_00189", "id": 1339}, {"area": 5396, "iscrowd": 0, "bbox": [446, 409, 76, 71], "category_id": 2, "ignore": 0, "segmentation": [], "image_id": "BloodImage_00189", "id": 1340}, {"area": 14124, "iscrowd": 0, "bbox": [202, 349, 132, 107], "category_id": 2, "ignore": 0, "segmentation": [], "image_id": "BloodImage_00189", "id": 1341}, {"area": 8544, "iscrowd": 0, "bbox": [317, 337, 89, 96], "category_id": 2, "ignore": 0, "segmentation": [], "image_id": "BloodImage_00189", "id": 1342}, {"area": 11200, "iscrowd": 0, "bbox": [0, 141, 100, 112], "category_id": 2, "ignore": 0, "segmentation": [], "image_id": "BloodImage_00189", "id": 1343}, {"area": 11312, "iscrowd": 0, "bbox": [505, 20, 101, 112], "category_id": 2, "ignore": 0, "segmentation": [], "image_id": "BloodImage_00189", "id": 1344}, {"area": 6675, "iscrowd": 0, "bbox": [565, 391, 75, 89], "category_id": 2, "ignore": 0, "segmentation": [], "image_id": "BloodImage_00189", "id": 1345}, {"area": 35200, "iscrowd": 0, "bbox": [187, 164, 200, 176], "category_id": 1, "ignore": 0, "segmentation": [], "image_id": "BloodImage_00189", "id": 1346}, {"area": 9095, "iscrowd": 0, "bbox": [99, 197, 107, 85], "category_id": 2, "ignore": 0, "segmentation": [], "image_id": "BloodImage_00189", "id": 1347}, {"area": 13970, "iscrowd": 0, "bbox": [138, 303, 127, 110], "category_id": 2, "ignore": 0, "segmentation": [], "image_id": "BloodImage_00189", "id": 1348}, {"area": 12154, "iscrowd": 0, "bbox": [255, 15, 118, 103], "category_id": 2, "ignore": 0, "segmentation": [], "image_id": "BloodImage_00190", "id": 1349}, {"area": 9500, "iscrowd": 0, "bbox": [411, 36, 95, 100], "category_id": 2, "ignore": 0, "segmentation": [], "image_id": "BloodImage_00190", "id": 1350}, {"area": 8460, "iscrowd": 0, "bbox": [114, 9, 94, 90], "category_id": 2, "ignore": 0, "segmentation": [], "image_id": "BloodImage_00190", "id": 1351}, {"area": 16756, "iscrowd": 0, "bbox": [514, 143, 118, 142], "category_id": 2, "ignore": 0, "segmentation": [], "image_id": "BloodImage_00190", "id": 1352}, {"area": 12096, "iscrowd": 0, "bbox": [372, 236, 112, 108], "category_id": 2, "ignore": 0, "segmentation": [], "image_id": "BloodImage_00190", "id": 1353}, {"area": 12096, "iscrowd": 0, "bbox": [501, 44, 112, 108], "category_id": 2, "ignore": 0, "segmentation": [], "image_id": "BloodImage_00190", "id": 1354}, {"area": 10500, "iscrowd": 0, "bbox": [44, 93, 100, 105], "category_id": 2, "ignore": 0, "segmentation": [], "image_id": "BloodImage_00190", "id": 1355}, {"area": 12096, "iscrowd": 0, "bbox": [464, 314, 112, 108], "category_id": 2, "ignore": 0, "segmentation": [], "image_id": "BloodImage_00190", "id": 1356}, {"area": 12096, "iscrowd": 0, "bbox": [160, 301, 112, 108], "category_id": 2, "ignore": 0, "segmentation": [], "image_id": "BloodImage_00190", "id": 1357}, {"area": 12096, "iscrowd": 0, "bbox": [321, 330, 112, 108], "category_id": 2, "ignore": 0, "segmentation": [], "image_id": "BloodImage_00190", "id": 1358}, {"area": 10947, "iscrowd": 0, "bbox": [113, 391, 123, 89], "category_id": 2, "ignore": 0, "segmentation": [], "image_id": "BloodImage_00190", "id": 1359}, {"area": 8174, "iscrowd": 0, "bbox": [481, 413, 122, 67], "category_id": 2, "ignore": 0, "segmentation": [], "image_id": "BloodImage_00190", "id": 1360}, {"area": 45792, "iscrowd": 0, "bbox": [180, 114, 216, 212], "category_id": 1, "ignore": 0, "segmentation": [], "image_id": "BloodImage_00190", "id": 1361}, {"area": 2115, "iscrowd": 0, "bbox": [479, 207, 47, 45], "category_id": 3, "ignore": 0, "segmentation": [], "image_id": "BloodImage_00190", "id": 1362}, {"area": 11110, "iscrowd": 0, "bbox": [352, 0, 110, 101], "category_id": 2, "ignore": 0, "segmentation": [], "image_id": "BloodImage_00191", "id": 1363}, {"area": 14766, "iscrowd": 0, "bbox": [295, 97, 107, 138], "category_id": 2, "ignore": 0, "segmentation": [], "image_id": "BloodImage_00191", "id": 1364}, {"area": 14518, "iscrowd": 0, "bbox": [302, 263, 122, 119], "category_id": 2, "ignore": 0, "segmentation": [], "image_id": "BloodImage_00191", "id": 1365}, {"area": 16482, "iscrowd": 0, "bbox": [48, 61, 123, 134], "category_id": 2, "ignore": 0, "segmentation": [], "image_id": "BloodImage_00191", "id": 1366}, {"area": 9215, "iscrowd": 0, "bbox": [204, 20, 95, 97], "category_id": 2, "ignore": 0, "segmentation": [], "image_id": "BloodImage_00191", "id": 1367}, {"area": 6794, "iscrowd": 0, "bbox": [561, 0, 79, 86], "category_id": 2, "ignore": 0, "segmentation": [], "image_id": "BloodImage_00191", "id": 1368}, {"area": 13800, "iscrowd": 0, "bbox": [172, 170, 120, 115], "category_id": 2, "ignore": 0, "segmentation": [], "image_id": "BloodImage_00191", "id": 1369}, {"area": 9292, "iscrowd": 0, "bbox": [539, 268, 101, 92], "category_id": 2, "ignore": 0, "segmentation": [], "image_id": "BloodImage_00191", "id": 1370}, {"area": 11760, "iscrowd": 0, "bbox": [513, 341, 120, 98], "category_id": 2, "ignore": 0, "segmentation": [], "image_id": "BloodImage_00191", "id": 1371}, {"area": 7760, "iscrowd": 0, "bbox": [303, 383, 80, 97], "category_id": 2, "ignore": 0, "segmentation": [], "image_id": "BloodImage_00191", "id": 1372}, {"area": 8107, "iscrowd": 0, "bbox": [573, 157, 67, 121], "category_id": 2, "ignore": 0, "segmentation": [], "image_id": "BloodImage_00191", "id": 1373}, {"area": 8211, "iscrowd": 0, "bbox": [0, 336, 69, 119], "category_id": 2, "ignore": 0, "segmentation": [], "image_id": "BloodImage_00191", "id": 1374}, {"area": 6510, "iscrowd": 0, "bbox": [0, 131, 70, 93], "category_id": 2, "ignore": 0, "segmentation": [], "image_id": "BloodImage_00191", "id": 1375}, {"area": 9215, "iscrowd": 0, "bbox": [255, 10, 95, 97], "category_id": 2, "ignore": 0, "segmentation": [], "image_id": "BloodImage_00191", "id": 1376}, {"area": 20700, "iscrowd": 0, "bbox": [422, 75, 150, 138], "category_id": 1, "ignore": 0, "segmentation": [], "image_id": "BloodImage_00191", "id": 1377}, {"area": 10998, "iscrowd": 0, "bbox": [141, 353, 117, 94], "category_id": 2, "ignore": 0, "segmentation": [], "image_id": "BloodImage_00195", "id": 1378}, {"area": 10192, "iscrowd": 0, "bbox": [26, 372, 112, 91], "category_id": 2, "ignore": 0, "segmentation": [], "image_id": "BloodImage_00195", "id": 1379}, {"area": 10998, "iscrowd": 0, "bbox": [207, 89, 117, 94], "category_id": 2, "ignore": 0, "segmentation": [], "image_id": "BloodImage_00195", "id": 1380}, {"area": 12862, "iscrowd": 0, "bbox": [386, 40, 118, 109], "category_id": 2, "ignore": 0, "segmentation": [], "image_id": "BloodImage_00195", "id": 1381}, {"area": 10340, "iscrowd": 0, "bbox": [416, 153, 94, 110], "category_id": 2, "ignore": 0, "segmentation": [], "image_id": "BloodImage_00195", "id": 1382}, {"area": 11264, "iscrowd": 0, "bbox": [552, 227, 88, 128], "category_id": 2, "ignore": 0, "segmentation": [], "image_id": "BloodImage_00195", "id": 1383}, {"area": 10197, "iscrowd": 0, "bbox": [139, 193, 99, 103], "category_id": 2, "ignore": 0, "segmentation": [], "image_id": "BloodImage_00195", "id": 1384}, {"area": 10197, "iscrowd": 0, "bbox": [238, 283, 99, 103], "category_id": 2, "ignore": 0, "segmentation": [], "image_id": "BloodImage_00195", "id": 1385}, {"area": 9191, "iscrowd": 0, "bbox": [52, 304, 101, 91], "category_id": 2, "ignore": 0, "segmentation": [], "image_id": "BloodImage_00195", "id": 1386}, {"area": 13794, "iscrowd": 0, "bbox": [272, 19, 114, 121], "category_id": 2, "ignore": 0, "segmentation": [], "image_id": "BloodImage_00195", "id": 1387}, {"area": 17822, "iscrowd": 0, "bbox": [336, 268, 133, 134], "category_id": 1, "ignore": 0, "segmentation": [], "image_id": "BloodImage_00195", "id": 1388}, {"area": 1156, "iscrowd": 0, "bbox": [133, 193, 34, 34], "category_id": 3, "ignore": 0, "segmentation": [], "image_id": "BloodImage_00195", "id": 1389}, {"area": 10750, "iscrowd": 0, "bbox": [554, 88, 86, 125], "category_id": 1, "ignore": 0, "segmentation": [], "image_id": "BloodImage_00195", "id": 1390}, {"area": 12650, "iscrowd": 0, "bbox": [502, 38, 115, 110], "category_id": 2, "ignore": 0, "segmentation": [], "image_id": "BloodImage_00196", "id": 1391}, {"area": 12650, "iscrowd": 0, "bbox": [318, 55, 115, 110], "category_id": 2, "ignore": 0, "segmentation": [], "image_id": "BloodImage_00196", "id": 1392}, {"area": 12650, "iscrowd": 0, "bbox": [51, 132, 115, 110], "category_id": 2, "ignore": 0, "segmentation": [], "image_id": "BloodImage_00196", "id": 1393}, {"area": 12650, "iscrowd": 0, "bbox": [130, 314, 115, 110], "category_id": 2, "ignore": 0, "segmentation": [], "image_id": "BloodImage_00196", "id": 1394}, {"area": 12650, "iscrowd": 0, "bbox": [200, 187, 115, 110], "category_id": 2, "ignore": 0, "segmentation": [], "image_id": "BloodImage_00196", "id": 1395}, {"area": 12650, "iscrowd": 0, "bbox": [232, 123, 115, 110], "category_id": 2, "ignore": 0, "segmentation": [], "image_id": "BloodImage_00196", "id": 1396}, {"area": 11118, "iscrowd": 0, "bbox": [127, 44, 102, 109], "category_id": 2, "ignore": 0, "segmentation": [], "image_id": "BloodImage_00196", "id": 1397}, {"area": 9975, "iscrowd": 0, "bbox": [250, 384, 105, 95], "category_id": 2, "ignore": 0, "segmentation": [], "image_id": "BloodImage_00196", "id": 1398}, {"area": 9975, "iscrowd": 0, "bbox": [459, 139, 105, 95], "category_id": 2, "ignore": 0, "segmentation": [], "image_id": "BloodImage_00196", "id": 1399}, {"area": 10780, "iscrowd": 0, "bbox": [542, 157, 98, 110], "category_id": 2, "ignore": 0, "segmentation": [], "image_id": "BloodImage_00196", "id": 1400}, {"area": 54120, "iscrowd": 0, "bbox": [316, 221, 246, 220], "category_id": 1, "ignore": 0, "segmentation": [], "image_id": "BloodImage_00196", "id": 1401}, {"area": 9405, "iscrowd": 0, "bbox": [11, 316, 99, 95], "category_id": 2, "ignore": 0, "segmentation": [], "image_id": "BloodImage_00197", "id": 1402}, {"area": 9310, "iscrowd": 0, "bbox": [0, 190, 70, 133], "category_id": 2, "ignore": 0, "segmentation": [], "image_id": "BloodImage_00197", "id": 1403}, {"area": 14364, "iscrowd": 0, "bbox": [304, 122, 126, 114], "category_id": 2, "ignore": 0, "segmentation": [], "image_id": "BloodImage_00197", "id": 1404}, {"area": 11227, "iscrowd": 0, "bbox": [391, 247, 103, 109], "category_id": 2, "ignore": 0, "segmentation": [], "image_id": "BloodImage_00197", "id": 1405}, {"area": 11918, "iscrowd": 0, "bbox": [171, 291, 101, 118], "category_id": 2, "ignore": 0, "segmentation": [], "image_id": "BloodImage_00197", "id": 1406}, {"area": 13431, "iscrowd": 0, "bbox": [519, 183, 121, 111], "category_id": 2, "ignore": 0, "segmentation": [], "image_id": "BloodImage_00197", "id": 1407}, {"area": 9116, "iscrowd": 0, "bbox": [313, 0, 106, 86], "category_id": 2, "ignore": 0, "segmentation": [], "image_id": "BloodImage_00197", "id": 1408}, {"area": 13266, "iscrowd": 0, "bbox": [74, 83, 134, 99], "category_id": 2, "ignore": 0, "segmentation": [], "image_id": "BloodImage_00197", "id": 1409}, {"area": 16637, "iscrowd": 0, "bbox": [50, 148, 127, 131], "category_id": 2, "ignore": 0, "segmentation": [], "image_id": "BloodImage_00197", "id": 1410}, {"area": 12954, "iscrowd": 0, "bbox": [275, 310, 127, 102], "category_id": 2, "ignore": 0, "segmentation": [], "image_id": "BloodImage_00197", "id": 1411}, {"area": 9625, "iscrowd": 0, "bbox": [169, 0, 125, 77], "category_id": 2, "ignore": 0, "segmentation": [], "image_id": "BloodImage_00197", "id": 1412}, {"area": 1840, "iscrowd": 0, "bbox": [204, 417, 40, 46], "category_id": 3, "ignore": 0, "segmentation": [], "image_id": "BloodImage_00197", "id": 1413}, {"area": 1638, "iscrowd": 0, "bbox": [270, 61, 39, 42], "category_id": 3, "ignore": 0, "segmentation": [], "image_id": "BloodImage_00197", "id": 1414}, {"area": 24174, "iscrowd": 0, "bbox": [399, 6, 158, 153], "category_id": 1, "ignore": 0, "segmentation": [], "image_id": "BloodImage_00197", "id": 1415}, {"area": 10560, "iscrowd": 0, "bbox": [267, 4, 110, 96], "category_id": 2, "ignore": 0, "segmentation": [], "image_id": "BloodImage_00198", "id": 1416}, {"area": 10560, "iscrowd": 0, "bbox": [477, 98, 110, 96], "category_id": 2, "ignore": 0, "segmentation": [], "image_id": "BloodImage_00198", "id": 1417}, {"area": 10560, "iscrowd": 0, "bbox": [115, 384, 110, 96], "category_id": 2, "ignore": 0, "segmentation": [], "image_id": "BloodImage_00198", "id": 1418}, {"area": 14541, "iscrowd": 0, "bbox": [308, 115, 131, 111], "category_id": 2, "ignore": 0, "segmentation": [], "image_id": "BloodImage_00198", "id": 1419}, {"area": 9612, "iscrowd": 0, "bbox": [381, 60, 108, 89], "category_id": 2, "ignore": 0, "segmentation": [], "image_id": "BloodImage_00198", "id": 1420}, {"area": 10032, "iscrowd": 0, "bbox": [353, 0, 114, 88], "category_id": 2, "ignore": 0, "segmentation": [], "image_id": "BloodImage_00198", "id": 1421}, {"area": 10560, "iscrowd": 0, "bbox": [175, 75, 110, 96], "category_id": 2, "ignore": 0, "segmentation": [], "image_id": "BloodImage_00198", "id": 1422}, {"area": 11752, "iscrowd": 0, "bbox": [163, 126, 104, 113], "category_id": 2, "ignore": 0, "segmentation": [], "image_id": "BloodImage_00198", "id": 1423}, {"area": 13804, "iscrowd": 0, "bbox": [430, 294, 119, 116], "category_id": 2, "ignore": 0, "segmentation": [], "image_id": "BloodImage_00198", "id": 1424}, {"area": 7810, "iscrowd": 0, "bbox": [414, 409, 110, 71], "category_id": 2, "ignore": 0, "segmentation": [], "image_id": "BloodImage_00198", "id": 1425}, {"area": 9984, "iscrowd": 0, "bbox": [299, 402, 128, 78], "category_id": 2, "ignore": 0, "segmentation": [], "image_id": "BloodImage_00198", "id": 1426}, {"area": 7446, "iscrowd": 0, "bbox": [567, 167, 73, 102], "category_id": 2, "ignore": 0, "segmentation": [], "image_id": "BloodImage_00198", "id": 1427}, {"area": 8740, "iscrowd": 0, "bbox": [39, 339, 92, 95], "category_id": 2, "ignore": 0, "segmentation": [], "image_id": "BloodImage_00198", "id": 1428}, {"area": 14040, "iscrowd": 0, "bbox": [61, 150, 104, 135], "category_id": 2, "ignore": 0, "segmentation": [], "image_id": "BloodImage_00198", "id": 1429}, {"area": 1435, "iscrowd": 0, "bbox": [260, 393, 35, 41], "category_id": 3, "ignore": 0, "segmentation": [], "image_id": "BloodImage_00198", "id": 1430}, {"area": 40530, "iscrowd": 0, "bbox": [242, 207, 210, 193], "category_id": 1, "ignore": 0, "segmentation": [], "image_id": "BloodImage_00198", "id": 1431}, {"area": 10192, "iscrowd": 0, "bbox": [468, 39, 112, 91], "category_id": 2, "ignore": 0, "segmentation": [], "image_id": "BloodImage_00199", "id": 1432}, {"area": 11400, "iscrowd": 0, "bbox": [374, 54, 114, 100], "category_id": 2, "ignore": 0, "segmentation": [], "image_id": "BloodImage_00199", "id": 1433}, {"area": 11400, "iscrowd": 0, "bbox": [298, 222, 114, 100], "category_id": 2, "ignore": 0, "segmentation": [], "image_id": "BloodImage_00199", "id": 1434}, {"area": 9180, "iscrowd": 0, "bbox": [476, 238, 102, 90], "category_id": 2, "ignore": 0, "segmentation": [], "image_id": "BloodImage_00199", "id": 1435}, {"area": 10948, "iscrowd": 0, "bbox": [548, 149, 92, 119], "category_id": 2, "ignore": 0, "segmentation": [], "image_id": "BloodImage_00199", "id": 1436}, {"area": 13455, "iscrowd": 0, "bbox": [404, 164, 115, 117], "category_id": 2, "ignore": 0, "segmentation": [], "image_id": "BloodImage_00199", "id": 1437}, {"area": 11400, "iscrowd": 0, "bbox": [42, 349, 114, 100], "category_id": 2, "ignore": 0, "segmentation": [], "image_id": "BloodImage_00199", "id": 1438}, {"area": 10368, "iscrowd": 0, "bbox": [84, 0, 108, 96], "category_id": 2, "ignore": 0, "segmentation": [], "image_id": "BloodImage_00199", "id": 1439}, {"area": 13392, "iscrowd": 0, "bbox": [248, 351, 124, 108], "category_id": 2, "ignore": 0, "segmentation": [], "image_id": "BloodImage_00199", "id": 1440}, {"area": 16125, "iscrowd": 0, "bbox": [419, 339, 125, 129], "category_id": 2, "ignore": 0, "segmentation": [], "image_id": "BloodImage_00199", "id": 1441}, {"area": 51272, "iscrowd": 0, "bbox": [72, 62, 232, 221], "category_id": 1, "ignore": 0, "segmentation": [], "image_id": "BloodImage_00199", "id": 1442}, {"area": 1152, "iscrowd": 0, "bbox": [335, 135, 36, 32], "category_id": 3, "ignore": 0, "segmentation": [], "image_id": "BloodImage_00199", "id": 1443}, {"area": 11931, "iscrowd": 0, "bbox": [114, 0, 123, 97], "category_id": 2, "ignore": 0, "segmentation": [], "image_id": "BloodImage_00200", "id": 1444}, {"area": 9477, "iscrowd": 0, "bbox": [137, 399, 117, 81], "category_id": 2, "ignore": 0, "segmentation": [], "image_id": "BloodImage_00200", "id": 1445}, {"area": 9964, "iscrowd": 0, "bbox": [546, 241, 94, 106], "category_id": 2, "ignore": 0, "segmentation": [], "image_id": "BloodImage_00200", "id": 1446}, {"area": 9996, "iscrowd": 0, "bbox": [0, 106, 119, 84], "category_id": 2, "ignore": 0, "segmentation": [], "image_id": "BloodImage_00200", "id": 1447}, {"area": 12054, "iscrowd": 0, "bbox": [182, 133, 123, 98], "category_id": 2, "ignore": 0, "segmentation": [], "image_id": "BloodImage_00200", "id": 1448}, {"area": 12054, "iscrowd": 0, "bbox": [63, 323, 123, 98], "category_id": 2, "ignore": 0, "segmentation": [], "image_id": "BloodImage_00200", "id": 1449}, {"area": 11960, "iscrowd": 0, "bbox": [247, 306, 115, 104], "category_id": 2, "ignore": 0, "segmentation": [], "image_id": "BloodImage_00200", "id": 1450}, {"area": 14280, "iscrowd": 0, "bbox": [493, 21, 120, 119], "category_id": 2, "ignore": 0, "segmentation": [], "image_id": "BloodImage_00200", "id": 1451}, {"area": 8722, "iscrowd": 0, "bbox": [547, 110, 89, 98], "category_id": 2, "ignore": 0, "segmentation": [], "image_id": "BloodImage_00200", "id": 1452}, {"area": 1406, "iscrowd": 0, "bbox": [262, 88, 37, 38], "category_id": 3, "ignore": 0, "segmentation": [], "image_id": "BloodImage_00200", "id": 1453}, {"area": 38247, "iscrowd": 0, "bbox": [344, 263, 209, 183], "category_id": 1, "ignore": 0, "segmentation": [], "image_id": "BloodImage_00200", "id": 1454}, {"area": 9660, "iscrowd": 0, "bbox": [301, 8, 105, 92], "category_id": 2, "ignore": 0, "segmentation": [], "image_id": "BloodImage_00201", "id": 1455}, {"area": 14875, "iscrowd": 0, "bbox": [12, 212, 119, 125], "category_id": 2, "ignore": 0, "segmentation": [], "image_id": "BloodImage_00201", "id": 1456}, {"area": 10350, "iscrowd": 0, "bbox": [59, 337, 90, 115], "category_id": 2, "ignore": 0, "segmentation": [], "image_id": "BloodImage_00201", "id": 1457}, {"area": 10235, "iscrowd": 0, "bbox": [0, 357, 89, 115], "category_id": 2, "ignore": 0, "segmentation": [], "image_id": "BloodImage_00201", "id": 1458}, {"area": 10379, "iscrowd": 0, "bbox": [168, 156, 107, 97], "category_id": 2, "ignore": 0, "segmentation": [], "image_id": "BloodImage_00201", "id": 1459}, {"area": 10379, "iscrowd": 0, "bbox": [387, 134, 107, 97], "category_id": 2, "ignore": 0, "segmentation": [], "image_id": "BloodImage_00201", "id": 1460}, {"area": 10816, "iscrowd": 0, "bbox": [500, 312, 104, 104], "category_id": 2, "ignore": 0, "segmentation": [], "image_id": "BloodImage_00201", "id": 1461}, {"area": 9310, "iscrowd": 0, "bbox": [249, 203, 98, 95], "category_id": 2, "ignore": 0, "segmentation": [], "image_id": "BloodImage_00201", "id": 1462}, {"area": 10088, "iscrowd": 0, "bbox": [58, 24, 97, 104], "category_id": 2, "ignore": 0, "segmentation": [], "image_id": "BloodImage_00201", "id": 1463}, {"area": 40200, "iscrowd": 0, "bbox": [323, 224, 200, 201], "category_id": 1, "ignore": 0, "segmentation": [], "image_id": "BloodImage_00201", "id": 1464}, {"area": 1156, "iscrowd": 0, "bbox": [606, 131, 34, 34], "category_id": 3, "ignore": 0, "segmentation": [], "image_id": "BloodImage_00201", "id": 1465}, {"area": 1470, "iscrowd": 0, "bbox": [563, 418, 35, 42], "category_id": 3, "ignore": 0, "segmentation": [], "image_id": "BloodImage_00201", "id": 1466}, {"area": 11440, "iscrowd": 0, "bbox": [7, 118, 110, 104], "category_id": 2, "ignore": 0, "segmentation": [], "image_id": "BloodImage_00202", "id": 1467}, {"area": 11330, "iscrowd": 0, "bbox": [275, 0, 110, 103], "category_id": 2, "ignore": 0, "segmentation": [], "image_id": "BloodImage_00202", "id": 1468}, {"area": 12882, "iscrowd": 0, "bbox": [407, 39, 114, 113], "category_id": 2, "ignore": 0, "segmentation": [], "image_id": "BloodImage_00202", "id": 1469}, {"area": 9919, "iscrowd": 0, "bbox": [549, 217, 91, 109], "category_id": 2, "ignore": 0, "segmentation": [], "image_id": "BloodImage_00202", "id": 1470}, {"area": 9900, "iscrowd": 0, "bbox": [440, 233, 100, 99], "category_id": 2, "ignore": 0, "segmentation": [], "image_id": "BloodImage_00202", "id": 1471}, {"area": 11554, "iscrowd": 0, "bbox": [260, 160, 109, 106], "category_id": 2, "ignore": 0, "segmentation": [], "image_id": "BloodImage_00202", "id": 1472}, {"area": 13284, "iscrowd": 0, "bbox": [263, 237, 108, 123], "category_id": 2, "ignore": 0, "segmentation": [], "image_id": "BloodImage_00202", "id": 1473}, {"area": 10948, "iscrowd": 0, "bbox": [202, 317, 119, 92], "category_id": 2, "ignore": 0, "segmentation": [], "image_id": "BloodImage_00202", "id": 1474}, {"area": 12720, "iscrowd": 0, "bbox": [285, 374, 120, 106], "category_id": 2, "ignore": 0, "segmentation": [], "image_id": "BloodImage_00202", "id": 1475}, {"area": 19460, "iscrowd": 0, "bbox": [110, 157, 140, 139], "category_id": 2, "ignore": 0, "segmentation": [], "image_id": "BloodImage_00202", "id": 1476}, {"area": 16303, "iscrowd": 0, "bbox": [456, 123, 137, 119], "category_id": 2, "ignore": 0, "segmentation": [], "image_id": "BloodImage_00202", "id": 1477}, {"area": 11440, "iscrowd": 0, "bbox": [212, 76, 110, 104], "category_id": 2, "ignore": 0, "segmentation": [], "image_id": "BloodImage_00202", "id": 1478}, {"area": 30240, "iscrowd": 0, "bbox": [388, 340, 216, 140], "category_id": 1, "ignore": 0, "segmentation": [], "image_id": "BloodImage_00202", "id": 1479}, {"area": 10791, "iscrowd": 0, "bbox": [419, 57, 109, 99], "category_id": 2, "ignore": 0, "segmentation": [], "image_id": "BloodImage_00203", "id": 1480}, {"area": 10791, "iscrowd": 0, "bbox": [462, 120, 109, 99], "category_id": 2, "ignore": 0, "segmentation": [], "image_id": "BloodImage_00203", "id": 1481}, {"area": 7952, "iscrowd": 0, "bbox": [265, 0, 112, 71], "category_id": 2, "ignore": 0, "segmentation": [], "image_id": "BloodImage_00203", "id": 1482}, {"area": 8064, "iscrowd": 0, "bbox": [291, 42, 112, 72], "category_id": 2, "ignore": 0, "segmentation": [], "image_id": "BloodImage_00203", "id": 1483}, {"area": 10246, "iscrowd": 0, "bbox": [458, 350, 109, 94], "category_id": 2, "ignore": 0, "segmentation": [], "image_id": "BloodImage_00203", "id": 1484}, {"area": 11009, "iscrowd": 0, "bbox": [11, 205, 109, 101], "category_id": 2, "ignore": 0, "segmentation": [], "image_id": "BloodImage_00203", "id": 1485}, {"area": 11009, "iscrowd": 0, "bbox": [129, 74, 109, 101], "category_id": 2, "ignore": 0, "segmentation": [], "image_id": "BloodImage_00203", "id": 1486}, {"area": 11760, "iscrowd": 0, "bbox": [505, 221, 105, 112], "category_id": 2, "ignore": 0, "segmentation": [], "image_id": "BloodImage_00203", "id": 1487}, {"area": 14659, "iscrowd": 0, "bbox": [0, 10, 107, 137], "category_id": 2, "ignore": 0, "segmentation": [], "image_id": "BloodImage_00203", "id": 1488}, {"area": 41664, "iscrowd": 0, "bbox": [169, 261, 217, 192], "category_id": 1, "ignore": 0, "segmentation": [], "image_id": "BloodImage_00203", "id": 1489}, {"area": 1600, "iscrowd": 0, "bbox": [290, 131, 40, 40], "category_id": 3, "ignore": 0, "segmentation": [], "image_id": "BloodImage_00203", "id": 1490}, {"area": 1600, "iscrowd": 0, "bbox": [389, 180, 40, 40], "category_id": 3, "ignore": 0, "segmentation": [], "image_id": "BloodImage_00203", "id": 1491}, {"area": 10700, "iscrowd": 0, "bbox": [3, 375, 107, 100], "category_id": 2, "ignore": 0, "segmentation": [], "image_id": "BloodImage_00204", "id": 1492}, {"area": 10700, "iscrowd": 0, "bbox": [293, 49, 107, 100], "category_id": 2, "ignore": 0, "segmentation": [], "image_id": "BloodImage_00204", "id": 1493}, {"area": 6794, "iscrowd": 0, "bbox": [145, 207, 86, 79], "category_id": 2, "ignore": 0, "segmentation": [], "image_id": "BloodImage_00204", "id": 1494}, {"area": 10000, "iscrowd": 0, "bbox": [484, 307, 100, 100], "category_id": 2, "ignore": 0, "segmentation": [], "image_id": "BloodImage_00204", "id": 1495}, {"area": 7548, "iscrowd": 0, "bbox": [566, 192, 74, 102], "category_id": 2, "ignore": 0, "segmentation": [], "image_id": "BloodImage_00204", "id": 1496}, {"area": 10000, "iscrowd": 0, "bbox": [428, 64, 100, 100], "category_id": 2, "ignore": 0, "segmentation": [], "image_id": "BloodImage_00204", "id": 1497}, {"area": 9200, "iscrowd": 0, "bbox": [523, 14, 100, 92], "category_id": 2, "ignore": 0, "segmentation": [], "image_id": "BloodImage_00204", "id": 1498}, {"area": 10080, "iscrowd": 0, "bbox": [336, 0, 105, 96], "category_id": 2, "ignore": 0, "segmentation": [], "image_id": "BloodImage_00204", "id": 1499}, {"area": 11845, "iscrowd": 0, "bbox": [36, 141, 103, 115], "category_id": 2, "ignore": 0, "segmentation": [], "image_id": "BloodImage_00204", "id": 1500}, {"area": 18348, "iscrowd": 0, "bbox": [60, 37, 132, 139], "category_id": 2, "ignore": 0, "segmentation": [], "image_id": "BloodImage_00204", "id": 1501}, {"area": 6642, "iscrowd": 0, "bbox": [135, 394, 81, 82], "category_id": 2, "ignore": 0, "segmentation": [], "image_id": "BloodImage_00204", "id": 1502}, {"area": 9918, "iscrowd": 0, "bbox": [434, 179, 114, 87], "category_id": 2, "ignore": 0, "segmentation": [], "image_id": "BloodImage_00204", "id": 1503}, {"area": 4836, "iscrowd": 0, "bbox": [434, 425, 93, 52], "category_id": 2, "ignore": 0, "segmentation": [], "image_id": "BloodImage_00204", "id": 1504}, {"area": 3999, "iscrowd": 0, "bbox": [597, 59, 43, 93], "category_id": 2, "ignore": 0, "segmentation": [], "image_id": "BloodImage_00204", "id": 1505}, {"area": 32912, "iscrowd": 0, "bbox": [252, 254, 187, 176], "category_id": 1, "ignore": 0, "segmentation": [], "image_id": "BloodImage_00204", "id": 1506}, {"area": 1170, "iscrowd": 0, "bbox": [265, 53, 39, 30], "category_id": 3, "ignore": 0, "segmentation": [], "image_id": "BloodImage_00204", "id": 1507}, {"area": 957, "iscrowd": 0, "bbox": [0, 249, 29, 33], "category_id": 3, "ignore": 0, "segmentation": [], "image_id": "BloodImage_00204", "id": 1508}, {"area": 13899, "iscrowd": 0, "bbox": [166, 297, 123, 113], "category_id": 2, "ignore": 0, "segmentation": [], "image_id": "BloodImage_00206", "id": 1509}, {"area": 10816, "iscrowd": 0, "bbox": [0, 294, 104, 104], "category_id": 2, "ignore": 0, "segmentation": [], "image_id": "BloodImage_00206", "id": 1510}, {"area": 10920, "iscrowd": 0, "bbox": [442, 48, 105, 104], "category_id": 2, "ignore": 0, "segmentation": [], "image_id": "BloodImage_00206", "id": 1511}, {"area": 10920, "iscrowd": 0, "bbox": [394, 70, 105, 104], "category_id": 2, "ignore": 0, "segmentation": [], "image_id": "BloodImage_00206", "id": 1512}, {"area": 14950, "iscrowd": 0, "bbox": [336, 109, 115, 130], "category_id": 2, "ignore": 0, "segmentation": [], "image_id": "BloodImage_00206", "id": 1513}, {"area": 14478, "iscrowd": 0, "bbox": [186, 140, 127, 114], "category_id": 2, "ignore": 0, "segmentation": [], "image_id": "BloodImage_00206", "id": 1514}, {"area": 10070, "iscrowd": 0, "bbox": [92, 0, 106, 95], "category_id": 2, "ignore": 0, "segmentation": [], "image_id": "BloodImage_00206", "id": 1515}, {"area": 11742, "iscrowd": 0, "bbox": [185, 51, 114, 103], "category_id": 2, "ignore": 0, "segmentation": [], "image_id": "BloodImage_00206", "id": 1516}, {"area": 9265, "iscrowd": 0, "bbox": [312, 0, 109, 85], "category_id": 2, "ignore": 0, "segmentation": [], "image_id": "BloodImage_00206", "id": 1517}, {"area": 8835, "iscrowd": 0, "bbox": [284, 262, 95, 93], "category_id": 2, "ignore": 0, "segmentation": [], "image_id": "BloodImage_00206", "id": 1518}, {"area": 9292, "iscrowd": 0, "bbox": [290, 325, 101, 92], "category_id": 2, "ignore": 0, "segmentation": [], "image_id": "BloodImage_00206", "id": 1519}, {"area": 9292, "iscrowd": 0, "bbox": [290, 375, 101, 92], "category_id": 2, "ignore": 0, "segmentation": [], "image_id": "BloodImage_00206", "id": 1520}, {"area": 9292, "iscrowd": 0, "bbox": [408, 387, 101, 92], "category_id": 2, "ignore": 0, "segmentation": [], "image_id": "BloodImage_00206", "id": 1521}, {"area": 12084, "iscrowd": 0, "bbox": [73, 295, 106, 114], "category_id": 2, "ignore": 0, "segmentation": [], "image_id": "BloodImage_00206", "id": 1522}, {"area": 29574, "iscrowd": 0, "bbox": [481, 267, 159, 186], "category_id": 1, "ignore": 0, "segmentation": [], "image_id": "BloodImage_00206", "id": 1523}, {"area": 1482, "iscrowd": 0, "bbox": [452, 291, 39, 38], "category_id": 3, "ignore": 0, "segmentation": [], "image_id": "BloodImage_00206", "id": 1524}, {"area": 1496, "iscrowd": 0, "bbox": [246, 6, 34, 44], "category_id": 3, "ignore": 0, "segmentation": [], "image_id": "BloodImage_00206", "id": 1525}, {"area": 12772, "iscrowd": 0, "bbox": [299, 66, 124, 103], "category_id": 2, "ignore": 0, "segmentation": [], "image_id": "BloodImage_00210", "id": 1526}, {"area": 12772, "iscrowd": 0, "bbox": [465, 84, 124, 103], "category_id": 2, "ignore": 0, "segmentation": [], "image_id": "BloodImage_00210", "id": 1527}, {"area": 12772, "iscrowd": 0, "bbox": [457, 144, 124, 103], "category_id": 2, "ignore": 0, "segmentation": [], "image_id": "BloodImage_00210", "id": 1528}, {"area": 10578, "iscrowd": 0, "bbox": [413, 259, 123, 86], "category_id": 2, "ignore": 0, "segmentation": [], "image_id": "BloodImage_00210", "id": 1529}, {"area": 10282, "iscrowd": 0, "bbox": [187, 192, 97, 106], "category_id": 2, "ignore": 0, "segmentation": [], "image_id": "BloodImage_00210", "id": 1530}, {"area": 10282, "iscrowd": 0, "bbox": [87, 235, 97, 106], "category_id": 2, "ignore": 0, "segmentation": [], "image_id": "BloodImage_00210", "id": 1531}, {"area": 10282, "iscrowd": 0, "bbox": [27, 47, 97, 106], "category_id": 2, "ignore": 0, "segmentation": [], "image_id": "BloodImage_00210", "id": 1532}, {"area": 8736, "iscrowd": 0, "bbox": [227, 396, 104, 84], "category_id": 2, "ignore": 0, "segmentation": [], "image_id": "BloodImage_00210", "id": 1533}, {"area": 9476, "iscrowd": 0, "bbox": [200, 101, 103, 92], "category_id": 2, "ignore": 0, "segmentation": [], "image_id": "BloodImage_00210", "id": 1534}, {"area": 11016, "iscrowd": 0, "bbox": [282, 278, 108, 102], "category_id": 2, "ignore": 0, "segmentation": [], "image_id": "BloodImage_00210", "id": 1535}, {"area": 9430, "iscrowd": 0, "bbox": [558, 329, 82, 115], "category_id": 2, "ignore": 0, "segmentation": [], "image_id": "BloodImage_00210", "id": 1536}, {"area": 11655, "iscrowd": 0, "bbox": [1, 358, 111, 105], "category_id": 2, "ignore": 0, "segmentation": [], "image_id": "BloodImage_00210", "id": 1537}, {"area": 31320, "iscrowd": 0, "bbox": [342, 334, 216, 145], "category_id": 1, "ignore": 0, "segmentation": [], "image_id": "BloodImage_00210", "id": 1538}, {"area": 10506, "iscrowd": 0, "bbox": [85, 282, 102, 103], "category_id": 2, "ignore": 0, "segmentation": [], "image_id": "BloodImage_00211", "id": 1539}, {"area": 10506, "iscrowd": 0, "bbox": [42, 179, 102, 103], "category_id": 2, "ignore": 0, "segmentation": [], "image_id": "BloodImage_00211", "id": 1540}, {"area": 10506, "iscrowd": 0, "bbox": [212, 15, 102, 103], "category_id": 2, "ignore": 0, "segmentation": [], "image_id": "BloodImage_00211", "id": 1541}, {"area": 10506, "iscrowd": 0, "bbox": [83, 41, 102, 103], "category_id": 2, "ignore": 0, "segmentation": [], "image_id": "BloodImage_00211", "id": 1542}, {"area": 11600, "iscrowd": 0, "bbox": [540, 137, 100, 116], "category_id": 2, "ignore": 0, "segmentation": [], "image_id": "BloodImage_00211", "id": 1543}, {"area": 11600, "iscrowd": 0, "bbox": [540, 336, 100, 116], "category_id": 2, "ignore": 0, "segmentation": [], "image_id": "BloodImage_00211", "id": 1544}, {"area": 11600, "iscrowd": 0, "bbox": [451, 17, 100, 116], "category_id": 2, "ignore": 0, "segmentation": [], "image_id": "BloodImage_00211", "id": 1545}, {"area": 15250, "iscrowd": 0, "bbox": [514, 15, 122, 125], "category_id": 2, "ignore": 0, "segmentation": [], "image_id": "BloodImage_00211", "id": 1546}, {"area": 9504, "iscrowd": 0, "bbox": [183, 174, 99, 96], "category_id": 2, "ignore": 0, "segmentation": [], "image_id": "BloodImage_00211", "id": 1547}, {"area": 9504, "iscrowd": 0, "bbox": [209, 265, 99, 96], "category_id": 2, "ignore": 0, "segmentation": [], "image_id": "BloodImage_00211", "id": 1548}, {"area": 11024, "iscrowd": 0, "bbox": [428, 332, 106, 104], "category_id": 2, "ignore": 0, "segmentation": [], "image_id": "BloodImage_00211", "id": 1549}, {"area": 8800, "iscrowd": 0, "bbox": [264, 113, 80, 110], "category_id": 2, "ignore": 0, "segmentation": [], "image_id": "BloodImage_00211", "id": 1550}, {"area": 13375, "iscrowd": 0, "bbox": [278, 201, 125, 107], "category_id": 1, "ignore": 0, "segmentation": [], "image_id": "BloodImage_00211", "id": 1551}, {"area": 11300, "iscrowd": 0, "bbox": [225, 140, 113, 100], "category_id": 2, "ignore": 0, "segmentation": [], "image_id": "BloodImage_00212", "id": 1552}, {"area": 16029, "iscrowd": 0, "bbox": [182, 39, 137, 117], "category_id": 2, "ignore": 0, "segmentation": [], "image_id": "BloodImage_00212", "id": 1553}, {"area": 11865, "iscrowd": 0, "bbox": [326, 142, 113, 105], "category_id": 2, "ignore": 0, "segmentation": [], "image_id": "BloodImage_00212", "id": 1554}, {"area": 11021, "iscrowd": 0, "bbox": [504, 290, 107, 103], "category_id": 2, "ignore": 0, "segmentation": [], "image_id": "BloodImage_00212", "id": 1555}, {"area": 9870, "iscrowd": 0, "bbox": [533, 386, 105, 94], "category_id": 2, "ignore": 0, "segmentation": [], "image_id": "BloodImage_00212", "id": 1556}, {"area": 8216, "iscrowd": 0, "bbox": [164, 401, 104, 79], "category_id": 2, "ignore": 0, "segmentation": [], "image_id": "BloodImage_00212", "id": 1557}, {"area": 11466, "iscrowd": 0, "bbox": [272, 292, 117, 98], "category_id": 2, "ignore": 0, "segmentation": [], "image_id": "BloodImage_00212", "id": 1558}, {"area": 8835, "iscrowd": 0, "bbox": [0, 0, 95, 93], "category_id": 2, "ignore": 0, "segmentation": [], "image_id": "BloodImage_00212", "id": 1559}, {"area": 13500, "iscrowd": 0, "bbox": [409, 235, 108, 125], "category_id": 2, "ignore": 0, "segmentation": [], "image_id": "BloodImage_00212", "id": 1560}, {"area": 12210, "iscrowd": 0, "bbox": [348, 0, 110, 111], "category_id": 2, "ignore": 0, "segmentation": [], "image_id": "BloodImage_00212", "id": 1561}, {"area": 9322, "iscrowd": 0, "bbox": [561, 70, 79, 118], "category_id": 2, "ignore": 0, "segmentation": [], "image_id": "BloodImage_00212", "id": 1562}, {"area": 11900, "iscrowd": 0, "bbox": [524, 173, 100, 119], "category_id": 2, "ignore": 0, "segmentation": [], "image_id": "BloodImage_00212", "id": 1563}, {"area": 13923, "iscrowd": 0, "bbox": [107, 168, 119, 117], "category_id": 2, "ignore": 0, "segmentation": [], "image_id": "BloodImage_00212", "id": 1564}, {"area": 2254, "iscrowd": 0, "bbox": [232, 0, 49, 46], "category_id": 3, "ignore": 0, "segmentation": [], "image_id": "BloodImage_00212", "id": 1565}, {"area": 26838, "iscrowd": 0, "bbox": [328, 354, 213, 126], "category_id": 1, "ignore": 0, "segmentation": [], "image_id": "BloodImage_00212", "id": 1566}, {"area": 14336, "iscrowd": 0, "bbox": [205, 124, 128, 112], "category_id": 2, "ignore": 0, "segmentation": [], "image_id": "BloodImage_00214", "id": 1567}, {"area": 9900, "iscrowd": 0, "bbox": [86, 200, 100, 99], "category_id": 2, "ignore": 0, "segmentation": [], "image_id": "BloodImage_00214", "id": 1568}, {"area": 9312, "iscrowd": 0, "bbox": [1, 0, 97, 96], "category_id": 2, "ignore": 0, "segmentation": [], "image_id": "BloodImage_00214", "id": 1569}, {"area": 12250, "iscrowd": 0, "bbox": [30, 97, 125, 98], "category_id": 2, "ignore": 0, "segmentation": [], "image_id": "BloodImage_00214", "id": 1570}, {"area": 8439, "iscrowd": 0, "bbox": [283, 257, 97, 87], "category_id": 2, "ignore": 0, "segmentation": [], "image_id": "BloodImage_00214", "id": 1571}, {"area": 11865, "iscrowd": 0, "bbox": [251, 305, 105, 113], "category_id": 2, "ignore": 0, "segmentation": [], "image_id": "BloodImage_00214", "id": 1572}, {"area": 11865, "iscrowd": 0, "bbox": [236, 360, 105, 113], "category_id": 2, "ignore": 0, "segmentation": [], "image_id": "BloodImage_00214", "id": 1573}, {"area": 10234, "iscrowd": 0, "bbox": [389, 225, 119, 86], "category_id": 2, "ignore": 0, "segmentation": [], "image_id": "BloodImage_00214", "id": 1574}, {"area": 8322, "iscrowd": 0, "bbox": [486, 407, 114, 73], "category_id": 2, "ignore": 0, "segmentation": [], "image_id": "BloodImage_00214", "id": 1575}, {"area": 17040, "iscrowd": 0, "bbox": [428, 300, 142, 120], "category_id": 2, "ignore": 0, "segmentation": [], "image_id": "BloodImage_00214", "id": 1576}, {"area": 11554, "iscrowd": 0, "bbox": [339, 371, 106, 109], "category_id": 2, "ignore": 0, "segmentation": [], "image_id": "BloodImage_00214", "id": 1577}, {"area": 11858, "iscrowd": 0, "bbox": [512, 0, 121, 98], "category_id": 2, "ignore": 0, "segmentation": [], "image_id": "BloodImage_00214", "id": 1578}, {"area": 11024, "iscrowd": 0, "bbox": [145, 340, 104, 106], "category_id": 2, "ignore": 0, "segmentation": [], "image_id": "BloodImage_00214", "id": 1579}, {"area": 11024, "iscrowd": 0, "bbox": [306, 10, 104, 106], "category_id": 2, "ignore": 0, "segmentation": [], "image_id": "BloodImage_00214", "id": 1580}, {"area": 11024, "iscrowd": 0, "bbox": [31, 271, 104, 106], "category_id": 2, "ignore": 0, "segmentation": [], "image_id": "BloodImage_00214", "id": 1581}, {"area": 2016, "iscrowd": 0, "bbox": [252, 46, 42, 48], "category_id": 3, "ignore": 0, "segmentation": [], "image_id": "BloodImage_00214", "id": 1582}, {"area": 1666, "iscrowd": 0, "bbox": [0, 74, 34, 49], "category_id": 3, "ignore": 0, "segmentation": [], "image_id": "BloodImage_00214", "id": 1583}, {"area": 33800, "iscrowd": 0, "bbox": [364, 63, 200, 169], "category_id": 1, "ignore": 0, "segmentation": [], "image_id": "BloodImage_00214", "id": 1584}, {"area": 11526, "iscrowd": 0, "bbox": [406, 56, 113, 102], "category_id": 2, "ignore": 0, "segmentation": [], "image_id": "BloodImage_00215", "id": 1585}, {"area": 8568, "iscrowd": 0, "bbox": [302, 61, 84, 102], "category_id": 2, "ignore": 0, "segmentation": [], "image_id": "BloodImage_00215", "id": 1586}, {"area": 7680, "iscrowd": 0, "bbox": [261, 400, 96, 80], "category_id": 2, "ignore": 0, "segmentation": [], "image_id": "BloodImage_00215", "id": 1587}, {"area": 9737, "iscrowd": 0, "bbox": [238, 186, 91, 107], "category_id": 2, "ignore": 0, "segmentation": [], "image_id": "BloodImage_00215", "id": 1588}, {"area": 6992, "iscrowd": 0, "bbox": [229, 55, 76, 92], "category_id": 2, "ignore": 0, "segmentation": [], "image_id": "BloodImage_00215", "id": 1589}, {"area": 11413, "iscrowd": 0, "bbox": [485, 254, 101, 113], "category_id": 2, "ignore": 0, "segmentation": [], "image_id": "BloodImage_00215", "id": 1590}, {"area": 8178, "iscrowd": 0, "bbox": [447, 354, 94, 87], "category_id": 2, "ignore": 0, "segmentation": [], "image_id": "BloodImage_00215", "id": 1591}, {"area": 7800, "iscrowd": 0, "bbox": [536, 402, 100, 78], "category_id": 2, "ignore": 0, "segmentation": [], "image_id": "BloodImage_00215", "id": 1592}, {"area": 5200, "iscrowd": 0, "bbox": [395, 428, 100, 52], "category_id": 2, "ignore": 0, "segmentation": [], "image_id": "BloodImage_00215", "id": 1593}, {"area": 8178, "iscrowd": 0, "bbox": [314, 292, 94, 87], "category_id": 2, "ignore": 0, "segmentation": [], "image_id": "BloodImage_00215", "id": 1594}, {"area": 10088, "iscrowd": 0, "bbox": [367, 257, 97, 104], "category_id": 2, "ignore": 0, "segmentation": [], "image_id": "BloodImage_00215", "id": 1595}, {"area": 9604, "iscrowd": 0, "bbox": [3, 382, 98, 98], "category_id": 2, "ignore": 0, "segmentation": [], "image_id": "BloodImage_00215", "id": 1596}, {"area": 7722, "iscrowd": 0, "bbox": [0, 261, 66, 117], "category_id": 2, "ignore": 0, "segmentation": [], "image_id": "BloodImage_00215", "id": 1597}, {"area": 45225, "iscrowd": 0, "bbox": [62, 266, 225, 201], "category_id": 1, "ignore": 0, "segmentation": [], "image_id": "BloodImage_00215", "id": 1598}, {"area": 1680, "iscrowd": 0, "bbox": [451, 146, 42, 40], "category_id": 3, "ignore": 0, "segmentation": [], "image_id": "BloodImage_00215", "id": 1599}, {"area": 2050, "iscrowd": 0, "bbox": [578, 253, 50, 41], "category_id": 3, "ignore": 0, "segmentation": [], "image_id": "BloodImage_00215", "id": 1600}, {"area": 23944, "iscrowd": 0, "bbox": [242, 127, 146, 164], "category_id": 1, "ignore": 0, "segmentation": [], "image_id": "BloodImage_00224", "id": 1601}, {"area": 1540, "iscrowd": 0, "bbox": [299, 86, 35, 44], "category_id": 3, "ignore": 0, "segmentation": [], "image_id": "BloodImage_00224", "id": 1602}, {"area": 14964, "iscrowd": 0, "bbox": [407, 134, 129, 116], "category_id": 2, "ignore": 0, "segmentation": [], "image_id": "BloodImage_00231", "id": 1603}, {"area": 10824, "iscrowd": 0, "bbox": [238, 37, 123, 88], "category_id": 2, "ignore": 0, "segmentation": [], "image_id": "BloodImage_00231", "id": 1604}, {"area": 13452, "iscrowd": 0, "bbox": [370, 22, 118, 114], "category_id": 2, "ignore": 0, "segmentation": [], "image_id": "BloodImage_00231", "id": 1605}, {"area": 13452, "iscrowd": 0, "bbox": [483, 20, 118, 114], "category_id": 2, "ignore": 0, "segmentation": [], "image_id": "BloodImage_00231", "id": 1606}, {"area": 10738, "iscrowd": 0, "bbox": [106, 237, 91, 118], "category_id": 2, "ignore": 0, "segmentation": [], "image_id": "BloodImage_00231", "id": 1607}, {"area": 9108, "iscrowd": 0, "bbox": [0, 136, 92, 99], "category_id": 2, "ignore": 0, "segmentation": [], "image_id": "BloodImage_00231", "id": 1608}, {"area": 5605, "iscrowd": 0, "bbox": [581, 231, 59, 95], "category_id": 2, "ignore": 0, "segmentation": [], "image_id": "BloodImage_00231", "id": 1609}, {"area": 9116, "iscrowd": 0, "bbox": [71, 0, 106, 86], "category_id": 2, "ignore": 0, "segmentation": [], "image_id": "BloodImage_00231", "id": 1610}, {"area": 51465, "iscrowd": 0, "bbox": [171, 208, 235, 219], "category_id": 1, "ignore": 0, "segmentation": [], "image_id": "BloodImage_00231", "id": 1611}, {"area": 12190, "iscrowd": 0, "bbox": [508, 176, 106, 115], "category_id": 2, "ignore": 0, "segmentation": [], "image_id": "BloodImage_00232", "id": 1612}, {"area": 11832, "iscrowd": 0, "bbox": [447, 0, 116, 102], "category_id": 2, "ignore": 0, "segmentation": [], "image_id": "BloodImage_00232", "id": 1613}, {"area": 12654, "iscrowd": 0, "bbox": [339, 260, 114, 111], "category_id": 2, "ignore": 0, "segmentation": [], "image_id": "BloodImage_00232", "id": 1614}, {"area": 11448, "iscrowd": 0, "bbox": [238, 363, 106, 108], "category_id": 2, "ignore": 0, "segmentation": [], "image_id": "BloodImage_00232", "id": 1615}, {"area": 11448, "iscrowd": 0, "bbox": [122, 361, 106, 108], "category_id": 2, "ignore": 0, "segmentation": [], "image_id": "BloodImage_00232", "id": 1616}, {"area": 11448, "iscrowd": 0, "bbox": [136, 43, 106, 108], "category_id": 2, "ignore": 0, "segmentation": [], "image_id": "BloodImage_00232", "id": 1617}, {"area": 12765, "iscrowd": 0, "bbox": [211, 148, 115, 111], "category_id": 2, "ignore": 0, "segmentation": [], "image_id": "BloodImage_00232", "id": 1618}, {"area": 10500, "iscrowd": 0, "bbox": [457, 274, 105, 100], "category_id": 2, "ignore": 0, "segmentation": [], "image_id": "BloodImage_00232", "id": 1619}, {"area": 10500, "iscrowd": 0, "bbox": [414, 331, 105, 100], "category_id": 2, "ignore": 0, "segmentation": [], "image_id": "BloodImage_00232", "id": 1620}, {"area": 43120, "iscrowd": 0, "bbox": [0, 59, 176, 245], "category_id": 1, "ignore": 0, "segmentation": [], "image_id": "BloodImage_00232", "id": 1621}, {"area": 10502, "iscrowd": 0, "bbox": [0, 165, 89, 118], "category_id": 2, "ignore": 0, "segmentation": [], "image_id": "BloodImage_00235", "id": 1622}, {"area": 12600, "iscrowd": 0, "bbox": [146, 206, 105, 120], "category_id": 2, "ignore": 0, "segmentation": [], "image_id": "BloodImage_00235", "id": 1623}, {"area": 15750, "iscrowd": 0, "bbox": [479, 342, 125, 126], "category_id": 2, "ignore": 0, "segmentation": [], "image_id": "BloodImage_00235", "id": 1624}, {"area": 55930, "iscrowd": 0, "bbox": [231, 101, 238, 235], "category_id": 1, "ignore": 0, "segmentation": [], "image_id": "BloodImage_00235", "id": 1625}, {"area": 7280, "iscrowd": 0, "bbox": [0, 275, 70, 104], "category_id": 2, "ignore": 0, "segmentation": [], "image_id": "BloodImage_00237", "id": 1626}, {"area": 13416, "iscrowd": 0, "bbox": [181, 354, 129, 104], "category_id": 2, "ignore": 0, "segmentation": [], "image_id": "BloodImage_00237", "id": 1627}, {"area": 10494, "iscrowd": 0, "bbox": [100, 221, 99, 106], "category_id": 2, "ignore": 0, "segmentation": [], "image_id": "BloodImage_00237", "id": 1628}, {"area": 12402, "iscrowd": 0, "bbox": [514, 176, 106, 117], "category_id": 2, "ignore": 0, "segmentation": [], "image_id": "BloodImage_00237", "id": 1629}, {"area": 7584, "iscrowd": 0, "bbox": [357, 401, 96, 79], "category_id": 2, "ignore": 0, "segmentation": [], "image_id": "BloodImage_00237", "id": 1630}, {"area": 8938, "iscrowd": 0, "bbox": [70, 398, 109, 82], "category_id": 2, "ignore": 0, "segmentation": [], "image_id": "BloodImage_00237", "id": 1631}, {"area": 9476, "iscrowd": 0, "bbox": [0, 0, 92, 103], "category_id": 2, "ignore": 0, "segmentation": [], "image_id": "BloodImage_00237", "id": 1632}, {"area": 10920, "iscrowd": 0, "bbox": [404, 190, 105, 104], "category_id": 2, "ignore": 0, "segmentation": [], "image_id": "BloodImage_00237", "id": 1633}, {"area": 14061, "iscrowd": 0, "bbox": [188, 241, 129, 109], "category_id": 2, "ignore": 0, "segmentation": [], "image_id": "BloodImage_00237", "id": 1634}, {"area": 12272, "iscrowd": 0, "bbox": [300, 313, 118, 104], "category_id": 2, "ignore": 0, "segmentation": [], "image_id": "BloodImage_00237", "id": 1635}, {"area": 5920, "iscrowd": 0, "bbox": [97, 162, 80, 74], "category_id": 2, "ignore": 0, "segmentation": [], "image_id": "BloodImage_00237", "id": 1636}, {"area": 51504, "iscrowd": 0, "bbox": [205, 50, 232, 222], "category_id": 1, "ignore": 0, "segmentation": [], "image_id": "BloodImage_00237", "id": 1637}, {"area": 12870, "iscrowd": 0, "bbox": [359, 169, 110, 117], "category_id": 2, "ignore": 0, "segmentation": [], "image_id": "BloodImage_00239", "id": 1638}, {"area": 11550, "iscrowd": 0, "bbox": [374, 0, 105, 110], "category_id": 2, "ignore": 0, "segmentation": [], "image_id": "BloodImage_00239", "id": 1639}, {"area": 17236, "iscrowd": 0, "bbox": [238, 155, 124, 139], "category_id": 2, "ignore": 0, "segmentation": [], "image_id": "BloodImage_00239", "id": 1640}, {"area": 10088, "iscrowd": 0, "bbox": [477, 187, 104, 97], "category_id": 2, "ignore": 0, "segmentation": [], "image_id": "BloodImage_00239", "id": 1641}, {"area": 9114, "iscrowd": 0, "bbox": [448, 85, 93, 98], "category_id": 2, "ignore": 0, "segmentation": [], "image_id": "BloodImage_00239", "id": 1642}, {"area": 9494, "iscrowd": 0, "bbox": [145, 23, 101, 94], "category_id": 2, "ignore": 0, "segmentation": [], "image_id": "BloodImage_00239", "id": 1643}, {"area": 10296, "iscrowd": 0, "bbox": [50, 266, 117, 88], "category_id": 2, "ignore": 0, "segmentation": [], "image_id": "BloodImage_00239", "id": 1644}, {"area": 7110, "iscrowd": 0, "bbox": [168, 233, 90, 79], "category_id": 2, "ignore": 0, "segmentation": [], "image_id": "BloodImage_00239", "id": 1645}, {"area": 10374, "iscrowd": 0, "bbox": [173, 282, 91, 114], "category_id": 2, "ignore": 0, "segmentation": [], "image_id": "BloodImage_00239", "id": 1646}, {"area": 9452, "iscrowd": 0, "bbox": [572, 197, 68, 139], "category_id": 2, "ignore": 0, "segmentation": [], "image_id": "BloodImage_00239", "id": 1647}, {"area": 14616, "iscrowd": 0, "bbox": [92, 112, 116, 126], "category_id": 2, "ignore": 0, "segmentation": [], "image_id": "BloodImage_00239", "id": 1648}, {"area": 44496, "iscrowd": 0, "bbox": [241, 265, 216, 206], "category_id": 1, "ignore": 0, "segmentation": [], "image_id": "BloodImage_00239", "id": 1649}, {"area": 11445, "iscrowd": 0, "bbox": [372, 276, 105, 109], "category_id": 2, "ignore": 0, "segmentation": [], "image_id": "BloodImage_00240", "id": 1650}, {"area": 15624, "iscrowd": 0, "bbox": [187, 266, 126, 124], "category_id": 2, "ignore": 0, "segmentation": [], "image_id": "BloodImage_00240", "id": 1651}, {"area": 15624, "iscrowd": 0, "bbox": [278, 148, 126, 124], "category_id": 2, "ignore": 0, "segmentation": [], "image_id": "BloodImage_00240", "id": 1652}, {"area": 9230, "iscrowd": 0, "bbox": [140, 0, 130, 71], "category_id": 2, "ignore": 0, "segmentation": [], "image_id": "BloodImage_00240", "id": 1653}, {"area": 8827, "iscrowd": 0, "bbox": [73, 235, 97, 91], "category_id": 2, "ignore": 0, "segmentation": [], "image_id": "BloodImage_00240", "id": 1654}, {"area": 8827, "iscrowd": 0, "bbox": [38, 110, 97, 91], "category_id": 2, "ignore": 0, "segmentation": [], "image_id": "BloodImage_00240", "id": 1655}, {"area": 8827, "iscrowd": 0, "bbox": [143, 310, 97, 91], "category_id": 2, "ignore": 0, "segmentation": [], "image_id": "BloodImage_00240", "id": 1656}, {"area": 8827, "iscrowd": 0, "bbox": [442, 363, 97, 91], "category_id": 2, "ignore": 0, "segmentation": [], "image_id": "BloodImage_00240", "id": 1657}, {"area": 1254, "iscrowd": 0, "bbox": [342, 269, 38, 33], "category_id": 3, "ignore": 0, "segmentation": [], "image_id": "BloodImage_00240", "id": 1658}, {"area": 46656, "iscrowd": 0, "bbox": [370, 0, 243, 192], "category_id": 1, "ignore": 0, "segmentation": [], "image_id": "BloodImage_00240", "id": 1659}, {"area": 8550, "iscrowd": 0, "bbox": [330, 109, 95, 90], "category_id": 2, "ignore": 0, "segmentation": [], "image_id": "BloodImage_00242", "id": 1660}, {"area": 13224, "iscrowd": 0, "bbox": [211, 317, 114, 116], "category_id": 2, "ignore": 0, "segmentation": [], "image_id": "BloodImage_00242", "id": 1661}, {"area": 15500, "iscrowd": 0, "bbox": [137, 53, 125, 124], "category_id": 2, "ignore": 0, "segmentation": [], "image_id": "BloodImage_00242", "id": 1662}, {"area": 5760, "iscrowd": 0, "bbox": [100, 15, 80, 72], "category_id": 2, "ignore": 0, "segmentation": [], "image_id": "BloodImage_00242", "id": 1663}, {"area": 11445, "iscrowd": 0, "bbox": [275, 13, 105, 109], "category_id": 2, "ignore": 0, "segmentation": [], "image_id": "BloodImage_00242", "id": 1664}, {"area": 8554, "iscrowd": 0, "bbox": [443, 95, 91, 94], "category_id": 2, "ignore": 0, "segmentation": [], "image_id": "BloodImage_00242", "id": 1665}, {"area": 11770, "iscrowd": 0, "bbox": [530, 308, 110, 107], "category_id": 2, "ignore": 0, "segmentation": [], "image_id": "BloodImage_00242", "id": 1666}, {"area": 8200, "iscrowd": 0, "bbox": [558, 211, 82, 100], "category_id": 2, "ignore": 0, "segmentation": [], "image_id": "BloodImage_00242", "id": 1667}, {"area": 9024, "iscrowd": 0, "bbox": [462, 227, 94, 96], "category_id": 2, "ignore": 0, "segmentation": [], "image_id": "BloodImage_00242", "id": 1668}, {"area": 9696, "iscrowd": 0, "bbox": [538, 106, 101, 96], "category_id": 2, "ignore": 0, "segmentation": [], "image_id": "BloodImage_00242", "id": 1669}, {"area": 5959, "iscrowd": 0, "bbox": [464, 421, 101, 59], "category_id": 2, "ignore": 0, "segmentation": [], "image_id": "BloodImage_00242", "id": 1670}, {"area": 10197, "iscrowd": 0, "bbox": [444, 316, 103, 99], "category_id": 2, "ignore": 0, "segmentation": [], "image_id": "BloodImage_00242", "id": 1671}, {"area": 11484, "iscrowd": 0, "bbox": [0, 157, 99, 116], "category_id": 2, "ignore": 0, "segmentation": [], "image_id": "BloodImage_00242", "id": 1672}, {"area": 10815, "iscrowd": 0, "bbox": [289, 153, 103, 105], "category_id": 2, "ignore": 0, "segmentation": [], "image_id": "BloodImage_00242", "id": 1673}, {"area": 48590, "iscrowd": 0, "bbox": [16, 183, 226, 215], "category_id": 1, "ignore": 0, "segmentation": [], "image_id": "BloodImage_00242", "id": 1674}, {"area": 1596, "iscrowd": 0, "bbox": [244, 120, 42, 38], "category_id": 3, "ignore": 0, "segmentation": [], "image_id": "BloodImage_00242", "id": 1675}, {"area": 14336, "iscrowd": 0, "bbox": [117, 23, 112, 128], "category_id": 2, "ignore": 0, "segmentation": [], "image_id": "BloodImage_00243", "id": 1676}, {"area": 9494, "iscrowd": 0, "bbox": [417, 149, 94, 101], "category_id": 2, "ignore": 0, "segmentation": [], "image_id": "BloodImage_00243", "id": 1677}, {"area": 8453, "iscrowd": 0, "bbox": [302, 0, 107, 79], "category_id": 2, "ignore": 0, "segmentation": [], "image_id": "BloodImage_00243", "id": 1678}, {"area": 11663, "iscrowd": 0, "bbox": [283, 133, 109, 107], "category_id": 2, "ignore": 0, "segmentation": [], "image_id": "BloodImage_00243", "id": 1679}, {"area": 10137, "iscrowd": 0, "bbox": [36, 186, 109, 93], "category_id": 2, "ignore": 0, "segmentation": [], "image_id": "BloodImage_00243", "id": 1680}, {"area": 8736, "iscrowd": 0, "bbox": [144, 242, 112, 78], "category_id": 2, "ignore": 0, "segmentation": [], "image_id": "BloodImage_00243", "id": 1681}, {"area": 9292, "iscrowd": 0, "bbox": [155, 137, 101, 92], "category_id": 2, "ignore": 0, "segmentation": [], "image_id": "BloodImage_00243", "id": 1682}, {"area": 11286, "iscrowd": 0, "bbox": [499, 228, 99, 114], "category_id": 2, "ignore": 0, "segmentation": [], "image_id": "BloodImage_00243", "id": 1683}, {"area": 11172, "iscrowd": 0, "bbox": [0, 69, 98, 114], "category_id": 2, "ignore": 0, "segmentation": [], "image_id": "BloodImage_00243", "id": 1684}, {"area": 14490, "iscrowd": 0, "bbox": [331, 28, 126, 115], "category_id": 2, "ignore": 0, "segmentation": [], "image_id": "BloodImage_00243", "id": 1685}, {"area": 9636, "iscrowd": 0, "bbox": [306, 406, 132, 73], "category_id": 2, "ignore": 0, "segmentation": [], "image_id": "BloodImage_00243", "id": 1686}, {"area": 41209, "iscrowd": 0, "bbox": [284, 216, 203, 203], "category_id": 1, "ignore": 0, "segmentation": [], "image_id": "BloodImage_00243", "id": 1687}, {"area": 10282, "iscrowd": 0, "bbox": [373, 15, 106, 97], "category_id": 2, "ignore": 0, "segmentation": [], "image_id": "BloodImage_00247", "id": 1688}, {"area": 10282, "iscrowd": 0, "bbox": [478, 21, 106, 97], "category_id": 2, "ignore": 0, "segmentation": [], "image_id": "BloodImage_00247", "id": 1689}, {"area": 10282, "iscrowd": 0, "bbox": [380, 143, 106, 97], "category_id": 2, "ignore": 0, "segmentation": [], "image_id": "BloodImage_00247", "id": 1690}, {"area": 12084, "iscrowd": 0, "bbox": [213, 332, 114, 106], "category_id": 2, "ignore": 0, "segmentation": [], "image_id": "BloodImage_00247", "id": 1691}, {"area": 14760, "iscrowd": 0, "bbox": [138, 226, 120, 123], "category_id": 2, "ignore": 0, "segmentation": [], "image_id": "BloodImage_00247", "id": 1692}, {"area": 9696, "iscrowd": 0, "bbox": [136, 57, 96, 101], "category_id": 2, "ignore": 0, "segmentation": [], "image_id": "BloodImage_00247", "id": 1693}, {"area": 14760, "iscrowd": 0, "bbox": [438, 340, 120, 123], "category_id": 2, "ignore": 0, "segmentation": [], "image_id": "BloodImage_00247", "id": 1694}, {"area": 6901, "iscrowd": 0, "bbox": [386, 412, 103, 67], "category_id": 2, "ignore": 0, "segmentation": [], "image_id": "BloodImage_00247", "id": 1695}, {"area": 9720, "iscrowd": 0, "bbox": [509, 219, 120, 81], "category_id": 2, "ignore": 0, "segmentation": [], "image_id": "BloodImage_00247", "id": 1696}, {"area": 15104, "iscrowd": 0, "bbox": [12, 26, 118, 128], "category_id": 2, "ignore": 0, "segmentation": [], "image_id": "BloodImage_00247", "id": 1697}, {"area": 7462, "iscrowd": 0, "bbox": [227, 0, 91, 82], "category_id": 2, "ignore": 0, "segmentation": [], "image_id": "BloodImage_00247", "id": 1698}, {"area": 10948, "iscrowd": 0, "bbox": [147, 321, 119, 92], "category_id": 2, "ignore": 0, "segmentation": [], "image_id": "BloodImage_00247", "id": 1699}, {"area": 12426, "iscrowd": 0, "bbox": [335, 320, 109, 114], "category_id": 2, "ignore": 0, "segmentation": [], "image_id": "BloodImage_00247", "id": 1700}, {"area": 43255, "iscrowd": 0, "bbox": [183, 84, 205, 211], "category_id": 1, "ignore": 0, "segmentation": [], "image_id": "BloodImage_00247", "id": 1701}, {"area": 9396, "iscrowd": 0, "bbox": [380, 0, 108, 87], "category_id": 2, "ignore": 0, "segmentation": [], "image_id": "BloodImage_00248", "id": 1702}, {"area": 11200, "iscrowd": 0, "bbox": [480, 23, 112, 100], "category_id": 2, "ignore": 0, "segmentation": [], "image_id": "BloodImage_00248", "id": 1703}, {"area": 15000, "iscrowd": 0, "bbox": [258, 78, 125, 120], "category_id": 2, "ignore": 0, "segmentation": [], "image_id": "BloodImage_00248", "id": 1704}, {"area": 7004, "iscrowd": 0, "bbox": [153, 0, 103, 68], "category_id": 2, "ignore": 0, "segmentation": [], "image_id": "BloodImage_00248", "id": 1705}, {"area": 14336, "iscrowd": 0, "bbox": [1, 219, 128, 112], "category_id": 2, "ignore": 0, "segmentation": [], "image_id": "BloodImage_00248", "id": 1706}, {"area": 10260, "iscrowd": 0, "bbox": [307, 372, 95, 108], "category_id": 2, "ignore": 0, "segmentation": [], "image_id": "BloodImage_00248", "id": 1707}, {"area": 12285, "iscrowd": 0, "bbox": [101, 46, 117, 105], "category_id": 2, "ignore": 0, "segmentation": [], "image_id": "BloodImage_00248", "id": 1708}, {"area": 12285, "iscrowd": 0, "bbox": [347, 186, 117, 105], "category_id": 2, "ignore": 0, "segmentation": [], "image_id": "BloodImage_00248", "id": 1709}, {"area": 12285, "iscrowd": 0, "bbox": [461, 221, 117, 105], "category_id": 2, "ignore": 0, "segmentation": [], "image_id": "BloodImage_00248", "id": 1710}, {"area": 8645, "iscrowd": 0, "bbox": [158, 413, 133, 65], "category_id": 2, "ignore": 0, "segmentation": [], "image_id": "BloodImage_00248", "id": 1711}, {"area": 8232, "iscrowd": 0, "bbox": [0, 356, 84, 98], "category_id": 2, "ignore": 0, "segmentation": [], "image_id": "BloodImage_00248", "id": 1712}, {"area": 39346, "iscrowd": 0, "bbox": [148, 232, 206, 191], "category_id": 1, "ignore": 0, "segmentation": [], "image_id": "BloodImage_00248", "id": 1713}, {"area": 40400, "iscrowd": 0, "bbox": [124, 142, 200, 202], "category_id": 1, "ignore": 0, "segmentation": [], "image_id": "BloodImage_00250", "id": 1714}, {"area": 9919, "iscrowd": 0, "bbox": [474, 144, 109, 91], "category_id": 2, "ignore": 0, "segmentation": [], "image_id": "BloodImage_00251", "id": 1715}, {"area": 9919, "iscrowd": 0, "bbox": [206, 148, 109, 91], "category_id": 2, "ignore": 0, "segmentation": [], "image_id": "BloodImage_00251", "id": 1716}, {"area": 9919, "iscrowd": 0, "bbox": [11, 231, 109, 91], "category_id": 2, "ignore": 0, "segmentation": [], "image_id": "BloodImage_00251", "id": 1717}, {"area": 9919, "iscrowd": 0, "bbox": [491, 364, 109, 91], "category_id": 2, "ignore": 0, "segmentation": [], "image_id": "BloodImage_00251", "id": 1718}, {"area": 9919, "iscrowd": 0, "bbox": [514, 317, 109, 91], "category_id": 2, "ignore": 0, "segmentation": [], "image_id": "BloodImage_00251", "id": 1719}, {"area": 12051, "iscrowd": 0, "bbox": [108, 170, 117, 103], "category_id": 2, "ignore": 0, "segmentation": [], "image_id": "BloodImage_00251", "id": 1720}, {"area": 13338, "iscrowd": 0, "bbox": [2, 328, 117, 114], "category_id": 2, "ignore": 0, "segmentation": [], "image_id": "BloodImage_00251", "id": 1721}, {"area": 13338, "iscrowd": 0, "bbox": [0, 326, 117, 114], "category_id": 2, "ignore": 0, "segmentation": [], "image_id": "BloodImage_00251", "id": 1722}, {"area": 53217, "iscrowd": 0, "bbox": [308, 198, 243, 219], "category_id": 1, "ignore": 0, "segmentation": [], "image_id": "BloodImage_00251", "id": 1723}, {"area": 10200, "iscrowd": 0, "bbox": [176, 47, 102, 100], "category_id": 2, "ignore": 0, "segmentation": [], "image_id": "BloodImage_00252", "id": 1724}, {"area": 10200, "iscrowd": 0, "bbox": [64, 354, 102, 100], "category_id": 2, "ignore": 0, "segmentation": [], "image_id": "BloodImage_00252", "id": 1725}, {"area": 6622, "iscrowd": 0, "bbox": [563, 394, 77, 86], "category_id": 2, "ignore": 0, "segmentation": [], "image_id": "BloodImage_00252", "id": 1726}, {"area": 12099, "iscrowd": 0, "bbox": [471, 314, 111, 109], "category_id": 2, "ignore": 0, "segmentation": [], "image_id": "BloodImage_00252", "id": 1727}, {"area": 12524, "iscrowd": 0, "bbox": [155, 379, 124, 101], "category_id": 2, "ignore": 0, "segmentation": [], "image_id": "BloodImage_00252", "id": 1728}, {"area": 9801, "iscrowd": 0, "bbox": [295, 49, 99, 99], "category_id": 2, "ignore": 0, "segmentation": [], "image_id": "BloodImage_00252", "id": 1729}, {"area": 10944, "iscrowd": 0, "bbox": [455, 20, 114, 96], "category_id": 2, "ignore": 0, "segmentation": [], "image_id": "BloodImage_00252", "id": 1730}, {"area": 11880, "iscrowd": 0, "bbox": [54, 0, 120, 99], "category_id": 2, "ignore": 0, "segmentation": [], "image_id": "BloodImage_00252", "id": 1731}, {"area": 5382, "iscrowd": 0, "bbox": [60, 294, 78, 69], "category_id": 2, "ignore": 0, "segmentation": [], "image_id": "BloodImage_00252", "id": 1732}, {"area": 53536, "iscrowd": 0, "bbox": [160, 180, 239, 224], "category_id": 1, "ignore": 0, "segmentation": [], "image_id": "BloodImage_00252", "id": 1733}, {"area": 11990, "iscrowd": 0, "bbox": [392, 53, 110, 109], "category_id": 2, "ignore": 0, "segmentation": [], "image_id": "BloodImage_00254", "id": 1734}, {"area": 8455, "iscrowd": 0, "bbox": [399, 349, 95, 89], "category_id": 2, "ignore": 0, "segmentation": [], "image_id": "BloodImage_00254", "id": 1735}, {"area": 12513, "iscrowd": 0, "bbox": [80, 238, 129, 97], "category_id": 2, "ignore": 0, "segmentation": [], "image_id": "BloodImage_00254", "id": 1736}, {"area": 11655, "iscrowd": 0, "bbox": [329, 257, 105, 111], "category_id": 2, "ignore": 0, "segmentation": [], "image_id": "BloodImage_00254", "id": 1737}, {"area": 10504, "iscrowd": 0, "bbox": [0, 324, 104, 101], "category_id": 2, "ignore": 0, "segmentation": [], "image_id": "BloodImage_00254", "id": 1738}, {"area": 8989, "iscrowd": 0, "bbox": [222, 243, 101, 89], "category_id": 2, "ignore": 0, "segmentation": [], "image_id": "BloodImage_00254", "id": 1739}, {"area": 10527, "iscrowd": 0, "bbox": [178, 183, 121, 87], "category_id": 2, "ignore": 0, "segmentation": [], "image_id": "BloodImage_00254", "id": 1740}, {"area": 13320, "iscrowd": 0, "bbox": [109, 31, 111, 120], "category_id": 2, "ignore": 0, "segmentation": [], "image_id": "BloodImage_00254", "id": 1741}, {"area": 9630, "iscrowd": 0, "bbox": [524, 373, 90, 107], "category_id": 2, "ignore": 0, "segmentation": [], "image_id": "BloodImage_00254", "id": 1742}, {"area": 3920, "iscrowd": 0, "bbox": [160, 399, 56, 70], "category_id": 3, "ignore": 0, "segmentation": [], "image_id": "BloodImage_00254", "id": 1743}, {"area": 1722, "iscrowd": 0, "bbox": [81, 201, 41, 42], "category_id": 3, "ignore": 0, "segmentation": [], "image_id": "BloodImage_00254", "id": 1744}, {"area": 17931, "iscrowd": 0, "bbox": [240, 348, 139, 129], "category_id": 1, "ignore": 0, "segmentation": [], "image_id": "BloodImage_00254", "id": 1745}, {"area": 18176, "iscrowd": 0, "bbox": [454, 131, 142, 128], "category_id": 2, "ignore": 0, "segmentation": [], "image_id": "BloodImage_00256", "id": 1746}, {"area": 10010, "iscrowd": 0, "bbox": [0, 84, 110, 91], "category_id": 2, "ignore": 0, "segmentation": [], "image_id": "BloodImage_00256", "id": 1747}, {"area": 11776, "iscrowd": 0, "bbox": [295, 39, 128, 92], "category_id": 2, "ignore": 0, "segmentation": [], "image_id": "BloodImage_00256", "id": 1748}, {"area": 9797, "iscrowd": 0, "bbox": [114, 204, 97, 101], "category_id": 2, "ignore": 0, "segmentation": [], "image_id": "BloodImage_00256", "id": 1749}, {"area": 9797, "iscrowd": 0, "bbox": [57, 135, 97, 101], "category_id": 2, "ignore": 0, "segmentation": [], "image_id": "BloodImage_00256", "id": 1750}, {"area": 58420, "iscrowd": 0, "bbox": [216, 213, 254, 230], "category_id": 1, "ignore": 0, "segmentation": [], "image_id": "BloodImage_00256", "id": 1751}, {"area": 12168, "iscrowd": 0, "bbox": [425, 352, 117, 104], "category_id": 2, "ignore": 0, "segmentation": [], "image_id": "BloodImage_00257", "id": 1752}, {"area": 12168, "iscrowd": 0, "bbox": [253, 376, 117, 104], "category_id": 2, "ignore": 0, "segmentation": [], "image_id": "BloodImage_00257", "id": 1753}, {"area": 14416, "iscrowd": 0, "bbox": [117, 289, 136, 106], "category_id": 2, "ignore": 0, "segmentation": [], "image_id": "BloodImage_00257", "id": 1754}, {"area": 7920, "iscrowd": 0, "bbox": [105, 197, 88, 90], "category_id": 2, "ignore": 0, "segmentation": [], "image_id": "BloodImage_00257", "id": 1755}, {"area": 8316, "iscrowd": 0, "bbox": [173, 0, 108, 77], "category_id": 2, "ignore": 0, "segmentation": [], "image_id": "BloodImage_00257", "id": 1756}, {"area": 10404, "iscrowd": 0, "bbox": [428, 77, 102, 102], "category_id": 2, "ignore": 0, "segmentation": [], "image_id": "BloodImage_00257", "id": 1757}, {"area": 10404, "iscrowd": 0, "bbox": [538, 294, 102, 102], "category_id": 2, "ignore": 0, "segmentation": [], "image_id": "BloodImage_00257", "id": 1758}, {"area": 44096, "iscrowd": 0, "bbox": [173, 98, 212, 208], "category_id": 1, "ignore": 0, "segmentation": [], "image_id": "BloodImage_00257", "id": 1759}, {"area": 1804, "iscrowd": 0, "bbox": [256, 161, 44, 41], "category_id": 3, "ignore": 0, "segmentation": [], "image_id": "BloodImage_00258", "id": 1760}, {"area": 27390, "iscrowd": 0, "bbox": [220, 222, 166, 165], "category_id": 1, "ignore": 0, "segmentation": [], "image_id": "BloodImage_00258", "id": 1761}, {"area": 1764, "iscrowd": 0, "bbox": [540, 393, 42, 42], "category_id": 3, "ignore": 0, "segmentation": [], "image_id": "BloodImage_00258", "id": 1762}, {"area": 9595, "iscrowd": 0, "bbox": [155, 111, 101, 95], "category_id": 2, "ignore": 0, "segmentation": [], "image_id": "BloodImage_00259", "id": 1763}, {"area": 10712, "iscrowd": 0, "bbox": [167, 373, 103, 104], "category_id": 2, "ignore": 0, "segmentation": [], "image_id": "BloodImage_00259", "id": 1764}, {"area": 4731, "iscrowd": 0, "bbox": [237, 227, 83, 57], "category_id": 2, "ignore": 0, "segmentation": [], "image_id": "BloodImage_00259", "id": 1765}, {"area": 9919, "iscrowd": 0, "bbox": [455, 160, 109, 91], "category_id": 2, "ignore": 0, "segmentation": [], "image_id": "BloodImage_00259", "id": 1766}, {"area": 12064, "iscrowd": 0, "bbox": [536, 298, 104, 116], "category_id": 2, "ignore": 0, "segmentation": [], "image_id": "BloodImage_00259", "id": 1767}, {"area": 10375, "iscrowd": 0, "bbox": [60, 62, 125, 83], "category_id": 2, "ignore": 0, "segmentation": [], "image_id": "BloodImage_00259", "id": 1768}, {"area": 6161, "iscrowd": 0, "bbox": [6, 419, 101, 61], "category_id": 2, "ignore": 0, "segmentation": [], "image_id": "BloodImage_00259", "id": 1769}, {"area": 2550, "iscrowd": 0, "bbox": [37, 128, 50, 51], "category_id": 3, "ignore": 0, "segmentation": [], "image_id": "BloodImage_00259", "id": 1770}, {"area": 2024, "iscrowd": 0, "bbox": [280, 181, 46, 44], "category_id": 3, "ignore": 0, "segmentation": [], "image_id": "BloodImage_00259", "id": 1771}, {"area": 1520, "iscrowd": 0, "bbox": [584, 418, 40, 38], "category_id": 3, "ignore": 0, "segmentation": [], "image_id": "BloodImage_00259", "id": 1772}, {"area": 1558, "iscrowd": 0, "bbox": [506, 339, 41, 38], "category_id": 3, "ignore": 0, "segmentation": [], "image_id": "BloodImage_00259", "id": 1773}, {"area": 35490, "iscrowd": 0, "bbox": [14, 180, 195, 182], "category_id": 1, "ignore": 0, "segmentation": [], "image_id": "BloodImage_00259", "id": 1774}, {"area": 8188, "iscrowd": 0, "bbox": [114, 357, 92, 89], "category_id": 2, "ignore": 0, "segmentation": [], "image_id": "BloodImage_00263", "id": 1775}, {"area": 6873, "iscrowd": 0, "bbox": [0, 314, 79, 87], "category_id": 2, "ignore": 0, "segmentation": [], "image_id": "BloodImage_00263", "id": 1776}, {"area": 9350, "iscrowd": 0, "bbox": [401, 304, 85, 110], "category_id": 2, "ignore": 0, "segmentation": [], "image_id": "BloodImage_00263", "id": 1777}, {"area": 8080, "iscrowd": 0, "bbox": [387, 42, 80, 101], "category_id": 2, "ignore": 0, "segmentation": [], "image_id": "BloodImage_00263", "id": 1778}, {"area": 5929, "iscrowd": 0, "bbox": [563, 0, 77, 77], "category_id": 2, "ignore": 0, "segmentation": [], "image_id": "BloodImage_00263", "id": 1779}, {"area": 9801, "iscrowd": 0, "bbox": [247, 381, 99, 99], "category_id": 2, "ignore": 0, "segmentation": [], "image_id": "BloodImage_00263", "id": 1780}, {"area": 4620, "iscrowd": 0, "bbox": [336, 410, 66, 70], "category_id": 2, "ignore": 0, "segmentation": [], "image_id": "BloodImage_00263", "id": 1781}, {"area": 8755, "iscrowd": 0, "bbox": [139, 170, 103, 85], "category_id": 2, "ignore": 0, "segmentation": [], "image_id": "BloodImage_00263", "id": 1782}, {"area": 8755, "iscrowd": 0, "bbox": [49, 191, 103, 85], "category_id": 2, "ignore": 0, "segmentation": [], "image_id": "BloodImage_00263", "id": 1783}, {"area": 10914, "iscrowd": 0, "bbox": [355, 147, 107, 102], "category_id": 2, "ignore": 0, "segmentation": [], "image_id": "BloodImage_00263", "id": 1784}, {"area": 11881, "iscrowd": 0, "bbox": [297, 127, 109, 109], "category_id": 2, "ignore": 0, "segmentation": [], "image_id": "BloodImage_00263", "id": 1785}, {"area": 10914, "iscrowd": 0, "bbox": [533, 242, 107, 102], "category_id": 2, "ignore": 0, "segmentation": [], "image_id": "BloodImage_00263", "id": 1786}, {"area": 2451, "iscrowd": 0, "bbox": [69, 37, 43, 57], "category_id": 3, "ignore": 0, "segmentation": [], "image_id": "BloodImage_00263", "id": 1787}, {"area": 2655, "iscrowd": 0, "bbox": [360, 11, 59, 45], "category_id": 3, "ignore": 0, "segmentation": [], "image_id": "BloodImage_00263", "id": 1788}, {"area": 29952, "iscrowd": 0, "bbox": [99, 0, 208, 144], "category_id": 1, "ignore": 0, "segmentation": [], "image_id": "BloodImage_00263", "id": 1789}, {"area": 7826, "iscrowd": 0, "bbox": [152, 308, 91, 86], "category_id": 2, "ignore": 0, "segmentation": [], "image_id": "BloodImage_00264", "id": 1790}, {"area": 7520, "iscrowd": 0, "bbox": [130, 400, 94, 80], "category_id": 2, "ignore": 0, "segmentation": [], "image_id": "BloodImage_00264", "id": 1791}, {"area": 11880, "iscrowd": 0, "bbox": [376, 175, 108, 110], "category_id": 2, "ignore": 0, "segmentation": [], "image_id": "BloodImage_00264", "id": 1792}, {"area": 8010, "iscrowd": 0, "bbox": [485, 273, 90, 89], "category_id": 2, "ignore": 0, "segmentation": [], "image_id": "BloodImage_00264", "id": 1793}, {"area": 6142, "iscrowd": 0, "bbox": [433, 0, 83, 74], "category_id": 2, "ignore": 0, "segmentation": [], "image_id": "BloodImage_00264", "id": 1794}, {"area": 11200, "iscrowd": 0, "bbox": [480, 54, 112, 100], "category_id": 2, "ignore": 0, "segmentation": [], "image_id": "BloodImage_00264", "id": 1795}, {"area": 8455, "iscrowd": 0, "bbox": [89, 117, 95, 89], "category_id": 2, "ignore": 0, "segmentation": [], "image_id": "BloodImage_00264", "id": 1796}, {"area": 9494, "iscrowd": 0, "bbox": [273, 136, 101, 94], "category_id": 2, "ignore": 0, "segmentation": [], "image_id": "BloodImage_00264", "id": 1797}, {"area": 5050, "iscrowd": 0, "bbox": [514, 0, 101, 50], "category_id": 2, "ignore": 0, "segmentation": [], "image_id": "BloodImage_00264", "id": 1798}, {"area": 8000, "iscrowd": 0, "bbox": [560, 131, 80, 100], "category_id": 2, "ignore": 0, "segmentation": [], "image_id": "BloodImage_00264", "id": 1799}, {"area": 4420, "iscrowd": 0, "bbox": [588, 303, 52, 85], "category_id": 2, "ignore": 0, "segmentation": [], "image_id": "BloodImage_00264", "id": 1800}, {"area": 9968, "iscrowd": 0, "bbox": [526, 391, 112, 89], "category_id": 2, "ignore": 0, "segmentation": [], "image_id": "BloodImage_00264", "id": 1801}, {"area": 12416, "iscrowd": 0, "bbox": [270, 17, 128, 97], "category_id": 2, "ignore": 0, "segmentation": [], "image_id": "BloodImage_00264", "id": 1802}, {"area": 20264, "iscrowd": 0, "bbox": [233, 331, 136, 149], "category_id": 1, "ignore": 0, "segmentation": [], "image_id": "BloodImage_00264", "id": 1803}, {"area": 1892, "iscrowd": 0, "bbox": [281, 295, 43, 44], "category_id": 3, "ignore": 0, "segmentation": [], "image_id": "BloodImage_00264", "id": 1804}, {"area": 9009, "iscrowd": 0, "bbox": [143, 345, 99, 91], "category_id": 2, "ignore": 0, "segmentation": [], "image_id": "BloodImage_00265", "id": 1805}, {"area": 7298, "iscrowd": 0, "bbox": [0, 71, 82, 89], "category_id": 2, "ignore": 0, "segmentation": [], "image_id": "BloodImage_00265", "id": 1806}, {"area": 6305, "iscrowd": 0, "bbox": [106, 0, 97, 65], "category_id": 2, "ignore": 0, "segmentation": [], "image_id": "BloodImage_00265", "id": 1807}, {"area": 9632, "iscrowd": 0, "bbox": [199, 0, 112, 86], "category_id": 2, "ignore": 0, "segmentation": [], "image_id": "BloodImage_00265", "id": 1808}, {"area": 9744, "iscrowd": 0, "bbox": [70, 76, 112, 87], "category_id": 2, "ignore": 0, "segmentation": [], "image_id": "BloodImage_00265", "id": 1809}, {"area": 9765, "iscrowd": 0, "bbox": [34, 251, 93, 105], "category_id": 2, "ignore": 0, "segmentation": [], "image_id": "BloodImage_00265", "id": 1810}, {"area": 6624, "iscrowd": 0, "bbox": [74, 294, 72, 92], "category_id": 2, "ignore": 0, "segmentation": [], "image_id": "BloodImage_00265", "id": 1811}, {"area": 10908, "iscrowd": 0, "bbox": [28, 349, 101, 108], "category_id": 2, "ignore": 0, "segmentation": [], "image_id": "BloodImage_00265", "id": 1812}, {"area": 10908, "iscrowd": 0, "bbox": [208, 107, 101, 108], "category_id": 2, "ignore": 0, "segmentation": [], "image_id": "BloodImage_00265", "id": 1813}, {"area": 7225, "iscrowd": 0, "bbox": [476, 133, 85, 85], "category_id": 2, "ignore": 0, "segmentation": [], "image_id": "BloodImage_00265", "id": 1814}, {"area": 34825, "iscrowd": 0, "bbox": [239, 218, 199, 175], "category_id": 1, "ignore": 0, "segmentation": [], "image_id": "BloodImage_00265", "id": 1815}, {"area": 12204, "iscrowd": 0, "bbox": [508, 146, 113, 108], "category_id": 2, "ignore": 0, "segmentation": [], "image_id": "BloodImage_00266", "id": 1816}, {"area": 8023, "iscrowd": 0, "bbox": [443, 145, 71, 113], "category_id": 2, "ignore": 0, "segmentation": [], "image_id": "BloodImage_00266", "id": 1817}, {"area": 12430, "iscrowd": 0, "bbox": [344, 218, 113, 110], "category_id": 2, "ignore": 0, "segmentation": [], "image_id": "BloodImage_00266", "id": 1818}, {"area": 12826, "iscrowd": 0, "bbox": [286, 339, 121, 106], "category_id": 2, "ignore": 0, "segmentation": [], "image_id": "BloodImage_00266", "id": 1819}, {"area": 7912, "iscrowd": 0, "bbox": [0, 153, 86, 92], "category_id": 2, "ignore": 0, "segmentation": [], "image_id": "BloodImage_00266", "id": 1820}, {"area": 8004, "iscrowd": 0, "bbox": [302, 86, 87, 92], "category_id": 2, "ignore": 0, "segmentation": [], "image_id": "BloodImage_00266", "id": 1821}, {"area": 8004, "iscrowd": 0, "bbox": [379, 11, 87, 92], "category_id": 2, "ignore": 0, "segmentation": [], "image_id": "BloodImage_00266", "id": 1822}, {"area": 7700, "iscrowd": 0, "bbox": [562, 250, 77, 100], "category_id": 2, "ignore": 0, "segmentation": [], "image_id": "BloodImage_00266", "id": 1823}, {"area": 9900, "iscrowd": 0, "bbox": [82, 0, 100, 99], "category_id": 2, "ignore": 0, "segmentation": [], "image_id": "BloodImage_00266", "id": 1824}, {"area": 10528, "iscrowd": 0, "bbox": [51, 87, 112, 94], "category_id": 2, "ignore": 0, "segmentation": [], "image_id": "BloodImage_00266", "id": 1825}, {"area": 36084, "iscrowd": 0, "bbox": [1, 246, 186, 194], "category_id": 1, "ignore": 0, "segmentation": [], "image_id": "BloodImage_00266", "id": 1826}, {"area": 1530, "iscrowd": 0, "bbox": [578, 422, 45, 34], "category_id": 3, "ignore": 0, "segmentation": [], "image_id": "BloodImage_00266", "id": 1827}, {"area": 7128, "iscrowd": 0, "bbox": [310, 322, 99, 72], "category_id": 2, "ignore": 0, "segmentation": [], "image_id": "BloodImage_00266", "id": 1828}, {"area": 8395, "iscrowd": 0, "bbox": [173, 210, 115, 73], "category_id": 2, "ignore": 0, "segmentation": [], "image_id": "BloodImage_00266", "id": 1829}, {"area": 39644, "iscrowd": 0, "bbox": [86, 111, 212, 187], "category_id": 1, "ignore": 0, "segmentation": [], "image_id": "BloodImage_00267", "id": 1830}, {"area": 1920, "iscrowd": 0, "bbox": [61, 25, 40, 48], "category_id": 3, "ignore": 0, "segmentation": [], "image_id": "BloodImage_00267", "id": 1831}, {"area": 1638, "iscrowd": 0, "bbox": [14, 308, 39, 42], "category_id": 3, "ignore": 0, "segmentation": [], "image_id": "BloodImage_00267", "id": 1832}, {"area": 1254, "iscrowd": 0, "bbox": [0, 348, 38, 33], "category_id": 3, "ignore": 0, "segmentation": [], "image_id": "BloodImage_00267", "id": 1833}, {"area": 35260, "iscrowd": 0, "bbox": [123, 0, 205, 172], "category_id": 1, "ignore": 0, "segmentation": [], "image_id": "BloodImage_00268", "id": 1834}, {"area": 2494, "iscrowd": 0, "bbox": [82, 297, 58, 43], "category_id": 3, "ignore": 0, "segmentation": [], "image_id": "BloodImage_00270", "id": 1835}, {"area": 1677, "iscrowd": 0, "bbox": [348, 326, 43, 39], "category_id": 3, "ignore": 0, "segmentation": [], "image_id": "BloodImage_00270", "id": 1836}, {"area": 17931, "iscrowd": 0, "bbox": [244, 351, 139, 129], "category_id": 1, "ignore": 0, "segmentation": [], "image_id": "BloodImage_00270", "id": 1837}, {"area": 9579, "iscrowd": 0, "bbox": [269, 117, 103, 93], "category_id": 2, "ignore": 0, "segmentation": [], "image_id": "BloodImage_00270", "id": 1838}, {"area": 9579, "iscrowd": 0, "bbox": [313, 86, 103, 93], "category_id": 2, "ignore": 0, "segmentation": [], "image_id": "BloodImage_00270", "id": 1839}, {"area": 12827, "iscrowd": 0, "bbox": [160, 282, 127, 101], "category_id": 2, "ignore": 0, "segmentation": [], "image_id": "BloodImage_00270", "id": 1840}, {"area": 9785, "iscrowd": 0, "bbox": [226, 264, 103, 95], "category_id": 2, "ignore": 0, "segmentation": [], "image_id": "BloodImage_00273", "id": 1841}, {"area": 10752, "iscrowd": 0, "bbox": [47, 210, 112, 96], "category_id": 2, "ignore": 0, "segmentation": [], "image_id": "BloodImage_00273", "id": 1842}, {"area": 15776, "iscrowd": 0, "bbox": [135, 166, 136, 116], "category_id": 2, "ignore": 0, "segmentation": [], "image_id": "BloodImage_00273", "id": 1843}, {"area": 12656, "iscrowd": 0, "bbox": [387, 274, 113, 112], "category_id": 2, "ignore": 0, "segmentation": [], "image_id": "BloodImage_00273", "id": 1844}, {"area": 11832, "iscrowd": 0, "bbox": [490, 285, 116, 102], "category_id": 2, "ignore": 0, "segmentation": [], "image_id": "BloodImage_00273", "id": 1845}, {"area": 10379, "iscrowd": 0, "bbox": [341, 91, 107, 97], "category_id": 2, "ignore": 0, "segmentation": [], "image_id": "BloodImage_00273", "id": 1846}, {"area": 10379, "iscrowd": 0, "bbox": [426, 77, 107, 97], "category_id": 2, "ignore": 0, "segmentation": [], "image_id": "BloodImage_00273", "id": 1847}, {"area": 10379, "iscrowd": 0, "bbox": [424, 169, 107, 97], "category_id": 2, "ignore": 0, "segmentation": [], "image_id": "BloodImage_00273", "id": 1848}, {"area": 10379, "iscrowd": 0, "bbox": [122, 77, 107, 97], "category_id": 2, "ignore": 0, "segmentation": [], "image_id": "BloodImage_00273", "id": 1849}, {"area": 11554, "iscrowd": 0, "bbox": [29, 60, 109, 106], "category_id": 2, "ignore": 0, "segmentation": [], "image_id": "BloodImage_00273", "id": 1850}, {"area": 8514, "iscrowd": 0, "bbox": [554, 30, 86, 99], "category_id": 2, "ignore": 0, "segmentation": [], "image_id": "BloodImage_00273", "id": 1851}, {"area": 9000, "iscrowd": 0, "bbox": [246, 385, 100, 90], "category_id": 2, "ignore": 0, "segmentation": [], "image_id": "BloodImage_00273", "id": 1852}, {"area": 26568, "iscrowd": 0, "bbox": [192, 0, 216, 123], "category_id": 1, "ignore": 0, "segmentation": [], "image_id": "BloodImage_00273", "id": 1853}, {"area": 1400, "iscrowd": 0, "bbox": [14, 52, 35, 40], "category_id": 3, "ignore": 0, "segmentation": [], "image_id": "BloodImage_00273", "id": 1854}, {"area": 1360, "iscrowd": 0, "bbox": [486, 405, 40, 34], "category_id": 3, "ignore": 0, "segmentation": [], "image_id": "BloodImage_00273", "id": 1855}, {"area": 12177, "iscrowd": 0, "bbox": [96, 58, 123, 99], "category_id": 2, "ignore": 0, "segmentation": [], "image_id": "BloodImage_00275", "id": 1856}, {"area": 11021, "iscrowd": 0, "bbox": [212, 37, 107, 103], "category_id": 2, "ignore": 0, "segmentation": [], "image_id": "BloodImage_00275", "id": 1857}, {"area": 11760, "iscrowd": 0, "bbox": [113, 253, 112, 105], "category_id": 2, "ignore": 0, "segmentation": [], "image_id": "BloodImage_00275", "id": 1858}, {"area": 10044, "iscrowd": 0, "bbox": [527, 208, 108, 93], "category_id": 2, "ignore": 0, "segmentation": [], "image_id": "BloodImage_00275", "id": 1859}, {"area": 10044, "iscrowd": 0, "bbox": [308, 94, 108, 93], "category_id": 2, "ignore": 0, "segmentation": [], "image_id": "BloodImage_00275", "id": 1860}, {"area": 8181, "iscrowd": 0, "bbox": [342, 92, 101, 81], "category_id": 2, "ignore": 0, "segmentation": [], "image_id": "BloodImage_00275", "id": 1861}, {"area": 8181, "iscrowd": 0, "bbox": [443, 54, 101, 81], "category_id": 2, "ignore": 0, "segmentation": [], "image_id": "BloodImage_00275", "id": 1862}, {"area": 16380, "iscrowd": 0, "bbox": [1, 186, 130, 126], "category_id": 2, "ignore": 0, "segmentation": [], "image_id": "BloodImage_00275", "id": 1863}, {"area": 11236, "iscrowd": 0, "bbox": [95, 361, 106, 106], "category_id": 2, "ignore": 0, "segmentation": [], "image_id": "BloodImage_00275", "id": 1864}, {"area": 8820, "iscrowd": 0, "bbox": [422, 308, 98, 90], "category_id": 2, "ignore": 0, "segmentation": [], "image_id": "BloodImage_00275", "id": 1865}, {"area": 13899, "iscrowd": 0, "bbox": [490, 367, 123, 113], "category_id": 2, "ignore": 0, "segmentation": [], "image_id": "BloodImage_00275", "id": 1866}, {"area": 11662, "iscrowd": 0, "bbox": [180, 133, 119, 98], "category_id": 2, "ignore": 0, "segmentation": [], "image_id": "BloodImage_00275", "id": 1867}, {"area": 11300, "iscrowd": 0, "bbox": [288, 352, 113, 100], "category_id": 2, "ignore": 0, "segmentation": [], "image_id": "BloodImage_00275", "id": 1868}, {"area": 9296, "iscrowd": 0, "bbox": [0, 23, 83, 112], "category_id": 2, "ignore": 0, "segmentation": [], "image_id": "BloodImage_00275", "id": 1869}, {"area": 19845, "iscrowd": 0, "bbox": [269, 191, 147, 135], "category_id": 1, "ignore": 0, "segmentation": [], "image_id": "BloodImage_00275", "id": 1870}, {"area": 1702, "iscrowd": 0, "bbox": [80, 167, 46, 37], "category_id": 3, "ignore": 0, "segmentation": [], "image_id": "BloodImage_00275", "id": 1871}, {"area": 12019, "iscrowd": 0, "bbox": [142, 94, 101, 119], "category_id": 2, "ignore": 0, "segmentation": [], "image_id": "BloodImage_00276", "id": 1872}, {"area": 10323, "iscrowd": 0, "bbox": [172, 193, 93, 111], "category_id": 2, "ignore": 0, "segmentation": [], "image_id": "BloodImage_00276", "id": 1873}, {"area": 9888, "iscrowd": 0, "bbox": [70, 10, 96, 103], "category_id": 2, "ignore": 0, "segmentation": [], "image_id": "BloodImage_00276", "id": 1874}, {"area": 9888, "iscrowd": 0, "bbox": [430, 31, 96, 103], "category_id": 2, "ignore": 0, "segmentation": [], "image_id": "BloodImage_00276", "id": 1875}, {"area": 9888, "iscrowd": 0, "bbox": [489, 31, 96, 103], "category_id": 2, "ignore": 0, "segmentation": [], "image_id": "BloodImage_00276", "id": 1876}, {"area": 9888, "iscrowd": 0, "bbox": [439, 143, 96, 103], "category_id": 2, "ignore": 0, "segmentation": [], "image_id": "BloodImage_00276", "id": 1877}, {"area": 9888, "iscrowd": 0, "bbox": [526, 160, 96, 103], "category_id": 2, "ignore": 0, "segmentation": [], "image_id": "BloodImage_00276", "id": 1878}, {"area": 11772, "iscrowd": 0, "bbox": [416, 245, 108, 109], "category_id": 2, "ignore": 0, "segmentation": [], "image_id": "BloodImage_00276", "id": 1879}, {"area": 11772, "iscrowd": 0, "bbox": [377, 301, 108, 109], "category_id": 2, "ignore": 0, "segmentation": [], "image_id": "BloodImage_00276", "id": 1880}, {"area": 9476, "iscrowd": 0, "bbox": [45, 206, 92, 103], "category_id": 2, "ignore": 0, "segmentation": [], "image_id": "BloodImage_00276", "id": 1881}, {"area": 11984, "iscrowd": 0, "bbox": [53, 359, 112, 107], "category_id": 2, "ignore": 0, "segmentation": [], "image_id": "BloodImage_00276", "id": 1882}, {"area": 9579, "iscrowd": 0, "bbox": [511, 326, 103, 93], "category_id": 2, "ignore": 0, "segmentation": [], "image_id": "BloodImage_00276", "id": 1883}, {"area": 37050, "iscrowd": 0, "bbox": [220, 35, 195, 190], "category_id": 1, "ignore": 0, "segmentation": [], "image_id": "BloodImage_00276", "id": 1884}, {"area": 1056, "iscrowd": 0, "bbox": [350, 316, 32, 33], "category_id": 3, "ignore": 0, "segmentation": [], "image_id": "BloodImage_00276", "id": 1885}, {"area": 1368, "iscrowd": 0, "bbox": [36, 165, 36, 38], "category_id": 3, "ignore": 0, "segmentation": [], "image_id": "BloodImage_00276", "id": 1886}, {"area": 14399, "iscrowd": 0, "bbox": [2, 345, 121, 119], "category_id": 2, "ignore": 0, "segmentation": [], "image_id": "BloodImage_00278", "id": 1887}, {"area": 14399, "iscrowd": 0, "bbox": [164, 152, 121, 119], "category_id": 2, "ignore": 0, "segmentation": [], "image_id": "BloodImage_00278", "id": 1888}, {"area": 12272, "iscrowd": 0, "bbox": [358, 0, 118, 104], "category_id": 2, "ignore": 0, "segmentation": [], "image_id": "BloodImage_00278", "id": 1889}, {"area": 12390, "iscrowd": 0, "bbox": [269, 92, 118, 105], "category_id": 2, "ignore": 0, "segmentation": [], "image_id": "BloodImage_00278", "id": 1890}, {"area": 15568, "iscrowd": 0, "bbox": [388, 174, 112, 139], "category_id": 2, "ignore": 0, "segmentation": [], "image_id": "BloodImage_00278", "id": 1891}, {"area": 9676, "iscrowd": 0, "bbox": [558, 50, 82, 118], "category_id": 2, "ignore": 0, "segmentation": [], "image_id": "BloodImage_00278", "id": 1892}, {"area": 6783, "iscrowd": 0, "bbox": [491, 422, 119, 57], "category_id": 2, "ignore": 0, "segmentation": [], "image_id": "BloodImage_00278", "id": 1893}, {"area": 14399, "iscrowd": 0, "bbox": [30, 176, 121, 119], "category_id": 2, "ignore": 0, "segmentation": [], "image_id": "BloodImage_00278", "id": 1894}, {"area": 9720, "iscrowd": 0, "bbox": [148, 42, 108, 90], "category_id": 2, "ignore": 0, "segmentation": [], "image_id": "BloodImage_00278", "id": 1895}, {"area": 5184, "iscrowd": 0, "bbox": [245, 432, 108, 48], "category_id": 2, "ignore": 0, "segmentation": [], "image_id": "BloodImage_00278", "id": 1896}, {"area": 13728, "iscrowd": 0, "bbox": [393, 113, 132, 104], "category_id": 2, "ignore": 0, "segmentation": [], "image_id": "BloodImage_00278", "id": 1897}, {"area": 12971, "iscrowd": 0, "bbox": [468, 210, 109, 119], "category_id": 2, "ignore": 0, "segmentation": [], "image_id": "BloodImage_00278", "id": 1898}, {"area": 992, "iscrowd": 0, "bbox": [294, 337, 31, 32], "category_id": 3, "ignore": 0, "segmentation": [], "image_id": "BloodImage_00278", "id": 1899}, {"area": 1591, "iscrowd": 0, "bbox": [78, 47, 37, 43], "category_id": 3, "ignore": 0, "segmentation": [], "image_id": "BloodImage_00278", "id": 1900}, {"area": 27710, "iscrowd": 0, "bbox": [317, 317, 170, 163], "category_id": 1, "ignore": 0, "segmentation": [], "image_id": "BloodImage_00278", "id": 1901}, {"area": 11124, "iscrowd": 0, "bbox": [286, 292, 108, 103], "category_id": 2, "ignore": 0, "segmentation": [], "image_id": "BloodImage_00279", "id": 1902}, {"area": 7565, "iscrowd": 0, "bbox": [213, 280, 89, 85], "category_id": 2, "ignore": 0, "segmentation": [], "image_id": "BloodImage_00279", "id": 1903}, {"area": 11000, "iscrowd": 0, "bbox": [43, 48, 88, 125], "category_id": 2, "ignore": 0, "segmentation": [], "image_id": "BloodImage_00279", "id": 1904}, {"area": 11124, "iscrowd": 0, "bbox": [521, 121, 108, 103], "category_id": 2, "ignore": 0, "segmentation": [], "image_id": "BloodImage_00279", "id": 1905}, {"area": 11550, "iscrowd": 0, "bbox": [160, 162, 110, 105], "category_id": 2, "ignore": 0, "segmentation": [], "image_id": "BloodImage_00279", "id": 1906}, {"area": 9604, "iscrowd": 0, "bbox": [245, 170, 98, 98], "category_id": 2, "ignore": 0, "segmentation": [], "image_id": "BloodImage_00279", "id": 1907}, {"area": 9300, "iscrowd": 0, "bbox": [304, 177, 100, 93], "category_id": 2, "ignore": 0, "segmentation": [], "image_id": "BloodImage_00279", "id": 1908}, {"area": 9300, "iscrowd": 0, "bbox": [157, 369, 100, 93], "category_id": 2, "ignore": 0, "segmentation": [], "image_id": "BloodImage_00279", "id": 1909}, {"area": 7140, "iscrowd": 0, "bbox": [0, 194, 70, 102], "category_id": 2, "ignore": 0, "segmentation": [], "image_id": "BloodImage_00279", "id": 1910}, {"area": 9300, "iscrowd": 0, "bbox": [133, 278, 100, 93], "category_id": 2, "ignore": 0, "segmentation": [], "image_id": "BloodImage_00279", "id": 1911}, {"area": 9975, "iscrowd": 0, "bbox": [436, 118, 95, 105], "category_id": 2, "ignore": 0, "segmentation": [], "image_id": "BloodImage_00279", "id": 1912}, {"area": 13090, "iscrowd": 0, "bbox": [457, 236, 119, 110], "category_id": 2, "ignore": 0, "segmentation": [], "image_id": "BloodImage_00279", "id": 1913}, {"area": 13090, "iscrowd": 0, "bbox": [418, 330, 119, 110], "category_id": 2, "ignore": 0, "segmentation": [], "image_id": "BloodImage_00279", "id": 1914}, {"area": 42720, "iscrowd": 0, "bbox": [243, 0, 240, 178], "category_id": 1, "ignore": 0, "segmentation": [], "image_id": "BloodImage_00279", "id": 1915}, {"area": 11330, "iscrowd": 0, "bbox": [111, 139, 110, 103], "category_id": 2, "ignore": 0, "segmentation": [], "image_id": "BloodImage_00281", "id": 1916}, {"area": 10192, "iscrowd": 0, "bbox": [78, 44, 98, 104], "category_id": 2, "ignore": 0, "segmentation": [], "image_id": "BloodImage_00281", "id": 1917}, {"area": 12656, "iscrowd": 0, "bbox": [0, 253, 112, 113], "category_id": 2, "ignore": 0, "segmentation": [], "image_id": "BloodImage_00281", "id": 1918}, {"area": 12320, "iscrowd": 0, "bbox": [110, 344, 112, 110], "category_id": 2, "ignore": 0, "segmentation": [], "image_id": "BloodImage_00281", "id": 1919}, {"area": 12614, "iscrowd": 0, "bbox": [119, 257, 119, 106], "category_id": 2, "ignore": 0, "segmentation": [], "image_id": "BloodImage_00281", "id": 1920}, {"area": 15930, "iscrowd": 0, "bbox": [231, 51, 118, 135], "category_id": 2, "ignore": 0, "segmentation": [], "image_id": "BloodImage_00281", "id": 1921}, {"area": 12614, "iscrowd": 0, "bbox": [412, 120, 119, 106], "category_id": 2, "ignore": 0, "segmentation": [], "image_id": "BloodImage_00281", "id": 1922}, {"area": 12208, "iscrowd": 0, "bbox": [528, 264, 112, 109], "category_id": 2, "ignore": 0, "segmentation": [], "image_id": "BloodImage_00281", "id": 1923}, {"area": 12600, "iscrowd": 0, "bbox": [0, 0, 126, 100], "category_id": 2, "ignore": 0, "segmentation": [], "image_id": "BloodImage_00281", "id": 1924}, {"area": 12000, "iscrowd": 0, "bbox": [521, 72, 96, 125], "category_id": 2, "ignore": 0, "segmentation": [], "image_id": "BloodImage_00281", "id": 1925}, {"area": 60416, "iscrowd": 0, "bbox": [215, 151, 256, 236], "category_id": 1, "ignore": 0, "segmentation": [], "image_id": "BloodImage_00281", "id": 1926}, {"area": 10716, "iscrowd": 0, "bbox": [380, 273, 114, 94], "category_id": 2, "ignore": 0, "segmentation": [], "image_id": "BloodImage_00283", "id": 1927}, {"area": 14280, "iscrowd": 0, "bbox": [434, 155, 120, 119], "category_id": 2, "ignore": 0, "segmentation": [], "image_id": "BloodImage_00283", "id": 1928}, {"area": 11881, "iscrowd": 0, "bbox": [346, 95, 109, 109], "category_id": 2, "ignore": 0, "segmentation": [], "image_id": "BloodImage_00283", "id": 1929}, {"area": 9870, "iscrowd": 0, "bbox": [281, 149, 105, 94], "category_id": 2, "ignore": 0, "segmentation": [], "image_id": "BloodImage_00283", "id": 1930}, {"area": 9765, "iscrowd": 0, "bbox": [342, 0, 105, 93], "category_id": 2, "ignore": 0, "segmentation": [], "image_id": "BloodImage_00283", "id": 1931}, {"area": 11424, "iscrowd": 0, "bbox": [354, 378, 112, 102], "category_id": 2, "ignore": 0, "segmentation": [], "image_id": "BloodImage_00283", "id": 1932}, {"area": 8214, "iscrowd": 0, "bbox": [219, 406, 111, 74], "category_id": 2, "ignore": 0, "segmentation": [], "image_id": "BloodImage_00283", "id": 1933}, {"area": 12091, "iscrowd": 0, "bbox": [447, 0, 113, 107], "category_id": 2, "ignore": 0, "segmentation": [], "image_id": "BloodImage_00283", "id": 1934}, {"area": 10246, "iscrowd": 0, "bbox": [546, 333, 94, 109], "category_id": 2, "ignore": 0, "segmentation": [], "image_id": "BloodImage_00283", "id": 1935}, {"area": 10246, "iscrowd": 0, "bbox": [172, 62, 94, 109], "category_id": 2, "ignore": 0, "segmentation": [], "image_id": "BloodImage_00283", "id": 1936}, {"area": 10246, "iscrowd": 0, "bbox": [53, 72, 94, 109], "category_id": 2, "ignore": 0, "segmentation": [], "image_id": "BloodImage_00283", "id": 1937}, {"area": 10246, "iscrowd": 0, "bbox": [9, 125, 94, 109], "category_id": 2, "ignore": 0, "segmentation": [], "image_id": "BloodImage_00283", "id": 1938}, {"area": 42180, "iscrowd": 0, "bbox": [27, 222, 228, 185], "category_id": 1, "ignore": 0, "segmentation": [], "image_id": "BloodImage_00283", "id": 1939}, {"area": 9118, "iscrowd": 0, "bbox": [66, 358, 97, 94], "category_id": 2, "ignore": 0, "segmentation": [], "image_id": "BloodImage_00288", "id": 1940}, {"area": 9118, "iscrowd": 0, "bbox": [338, 386, 97, 94], "category_id": 2, "ignore": 0, "segmentation": [], "image_id": "BloodImage_00288", "id": 1941}, {"area": 10830, "iscrowd": 0, "bbox": [406, 327, 114, 95], "category_id": 2, "ignore": 0, "segmentation": [], "image_id": "BloodImage_00288", "id": 1942}, {"area": 9393, "iscrowd": 0, "bbox": [443, 228, 101, 93], "category_id": 2, "ignore": 0, "segmentation": [], "image_id": "BloodImage_00288", "id": 1943}, {"area": 10094, "iscrowd": 0, "bbox": [419, 125, 103, 98], "category_id": 2, "ignore": 0, "segmentation": [], "image_id": "BloodImage_00288", "id": 1944}, {"area": 8989, "iscrowd": 0, "bbox": [351, 201, 89, 101], "category_id": 2, "ignore": 0, "segmentation": [], "image_id": "BloodImage_00288", "id": 1945}, {"area": 10560, "iscrowd": 0, "bbox": [118, 103, 110, 96], "category_id": 2, "ignore": 0, "segmentation": [], "image_id": "BloodImage_00288", "id": 1946}, {"area": 13340, "iscrowd": 0, "bbox": [286, 73, 116, 115], "category_id": 2, "ignore": 0, "segmentation": [], "image_id": "BloodImage_00288", "id": 1947}, {"area": 12544, "iscrowd": 0, "bbox": [46, 11, 112, 112], "category_id": 2, "ignore": 0, "segmentation": [], "image_id": "BloodImage_00288", "id": 1948}, {"area": 13764, "iscrowd": 0, "bbox": [184, 0, 124, 111], "category_id": 2, "ignore": 0, "segmentation": [], "image_id": "BloodImage_00288", "id": 1949}, {"area": 10560, "iscrowd": 0, "bbox": [42, 178, 110, 96], "category_id": 2, "ignore": 0, "segmentation": [], "image_id": "BloodImage_00288", "id": 1950}, {"area": 10464, "iscrowd": 0, "bbox": [0, 217, 109, 96], "category_id": 2, "ignore": 0, "segmentation": [], "image_id": "BloodImage_00288", "id": 1951}, {"area": 11970, "iscrowd": 0, "bbox": [207, 165, 114, 105], "category_id": 2, "ignore": 0, "segmentation": [], "image_id": "BloodImage_00288", "id": 1952}, {"area": 13340, "iscrowd": 0, "bbox": [478, 20, 116, 115], "category_id": 2, "ignore": 0, "segmentation": [], "image_id": "BloodImage_00288", "id": 1953}, {"area": 11448, "iscrowd": 0, "bbox": [528, 146, 106, 108], "category_id": 2, "ignore": 0, "segmentation": [], "image_id": "BloodImage_00288", "id": 1954}, {"area": 11448, "iscrowd": 0, "bbox": [524, 372, 106, 108], "category_id": 2, "ignore": 0, "segmentation": [], "image_id": "BloodImage_00288", "id": 1955}, {"area": 9078, "iscrowd": 0, "bbox": [551, 250, 89, 102], "category_id": 2, "ignore": 0, "segmentation": [], "image_id": "BloodImage_00288", "id": 1956}, {"area": 8137, "iscrowd": 0, "bbox": [304, 0, 103, 79], "category_id": 2, "ignore": 0, "segmentation": [], "image_id": "BloodImage_00288", "id": 1957}, {"area": 46216, "iscrowd": 0, "bbox": [152, 262, 218, 212], "category_id": 1, "ignore": 0, "segmentation": [], "image_id": "BloodImage_00288", "id": 1958}, {"area": 9964, "iscrowd": 0, "bbox": [179, 280, 94, 106], "category_id": 2, "ignore": 0, "segmentation": [], "image_id": "BloodImage_00289", "id": 1959}, {"area": 9964, "iscrowd": 0, "bbox": [245, 342, 94, 106], "category_id": 2, "ignore": 0, "segmentation": [], "image_id": "BloodImage_00289", "id": 1960}, {"area": 12600, "iscrowd": 0, "bbox": [431, 256, 120, 105], "category_id": 2, "ignore": 0, "segmentation": [], "image_id": "BloodImage_00289", "id": 1961}, {"area": 12600, "iscrowd": 0, "bbox": [520, 202, 120, 105], "category_id": 2, "ignore": 0, "segmentation": [], "image_id": "BloodImage_00289", "id": 1962}, {"area": 11236, "iscrowd": 0, "bbox": [534, 100, 106, 106], "category_id": 2, "ignore": 0, "segmentation": [], "image_id": "BloodImage_00289", "id": 1963}, {"area": 13888, "iscrowd": 0, "bbox": [331, 278, 112, 124], "category_id": 2, "ignore": 0, "segmentation": [], "image_id": "BloodImage_00289", "id": 1964}, {"area": 12138, "iscrowd": 0, "bbox": [161, 0, 119, 102], "category_id": 2, "ignore": 0, "segmentation": [], "image_id": "BloodImage_00289", "id": 1965}, {"area": 12257, "iscrowd": 0, "bbox": [54, 65, 119, 103], "category_id": 2, "ignore": 0, "segmentation": [], "image_id": "BloodImage_00289", "id": 1966}, {"area": 12257, "iscrowd": 0, "bbox": [139, 162, 119, 103], "category_id": 2, "ignore": 0, "segmentation": [], "image_id": "BloodImage_00289", "id": 1967}, {"area": 12051, "iscrowd": 0, "bbox": [0, 269, 117, 103], "category_id": 2, "ignore": 0, "segmentation": [], "image_id": "BloodImage_00289", "id": 1968}, {"area": 54288, "iscrowd": 0, "bbox": [250, 54, 232, 234], "category_id": 1, "ignore": 0, "segmentation": [], "image_id": "BloodImage_00289", "id": 1969}, {"area": 9605, "iscrowd": 0, "bbox": [445, 142, 85, 113], "category_id": 2, "ignore": 0, "segmentation": [], "image_id": "BloodImage_00291", "id": 1970}, {"area": 9605, "iscrowd": 0, "bbox": [443, 286, 85, 113], "category_id": 2, "ignore": 0, "segmentation": [], "image_id": "BloodImage_00291", "id": 1971}, {"area": 9605, "iscrowd": 0, "bbox": [543, 79, 85, 113], "category_id": 2, "ignore": 0, "segmentation": [], "image_id": "BloodImage_00291", "id": 1972}, {"area": 11187, "iscrowd": 0, "bbox": [444, 0, 99, 113], "category_id": 2, "ignore": 0, "segmentation": [], "image_id": "BloodImage_00291", "id": 1973}, {"area": 10738, "iscrowd": 0, "bbox": [185, 38, 118, 91], "category_id": 2, "ignore": 0, "segmentation": [], "image_id": "BloodImage_00291", "id": 1974}, {"area": 10735, "iscrowd": 0, "bbox": [70, 368, 113, 95], "category_id": 2, "ignore": 0, "segmentation": [], "image_id": "BloodImage_00291", "id": 1975}, {"area": 11424, "iscrowd": 0, "bbox": [16, 114, 136, 84], "category_id": 2, "ignore": 0, "segmentation": [], "image_id": "BloodImage_00291", "id": 1976}, {"area": 11413, "iscrowd": 0, "bbox": [335, 101, 101, 113], "category_id": 2, "ignore": 0, "segmentation": [], "image_id": "BloodImage_00291", "id": 1977}, {"area": 10780, "iscrowd": 0, "bbox": [347, 179, 110, 98], "category_id": 2, "ignore": 0, "segmentation": [], "image_id": "BloodImage_00291", "id": 1978}, {"area": 57568, "iscrowd": 0, "bbox": [184, 212, 257, 224], "category_id": 1, "ignore": 0, "segmentation": [], "image_id": "BloodImage_00291", "id": 1979}, {"area": 10918, "iscrowd": 0, "bbox": [132, 225, 103, 106], "category_id": 2, "ignore": 0, "segmentation": [], "image_id": "BloodImage_00292", "id": 1980}, {"area": 10918, "iscrowd": 0, "bbox": [280, 239, 103, 106], "category_id": 2, "ignore": 0, "segmentation": [], "image_id": "BloodImage_00292", "id": 1981}, {"area": 10918, "iscrowd": 0, "bbox": [306, 344, 103, 106], "category_id": 2, "ignore": 0, "segmentation": [], "image_id": "BloodImage_00292", "id": 1982}, {"area": 9408, "iscrowd": 0, "bbox": [198, 311, 96, 98], "category_id": 2, "ignore": 0, "segmentation": [], "image_id": "BloodImage_00292", "id": 1983}, {"area": 9408, "iscrowd": 0, "bbox": [113, 365, 96, 98], "category_id": 2, "ignore": 0, "segmentation": [], "image_id": "BloodImage_00292", "id": 1984}, {"area": 9408, "iscrowd": 0, "bbox": [147, 130, 96, 98], "category_id": 2, "ignore": 0, "segmentation": [], "image_id": "BloodImage_00292", "id": 1985}, {"area": 10670, "iscrowd": 0, "bbox": [208, 45, 110, 97], "category_id": 2, "ignore": 0, "segmentation": [], "image_id": "BloodImage_00292", "id": 1986}, {"area": 10670, "iscrowd": 0, "bbox": [243, 145, 110, 97], "category_id": 2, "ignore": 0, "segmentation": [], "image_id": "BloodImage_00292", "id": 1987}, {"area": 12760, "iscrowd": 0, "bbox": [505, 105, 110, 116], "category_id": 2, "ignore": 0, "segmentation": [], "image_id": "BloodImage_00292", "id": 1988}, {"area": 12760, "iscrowd": 0, "bbox": [507, 353, 110, 116], "category_id": 2, "ignore": 0, "segmentation": [], "image_id": "BloodImage_00292", "id": 1989}, {"area": 15070, "iscrowd": 0, "bbox": [408, 283, 137, 110], "category_id": 2, "ignore": 0, "segmentation": [], "image_id": "BloodImage_00292", "id": 1990}, {"area": 12760, "iscrowd": 0, "bbox": [43, 77, 110, 116], "category_id": 2, "ignore": 0, "segmentation": [], "image_id": "BloodImage_00292", "id": 1991}, {"area": 12760, "iscrowd": 0, "bbox": [22, 180, 110, 116], "category_id": 2, "ignore": 0, "segmentation": [], "image_id": "BloodImage_00292", "id": 1992}, {"area": 29120, "iscrowd": 0, "bbox": [313, 0, 224, 130], "category_id": 1, "ignore": 0, "segmentation": [], "image_id": "BloodImage_00292", "id": 1993}, {"area": 11136, "iscrowd": 0, "bbox": [462, 72, 96, 116], "category_id": 2, "ignore": 0, "segmentation": [], "image_id": "BloodImage_00294", "id": 1994}, {"area": 11136, "iscrowd": 0, "bbox": [291, 74, 96, 116], "category_id": 2, "ignore": 0, "segmentation": [], "image_id": "BloodImage_00294", "id": 1995}, {"area": 13545, "iscrowd": 0, "bbox": [201, 10, 129, 105], "category_id": 2, "ignore": 0, "segmentation": [], "image_id": "BloodImage_00294", "id": 1996}, {"area": 9191, "iscrowd": 0, "bbox": [114, 17, 101, 91], "category_id": 2, "ignore": 0, "segmentation": [], "image_id": "BloodImage_00294", "id": 1997}, {"area": 9191, "iscrowd": 0, "bbox": [70, 100, 101, 91], "category_id": 2, "ignore": 0, "segmentation": [], "image_id": "BloodImage_00294", "id": 1998}, {"area": 9191, "iscrowd": 0, "bbox": [161, 108, 101, 91], "category_id": 2, "ignore": 0, "segmentation": [], "image_id": "BloodImage_00294", "id": 1999}, {"area": 10920, "iscrowd": 0, "bbox": [105, 188, 104, 105], "category_id": 2, "ignore": 0, "segmentation": [], "image_id": "BloodImage_00294", "id": 2000}, {"area": 10920, "iscrowd": 0, "bbox": [158, 347, 104, 105], "category_id": 2, "ignore": 0, "segmentation": [], "image_id": "BloodImage_00294", "id": 2001}, {"area": 10920, "iscrowd": 0, "bbox": [204, 194, 104, 105], "category_id": 2, "ignore": 0, "segmentation": [], "image_id": "BloodImage_00294", "id": 2002}, {"area": 15617, "iscrowd": 0, "bbox": [382, 375, 161, 97], "category_id": 2, "ignore": 0, "segmentation": [], "image_id": "BloodImage_00294", "id": 2003}, {"area": 41472, "iscrowd": 0, "bbox": [333, 168, 192, 216], "category_id": 1, "ignore": 0, "segmentation": [], "image_id": "BloodImage_00294", "id": 2004}, {"area": 9450, "iscrowd": 0, "bbox": [19, 191, 90, 105], "category_id": 2, "ignore": 0, "segmentation": [], "image_id": "BloodImage_00295", "id": 2005}, {"area": 10450, "iscrowd": 0, "bbox": [313, 276, 110, 95], "category_id": 2, "ignore": 0, "segmentation": [], "image_id": "BloodImage_00295", "id": 2006}, {"area": 10716, "iscrowd": 0, "bbox": [476, 195, 114, 94], "category_id": 2, "ignore": 0, "segmentation": [], "image_id": "BloodImage_00295", "id": 2007}, {"area": 12084, "iscrowd": 0, "bbox": [487, 302, 114, 106], "category_id": 2, "ignore": 0, "segmentation": [], "image_id": "BloodImage_00295", "id": 2008}, {"area": 12084, "iscrowd": 0, "bbox": [376, 81, 114, 106], "category_id": 2, "ignore": 0, "segmentation": [], "image_id": "BloodImage_00295", "id": 2009}, {"area": 8928, "iscrowd": 0, "bbox": [111, 55, 96, 93], "category_id": 2, "ignore": 0, "segmentation": [], "image_id": "BloodImage_00295", "id": 2010}, {"area": 8928, "iscrowd": 0, "bbox": [163, 387, 96, 93], "category_id": 2, "ignore": 0, "segmentation": [], "image_id": "BloodImage_00295", "id": 2011}, {"area": 8928, "iscrowd": 0, "bbox": [396, 365, 96, 93], "category_id": 2, "ignore": 0, "segmentation": [], "image_id": "BloodImage_00295", "id": 2012}, {"area": 8928, "iscrowd": 0, "bbox": [232, 14, 96, 93], "category_id": 2, "ignore": 0, "segmentation": [], "image_id": "BloodImage_00295", "id": 2013}, {"area": 10450, "iscrowd": 0, "bbox": [318, 248, 110, 95], "category_id": 2, "ignore": 0, "segmentation": [], "image_id": "BloodImage_00295", "id": 2014}, {"area": 9450, "iscrowd": 0, "bbox": [40, 203, 90, 105], "category_id": 2, "ignore": 0, "segmentation": [], "image_id": "BloodImage_00295", "id": 2015}, {"area": 54315, "iscrowd": 0, "bbox": [117, 140, 255, 213], "category_id": 1, "ignore": 0, "segmentation": [], "image_id": "BloodImage_00295", "id": 2016}, {"area": 2116, "iscrowd": 0, "bbox": [120, 358, 46, 46], "category_id": 3, "ignore": 0, "segmentation": [], "image_id": "BloodImage_00295", "id": 2017}, {"area": 9856, "iscrowd": 0, "bbox": [399, 262, 112, 88], "category_id": 2, "ignore": 0, "segmentation": [], "image_id": "BloodImage_00297", "id": 2018}, {"area": 9856, "iscrowd": 0, "bbox": [392, 345, 112, 88], "category_id": 2, "ignore": 0, "segmentation": [], "image_id": "BloodImage_00297", "id": 2019}, {"area": 11881, "iscrowd": 0, "bbox": [331, 44, 109, 109], "category_id": 2, "ignore": 0, "segmentation": [], "image_id": "BloodImage_00297", "id": 2020}, {"area": 11881, "iscrowd": 0, "bbox": [147, 16, 109, 109], "category_id": 2, "ignore": 0, "segmentation": [], "image_id": "BloodImage_00297", "id": 2021}, {"area": 8370, "iscrowd": 0, "bbox": [53, 360, 93, 90], "category_id": 2, "ignore": 0, "segmentation": [], "image_id": "BloodImage_00297", "id": 2022}, {"area": 9095, "iscrowd": 0, "bbox": [42, 204, 85, 107], "category_id": 2, "ignore": 0, "segmentation": [], "image_id": "BloodImage_00297", "id": 2023}, {"area": 12996, "iscrowd": 0, "bbox": [324, 152, 114, 114], "category_id": 2, "ignore": 0, "segmentation": [], "image_id": "BloodImage_00297", "id": 2024}, {"area": 12996, "iscrowd": 0, "bbox": [467, 155, 114, 114], "category_id": 2, "ignore": 0, "segmentation": [], "image_id": "BloodImage_00297", "id": 2025}, {"area": 8370, "iscrowd": 0, "bbox": [103, 288, 93, 90], "category_id": 2, "ignore": 0, "segmentation": [], "image_id": "BloodImage_00297", "id": 2026}, {"area": 48616, "iscrowd": 0, "bbox": [171, 274, 236, 206], "category_id": 1, "ignore": 0, "segmentation": [], "image_id": "BloodImage_00297", "id": 2027}, {"area": 4130, "iscrowd": 0, "bbox": [197, 234, 70, 59], "category_id": 3, "ignore": 0, "segmentation": [], "image_id": "BloodImage_00297", "id": 2028}, {"area": 1548, "iscrowd": 0, "bbox": [314, 0, 43, 36], "category_id": 3, "ignore": 0, "segmentation": [], "image_id": "BloodImage_00297", "id": 2029}, {"area": 11772, "iscrowd": 0, "bbox": [479, 300, 108, 109], "category_id": 2, "ignore": 0, "segmentation": [], "image_id": "BloodImage_00299", "id": 2030}, {"area": 11772, "iscrowd": 0, "bbox": [203, 81, 108, 109], "category_id": 2, "ignore": 0, "segmentation": [], "image_id": "BloodImage_00299", "id": 2031}, {"area": 11772, "iscrowd": 0, "bbox": [32, 78, 108, 109], "category_id": 2, "ignore": 0, "segmentation": [], "image_id": "BloodImage_00299", "id": 2032}, {"area": 17424, "iscrowd": 0, "bbox": [101, 8, 132, 132], "category_id": 2, "ignore": 0, "segmentation": [], "image_id": "BloodImage_00299", "id": 2033}, {"area": 10961, "iscrowd": 0, "bbox": [401, 211, 113, 97], "category_id": 2, "ignore": 0, "segmentation": [], "image_id": "BloodImage_00299", "id": 2034}, {"area": 9737, "iscrowd": 0, "bbox": [8, 358, 107, 91], "category_id": 2, "ignore": 0, "segmentation": [], "image_id": "BloodImage_00299", "id": 2035}, {"area": 11424, "iscrowd": 0, "bbox": [0, 298, 102, 112], "category_id": 2, "ignore": 0, "segmentation": [], "image_id": "BloodImage_00299", "id": 2036}, {"area": 9064, "iscrowd": 0, "bbox": [423, 34, 103, 88], "category_id": 2, "ignore": 0, "segmentation": [], "image_id": "BloodImage_00299", "id": 2037}, {"area": 51260, "iscrowd": 0, "bbox": [175, 259, 233, 220], "category_id": 1, "ignore": 0, "segmentation": [], "image_id": "BloodImage_00299", "id": 2038}, {"area": 11988, "iscrowd": 0, "bbox": [378, 135, 108, 111], "category_id": 2, "ignore": 0, "segmentation": [], "image_id": "BloodImage_00300", "id": 2039}, {"area": 11988, "iscrowd": 0, "bbox": [473, 167, 108, 111], "category_id": 2, "ignore": 0, "segmentation": [], "image_id": "BloodImage_00300", "id": 2040}, {"area": 11988, "iscrowd": 0, "bbox": [387, 299, 108, 111], "category_id": 2, "ignore": 0, "segmentation": [], "image_id": "BloodImage_00300", "id": 2041}, {"area": 11988, "iscrowd": 0, "bbox": [265, 330, 108, 111], "category_id": 2, "ignore": 0, "segmentation": [], "image_id": "BloodImage_00300", "id": 2042}, {"area": 11988, "iscrowd": 0, "bbox": [200, 360, 108, 111], "category_id": 2, "ignore": 0, "segmentation": [], "image_id": "BloodImage_00300", "id": 2043}, {"area": 13284, "iscrowd": 0, "bbox": [18, 296, 123, 108], "category_id": 2, "ignore": 0, "segmentation": [], "image_id": "BloodImage_00300", "id": 2044}, {"area": 14248, "iscrowd": 0, "bbox": [358, 20, 137, 104], "category_id": 2, "ignore": 0, "segmentation": [], "image_id": "BloodImage_00300", "id": 2045}, {"area": 9384, "iscrowd": 0, "bbox": [0, 57, 92, 102], "category_id": 2, "ignore": 0, "segmentation": [], "image_id": "BloodImage_00300", "id": 2046}, {"area": 14248, "iscrowd": 0, "bbox": [218, 32, 137, 104], "category_id": 2, "ignore": 0, "segmentation": [], "image_id": "BloodImage_00300", "id": 2047}, {"area": 11988, "iscrowd": 0, "bbox": [132, 280, 108, 111], "category_id": 2, "ignore": 0, "segmentation": [], "image_id": "BloodImage_00300", "id": 2048}, {"area": 11988, "iscrowd": 0, "bbox": [504, 327, 108, 111], "category_id": 2, "ignore": 0, "segmentation": [], "image_id": "BloodImage_00300", "id": 2049}, {"area": 11340, "iscrowd": 0, "bbox": [486, 0, 108, 105], "category_id": 2, "ignore": 0, "segmentation": [], "image_id": "BloodImage_00300", "id": 2050}, {"area": 9600, "iscrowd": 0, "bbox": [10, 405, 128, 75], "category_id": 2, "ignore": 0, "segmentation": [], "image_id": "BloodImage_00300", "id": 2051}, {"area": 33856, "iscrowd": 0, "bbox": [173, 129, 184, 184], "category_id": 1, "ignore": 0, "segmentation": [], "image_id": "BloodImage_00300", "id": 2052}, {"area": 8544, "iscrowd": 0, "bbox": [277, 195, 89, 96], "category_id": 2, "ignore": 0, "segmentation": [], "image_id": "BloodImage_00301", "id": 2053}, {"area": 8544, "iscrowd": 0, "bbox": [358, 238, 89, 96], "category_id": 2, "ignore": 0, "segmentation": [], "image_id": "BloodImage_00301", "id": 2054}, {"area": 8544, "iscrowd": 0, "bbox": [522, 109, 89, 96], "category_id": 2, "ignore": 0, "segmentation": [], "image_id": "BloodImage_00301", "id": 2055}, {"area": 13664, "iscrowd": 0, "bbox": [446, 197, 122, 112], "category_id": 2, "ignore": 0, "segmentation": [], "image_id": "BloodImage_00301", "id": 2056}, {"area": 13664, "iscrowd": 0, "bbox": [182, 94, 122, 112], "category_id": 2, "ignore": 0, "segmentation": [], "image_id": "BloodImage_00301", "id": 2057}, {"area": 11235, "iscrowd": 0, "bbox": [163, 200, 105, 107], "category_id": 2, "ignore": 0, "segmentation": [], "image_id": "BloodImage_00301", "id": 2058}, {"area": 11025, "iscrowd": 0, "bbox": [190, 0, 105, 105], "category_id": 2, "ignore": 0, "segmentation": [], "image_id": "BloodImage_00301", "id": 2059}, {"area": 11235, "iscrowd": 0, "bbox": [89, 170, 105, 107], "category_id": 2, "ignore": 0, "segmentation": [], "image_id": "BloodImage_00301", "id": 2060}, {"area": 11235, "iscrowd": 0, "bbox": [495, 303, 105, 107], "category_id": 2, "ignore": 0, "segmentation": [], "image_id": "BloodImage_00301", "id": 2061}, {"area": 11235, "iscrowd": 0, "bbox": [270, 337, 105, 107], "category_id": 2, "ignore": 0, "segmentation": [], "image_id": "BloodImage_00301", "id": 2062}, {"area": 11235, "iscrowd": 0, "bbox": [156, 369, 105, 107], "category_id": 2, "ignore": 0, "segmentation": [], "image_id": "BloodImage_00301", "id": 2063}, {"area": 11128, "iscrowd": 0, "bbox": [0, 310, 104, 107], "category_id": 2, "ignore": 0, "segmentation": [], "image_id": "BloodImage_00301", "id": 2064}, {"area": 11235, "iscrowd": 0, "bbox": [103, 284, 105, 107], "category_id": 2, "ignore": 0, "segmentation": [], "image_id": "BloodImage_00301", "id": 2065}, {"area": 43834, "iscrowd": 0, "bbox": [304, 12, 217, 202], "category_id": 1, "ignore": 0, "segmentation": [], "image_id": "BloodImage_00301", "id": 2066}, {"area": 1482, "iscrowd": 0, "bbox": [591, 276, 39, 38], "category_id": 3, "ignore": 0, "segmentation": [], "image_id": "BloodImage_00301", "id": 2067}, {"area": 9639, "iscrowd": 0, "bbox": [98, 390, 119, 81], "category_id": 2, "ignore": 0, "segmentation": [], "image_id": "BloodImage_00302", "id": 2068}, {"area": 15048, "iscrowd": 0, "bbox": [120, 274, 132, 114], "category_id": 2, "ignore": 0, "segmentation": [], "image_id": "BloodImage_00302", "id": 2069}, {"area": 15458, "iscrowd": 0, "bbox": [105, 18, 131, 118], "category_id": 2, "ignore": 0, "segmentation": [], "image_id": "BloodImage_00302", "id": 2070}, {"area": 14384, "iscrowd": 0, "bbox": [212, 62, 124, 116], "category_id": 2, "ignore": 0, "segmentation": [], "image_id": "BloodImage_00302", "id": 2071}, {"area": 13221, "iscrowd": 0, "bbox": [510, 293, 113, 117], "category_id": 2, "ignore": 0, "segmentation": [], "image_id": "BloodImage_00302", "id": 2072}, {"area": 10058, "iscrowd": 0, "bbox": [460, 319, 107, 94], "category_id": 2, "ignore": 0, "segmentation": [], "image_id": "BloodImage_00302", "id": 2073}, {"area": 8740, "iscrowd": 0, "bbox": [399, 338, 92, 95], "category_id": 2, "ignore": 0, "segmentation": [], "image_id": "BloodImage_00302", "id": 2074}, {"area": 7161, "iscrowd": 0, "bbox": [342, 340, 77, 93], "category_id": 2, "ignore": 0, "segmentation": [], "image_id": "BloodImage_00302", "id": 2075}, {"area": 8100, "iscrowd": 0, "bbox": [294, 343, 81, 100], "category_id": 2, "ignore": 0, "segmentation": [], "image_id": "BloodImage_00302", "id": 2076}, {"area": 10925, "iscrowd": 0, "bbox": [289, 240, 115, 95], "category_id": 2, "ignore": 0, "segmentation": [], "image_id": "BloodImage_00302", "id": 2077}, {"area": 10925, "iscrowd": 0, "bbox": [428, 186, 115, 95], "category_id": 2, "ignore": 0, "segmentation": [], "image_id": "BloodImage_00302", "id": 2078}, {"area": 16512, "iscrowd": 0, "bbox": [119, 142, 129, 128], "category_id": 2, "ignore": 0, "segmentation": [], "image_id": "BloodImage_00302", "id": 2079}, {"area": 12960, "iscrowd": 0, "bbox": [0, 290, 81, 160], "category_id": 1, "ignore": 0, "segmentation": [], "image_id": "BloodImage_00302", "id": 2080}, {"area": 11877, "iscrowd": 0, "bbox": [313, 315, 111, 107], "category_id": 2, "ignore": 0, "segmentation": [], "image_id": "BloodImage_00305", "id": 2081}, {"area": 14336, "iscrowd": 0, "bbox": [424, 291, 128, 112], "category_id": 2, "ignore": 0, "segmentation": [], "image_id": "BloodImage_00305", "id": 2082}, {"area": 10773, "iscrowd": 0, "bbox": [406, 399, 133, 81], "category_id": 2, "ignore": 0, "segmentation": [], "image_id": "BloodImage_00305", "id": 2083}, {"area": 14300, "iscrowd": 0, "bbox": [288, 173, 130, 110], "category_id": 2, "ignore": 0, "segmentation": [], "image_id": "BloodImage_00305", "id": 2084}, {"area": 14300, "iscrowd": 0, "bbox": [138, 59, 130, 110], "category_id": 2, "ignore": 0, "segmentation": [], "image_id": "BloodImage_00305", "id": 2085}, {"area": 9999, "iscrowd": 0, "bbox": [264, 48, 99, 101], "category_id": 2, "ignore": 0, "segmentation": [], "image_id": "BloodImage_00305", "id": 2086}, {"area": 9486, "iscrowd": 0, "bbox": [340, 87, 102, 93], "category_id": 2, "ignore": 0, "segmentation": [], "image_id": "BloodImage_00305", "id": 2087}, {"area": 10192, "iscrowd": 0, "bbox": [542, 0, 98, 104], "category_id": 2, "ignore": 0, "segmentation": [], "image_id": "BloodImage_00305", "id": 2088}, {"area": 10290, "iscrowd": 0, "bbox": [542, 117, 98, 105], "category_id": 2, "ignore": 0, "segmentation": [], "image_id": "BloodImage_00305", "id": 2089}, {"area": 13328, "iscrowd": 0, "bbox": [452, 178, 112, 119], "category_id": 2, "ignore": 0, "segmentation": [], "image_id": "BloodImage_00305", "id": 2090}, {"area": 10640, "iscrowd": 0, "bbox": [166, 385, 112, 95], "category_id": 2, "ignore": 0, "segmentation": [], "image_id": "BloodImage_00305", "id": 2091}, {"area": 12656, "iscrowd": 0, "bbox": [91, 308, 113, 112], "category_id": 2, "ignore": 0, "segmentation": [], "image_id": "BloodImage_00305", "id": 2092}, {"area": 12656, "iscrowd": 0, "bbox": [85, 201, 113, 112], "category_id": 2, "ignore": 0, "segmentation": [], "image_id": "BloodImage_00305", "id": 2093}, {"area": 15240, "iscrowd": 0, "bbox": [189, 243, 120, 127], "category_id": 1, "ignore": 0, "segmentation": [], "image_id": "BloodImage_00305", "id": 2094}, {"area": 1118, "iscrowd": 0, "bbox": [0, 27, 26, 43], "category_id": 3, "ignore": 0, "segmentation": [], "image_id": "BloodImage_00305", "id": 2095}, {"area": 11172, "iscrowd": 0, "bbox": [80, 17, 114, 98], "category_id": 2, "ignore": 0, "segmentation": [], "image_id": "BloodImage_00307", "id": 2096}, {"area": 9486, "iscrowd": 0, "bbox": [42, 258, 102, 93], "category_id": 2, "ignore": 0, "segmentation": [], "image_id": "BloodImage_00307", "id": 2097}, {"area": 9486, "iscrowd": 0, "bbox": [346, 354, 102, 93], "category_id": 2, "ignore": 0, "segmentation": [], "image_id": "BloodImage_00307", "id": 2098}, {"area": 9486, "iscrowd": 0, "bbox": [96, 361, 102, 93], "category_id": 2, "ignore": 0, "segmentation": [], "image_id": "BloodImage_00307", "id": 2099}, {"area": 11433, "iscrowd": 0, "bbox": [194, 166, 103, 111], "category_id": 2, "ignore": 0, "segmentation": [], "image_id": "BloodImage_00307", "id": 2100}, {"area": 11433, "iscrowd": 0, "bbox": [398, 231, 103, 111], "category_id": 2, "ignore": 0, "segmentation": [], "image_id": "BloodImage_00307", "id": 2101}, {"area": 11433, "iscrowd": 0, "bbox": [535, 273, 103, 111], "category_id": 2, "ignore": 0, "segmentation": [], "image_id": "BloodImage_00307", "id": 2102}, {"area": 9020, "iscrowd": 0, "bbox": [558, 135, 82, 110], "category_id": 2, "ignore": 0, "segmentation": [], "image_id": "BloodImage_00307", "id": 2103}, {"area": 9328, "iscrowd": 0, "bbox": [65, 135, 88, 106], "category_id": 2, "ignore": 0, "segmentation": [], "image_id": "BloodImage_00307", "id": 2104}, {"area": 11433, "iscrowd": 0, "bbox": [265, 180, 103, 111], "category_id": 2, "ignore": 0, "segmentation": [], "image_id": "BloodImage_00307", "id": 2105}, {"area": 11433, "iscrowd": 0, "bbox": [253, 267, 103, 111], "category_id": 2, "ignore": 0, "segmentation": [], "image_id": "BloodImage_00307", "id": 2106}, {"area": 10400, "iscrowd": 0, "bbox": [224, 357, 104, 100], "category_id": 2, "ignore": 0, "segmentation": [], "image_id": "BloodImage_00307", "id": 2107}, {"area": 47025, "iscrowd": 0, "bbox": [284, 29, 225, 209], "category_id": 1, "ignore": 0, "segmentation": [], "image_id": "BloodImage_00307", "id": 2108}, {"area": 1410, "iscrowd": 0, "bbox": [476, 410, 47, 30], "category_id": 3, "ignore": 0, "segmentation": [], "image_id": "BloodImage_00307", "id": 2109}, {"area": 12792, "iscrowd": 0, "bbox": [183, 104, 104, 123], "category_id": 2, "ignore": 0, "segmentation": [], "image_id": "BloodImage_00308", "id": 2110}, {"area": 13440, "iscrowd": 0, "bbox": [74, 84, 112, 120], "category_id": 2, "ignore": 0, "segmentation": [], "image_id": "BloodImage_00308", "id": 2111}, {"area": 16263, "iscrowd": 0, "bbox": [290, 194, 117, 139], "category_id": 2, "ignore": 0, "segmentation": [], "image_id": "BloodImage_00308", "id": 2112}, {"area": 11550, "iscrowd": 0, "bbox": [499, 312, 110, 105], "category_id": 2, "ignore": 0, "segmentation": [], "image_id": "BloodImage_00308", "id": 2113}, {"area": 9996, "iscrowd": 0, "bbox": [268, 53, 98, 102], "category_id": 2, "ignore": 0, "segmentation": [], "image_id": "BloodImage_00308", "id": 2114}, {"area": 6840, "iscrowd": 0, "bbox": [127, 0, 95, 72], "category_id": 2, "ignore": 0, "segmentation": [], "image_id": "BloodImage_00308", "id": 2115}, {"area": 9996, "iscrowd": 0, "bbox": [478, 171, 98, 102], "category_id": 2, "ignore": 0, "segmentation": [], "image_id": "BloodImage_00308", "id": 2116}, {"area": 13804, "iscrowd": 0, "bbox": [507, 27, 119, 116], "category_id": 2, "ignore": 0, "segmentation": [], "image_id": "BloodImage_00308", "id": 2117}, {"area": 9900, "iscrowd": 0, "bbox": [0, 169, 90, 110], "category_id": 2, "ignore": 0, "segmentation": [], "image_id": "BloodImage_00308", "id": 2118}, {"area": 8352, "iscrowd": 0, "bbox": [414, 321, 87, 96], "category_id": 2, "ignore": 0, "segmentation": [], "image_id": "BloodImage_00308", "id": 2119}, {"area": 9996, "iscrowd": 0, "bbox": [386, 95, 98, 102], "category_id": 2, "ignore": 0, "segmentation": [], "image_id": "BloodImage_00308", "id": 2120}, {"area": 33264, "iscrowd": 0, "bbox": [142, 312, 198, 168], "category_id": 1, "ignore": 0, "segmentation": [], "image_id": "BloodImage_00308", "id": 2121}, {"area": 11615, "iscrowd": 0, "bbox": [215, 278, 115, 101], "category_id": 2, "ignore": 0, "segmentation": [], "image_id": "BloodImage_00309", "id": 2122}, {"area": 14934, "iscrowd": 0, "bbox": [116, 344, 114, 131], "category_id": 2, "ignore": 0, "segmentation": [], "image_id": "BloodImage_00309", "id": 2123}, {"area": 11615, "iscrowd": 0, "bbox": [451, 313, 115, 101], "category_id": 2, "ignore": 0, "segmentation": [], "image_id": "BloodImage_00309", "id": 2124}, {"area": 11615, "iscrowd": 0, "bbox": [384, 316, 115, 101], "category_id": 2, "ignore": 0, "segmentation": [], "image_id": "BloodImage_00309", "id": 2125}, {"area": 10816, "iscrowd": 0, "bbox": [504, 221, 104, 104], "category_id": 2, "ignore": 0, "segmentation": [], "image_id": "BloodImage_00309", "id": 2126}, {"area": 9393, "iscrowd": 0, "bbox": [487, 178, 101, 93], "category_id": 2, "ignore": 0, "segmentation": [], "image_id": "BloodImage_00309", "id": 2127}, {"area": 9393, "iscrowd": 0, "bbox": [476, 56, 101, 93], "category_id": 2, "ignore": 0, "segmentation": [], "image_id": "BloodImage_00309", "id": 2128}, {"area": 9393, "iscrowd": 0, "bbox": [425, 69, 101, 93], "category_id": 2, "ignore": 0, "segmentation": [], "image_id": "BloodImage_00309", "id": 2129}, {"area": 11128, "iscrowd": 0, "bbox": [375, 168, 107, 104], "category_id": 2, "ignore": 0, "segmentation": [], "image_id": "BloodImage_00309", "id": 2130}, {"area": 9600, "iscrowd": 0, "bbox": [0, 178, 96, 100], "category_id": 2, "ignore": 0, "segmentation": [], "image_id": "BloodImage_00309", "id": 2131}, {"area": 9408, "iscrowd": 0, "bbox": [0, 0, 96, 98], "category_id": 2, "ignore": 0, "segmentation": [], "image_id": "BloodImage_00309", "id": 2132}, {"area": 9700, "iscrowd": 0, "bbox": [285, 196, 97, 100], "category_id": 2, "ignore": 0, "segmentation": [], "image_id": "BloodImage_00309", "id": 2133}, {"area": 46844, "iscrowd": 0, "bbox": [122, 0, 239, 196], "category_id": 1, "ignore": 0, "segmentation": [], "image_id": "BloodImage_00309", "id": 2134}, {"area": 10165, "iscrowd": 0, "bbox": [426, 86, 107, 95], "category_id": 2, "ignore": 0, "segmentation": [], "image_id": "BloodImage_00311", "id": 2135}, {"area": 11016, "iscrowd": 0, "bbox": [398, 168, 108, 102], "category_id": 2, "ignore": 0, "segmentation": [], "image_id": "BloodImage_00311", "id": 2136}, {"area": 8580, "iscrowd": 0, "bbox": [428, 0, 110, 78], "category_id": 2, "ignore": 0, "segmentation": [], "image_id": "BloodImage_00311", "id": 2137}, {"area": 11342, "iscrowd": 0, "bbox": [38, 94, 106, 107], "category_id": 2, "ignore": 0, "segmentation": [], "image_id": "BloodImage_00311", "id": 2138}, {"area": 12852, "iscrowd": 0, "bbox": [282, 327, 119, 108], "category_id": 2, "ignore": 0, "segmentation": [], "image_id": "BloodImage_00311", "id": 2139}, {"area": 12852, "iscrowd": 0, "bbox": [417, 259, 119, 108], "category_id": 2, "ignore": 0, "segmentation": [], "image_id": "BloodImage_00311", "id": 2140}, {"area": 6264, "iscrowd": 0, "bbox": [0, 167, 72, 87], "category_id": 2, "ignore": 0, "segmentation": [], "image_id": "BloodImage_00311", "id": 2141}, {"area": 11875, "iscrowd": 0, "bbox": [21, 282, 125, 95], "category_id": 2, "ignore": 0, "segmentation": [], "image_id": "BloodImage_00311", "id": 2142}, {"area": 38400, "iscrowd": 0, "bbox": [193, 149, 192, 200], "category_id": 1, "ignore": 0, "segmentation": [], "image_id": "BloodImage_00311", "id": 2143}, {"area": 2622, "iscrowd": 0, "bbox": [499, 188, 57, 46], "category_id": 3, "ignore": 0, "segmentation": [], "image_id": "BloodImage_00311", "id": 2144}, {"area": 11772, "iscrowd": 0, "bbox": [23, 93, 108, 109], "category_id": 2, "ignore": 0, "segmentation": [], "image_id": "BloodImage_00313", "id": 2145}, {"area": 13392, "iscrowd": 0, "bbox": [401, 250, 124, 108], "category_id": 2, "ignore": 0, "segmentation": [], "image_id": "BloodImage_00313", "id": 2146}, {"area": 13392, "iscrowd": 0, "bbox": [410, 372, 124, 108], "category_id": 2, "ignore": 0, "segmentation": [], "image_id": "BloodImage_00313", "id": 2147}, {"area": 10600, "iscrowd": 0, "bbox": [537, 0, 100, 106], "category_id": 2, "ignore": 0, "segmentation": [], "image_id": "BloodImage_00313", "id": 2148}, {"area": 8928, "iscrowd": 0, "bbox": [341, 153, 93, 96], "category_id": 2, "ignore": 0, "segmentation": [], "image_id": "BloodImage_00313", "id": 2149}, {"area": 10800, "iscrowd": 0, "bbox": [451, 72, 108, 100], "category_id": 2, "ignore": 0, "segmentation": [], "image_id": "BloodImage_00313", "id": 2150}, {"area": 10800, "iscrowd": 0, "bbox": [98, 227, 108, 100], "category_id": 2, "ignore": 0, "segmentation": [], "image_id": "BloodImage_00313", "id": 2151}, {"area": 12826, "iscrowd": 0, "bbox": [35, 238, 121, 106], "category_id": 2, "ignore": 0, "segmentation": [], "image_id": "BloodImage_00313", "id": 2152}, {"area": 11130, "iscrowd": 0, "bbox": [155, 62, 105, 106], "category_id": 2, "ignore": 0, "segmentation": [], "image_id": "BloodImage_00313", "id": 2153}, {"area": 7654, "iscrowd": 0, "bbox": [387, 164, 89, 86], "category_id": 2, "ignore": 0, "segmentation": [], "image_id": "BloodImage_00313", "id": 2154}, {"area": 18252, "iscrowd": 0, "bbox": [100, 372, 169, 108], "category_id": 1, "ignore": 0, "segmentation": [], "image_id": "BloodImage_00313", "id": 2155}, {"area": 54675, "iscrowd": 0, "bbox": [179, 214, 225, 243], "category_id": 1, "ignore": 0, "segmentation": [], "image_id": "BloodImage_00313", "id": 2156}, {"area": 9898, "iscrowd": 0, "bbox": [444, 40, 101, 98], "category_id": 2, "ignore": 0, "segmentation": [], "image_id": "BloodImage_00314", "id": 2157}, {"area": 9898, "iscrowd": 0, "bbox": [470, 209, 101, 98], "category_id": 2, "ignore": 0, "segmentation": [], "image_id": "BloodImage_00314", "id": 2158}, {"area": 9700, "iscrowd": 0, "bbox": [0, 0, 100, 97], "category_id": 2, "ignore": 0, "segmentation": [], "image_id": "BloodImage_00314", "id": 2159}, {"area": 9898, "iscrowd": 0, "bbox": [2, 129, 101, 98], "category_id": 2, "ignore": 0, "segmentation": [], "image_id": "BloodImage_00314", "id": 2160}, {"area": 9898, "iscrowd": 0, "bbox": [62, 266, 101, 98], "category_id": 2, "ignore": 0, "segmentation": [], "image_id": "BloodImage_00314", "id": 2161}, {"area": 11500, "iscrowd": 0, "bbox": [339, 323, 115, 100], "category_id": 2, "ignore": 0, "segmentation": [], "image_id": "BloodImage_00314", "id": 2162}, {"area": 14448, "iscrowd": 0, "bbox": [525, 211, 112, 129], "category_id": 2, "ignore": 0, "segmentation": [], "image_id": "BloodImage_00314", "id": 2163}, {"area": 8925, "iscrowd": 0, "bbox": [255, 256, 105, 85], "category_id": 2, "ignore": 0, "segmentation": [], "image_id": "BloodImage_00314", "id": 2164}, {"area": 9282, "iscrowd": 0, "bbox": [335, 126, 102, 91], "category_id": 2, "ignore": 0, "segmentation": [], "image_id": "BloodImage_00314", "id": 2165}, {"area": 9384, "iscrowd": 0, "bbox": [352, 388, 102, 92], "category_id": 2, "ignore": 0, "segmentation": [], "image_id": "BloodImage_00314", "id": 2166}, {"area": 1980, "iscrowd": 0, "bbox": [186, 426, 45, 44], "category_id": 3, "ignore": 0, "segmentation": [], "image_id": "BloodImage_00314", "id": 2167}, {"area": 1152, "iscrowd": 0, "bbox": [546, 385, 36, 32], "category_id": 3, "ignore": 0, "segmentation": [], "image_id": "BloodImage_00314", "id": 2168}, {"area": 1560, "iscrowd": 0, "bbox": [76, 229, 40, 39], "category_id": 3, "ignore": 0, "segmentation": [], "image_id": "BloodImage_00314", "id": 2169}, {"area": 1702, "iscrowd": 0, "bbox": [97, 48, 46, 37], "category_id": 3, "ignore": 0, "segmentation": [], "image_id": "BloodImage_00314", "id": 2170}, {"area": 1014, "iscrowd": 0, "bbox": [258, 0, 39, 26], "category_id": 3, "ignore": 0, "segmentation": [], "image_id": "BloodImage_00314", "id": 2171}, {"area": 52836, "iscrowd": 0, "bbox": [91, 44, 238, 222], "category_id": 1, "ignore": 0, "segmentation": [], "image_id": "BloodImage_00314", "id": 2172}, {"area": 11770, "iscrowd": 0, "bbox": [524, 355, 110, 107], "category_id": 2, "ignore": 0, "segmentation": [], "image_id": "BloodImage_00317", "id": 2173}, {"area": 11770, "iscrowd": 0, "bbox": [431, 338, 110, 107], "category_id": 2, "ignore": 0, "segmentation": [], "image_id": "BloodImage_00317", "id": 2174}, {"area": 9870, "iscrowd": 0, "bbox": [130, 360, 94, 105], "category_id": 2, "ignore": 0, "segmentation": [], "image_id": "BloodImage_00317", "id": 2175}, {"area": 14640, "iscrowd": 0, "bbox": [308, 279, 120, 122], "category_id": 2, "ignore": 0, "segmentation": [], "image_id": "BloodImage_00317", "id": 2176}, {"area": 14640, "iscrowd": 0, "bbox": [358, 195, 120, 122], "category_id": 2, "ignore": 0, "segmentation": [], "image_id": "BloodImage_00317", "id": 2177}, {"area": 12656, "iscrowd": 0, "bbox": [389, 0, 112, 113], "category_id": 2, "ignore": 0, "segmentation": [], "image_id": "BloodImage_00317", "id": 2178}, {"area": 9800, "iscrowd": 0, "bbox": [472, 199, 100, 98], "category_id": 2, "ignore": 0, "segmentation": [], "image_id": "BloodImage_00317", "id": 2179}, {"area": 12096, "iscrowd": 0, "bbox": [46, 92, 108, 112], "category_id": 2, "ignore": 0, "segmentation": [], "image_id": "BloodImage_00317", "id": 2180}, {"area": 12423, "iscrowd": 0, "bbox": [56, 289, 123, 101], "category_id": 2, "ignore": 0, "segmentation": [], "image_id": "BloodImage_00317", "id": 2181}, {"area": 10176, "iscrowd": 0, "bbox": [205, 278, 106, 96], "category_id": 2, "ignore": 0, "segmentation": [], "image_id": "BloodImage_00317", "id": 2182}, {"area": 10176, "iscrowd": 0, "bbox": [215, 384, 106, 96], "category_id": 2, "ignore": 0, "segmentation": [], "image_id": "BloodImage_00317", "id": 2183}, {"area": 11872, "iscrowd": 0, "bbox": [113, 25, 106, 112], "category_id": 2, "ignore": 0, "segmentation": [], "image_id": "BloodImage_00317", "id": 2184}, {"area": 9200, "iscrowd": 0, "bbox": [191, 0, 100, 92], "category_id": 2, "ignore": 0, "segmentation": [], "image_id": "BloodImage_00317", "id": 2185}, {"area": 1564, "iscrowd": 0, "bbox": [517, 146, 34, 46], "category_id": 3, "ignore": 0, "segmentation": [], "image_id": "BloodImage_00317", "id": 2186}, {"area": 2968, "iscrowd": 0, "bbox": [426, 139, 56, 53], "category_id": 3, "ignore": 0, "segmentation": [], "image_id": "BloodImage_00317", "id": 2187}, {"area": 1932, "iscrowd": 0, "bbox": [111, 206, 42, 46], "category_id": 3, "ignore": 0, "segmentation": [], "image_id": "BloodImage_00317", "id": 2188}, {"area": 1404, "iscrowd": 0, "bbox": [113, 173, 39, 36], "category_id": 3, "ignore": 0, "segmentation": [], "image_id": "BloodImage_00317", "id": 2189}, {"area": 41748, "iscrowd": 0, "bbox": [183, 64, 213, 196], "category_id": 1, "ignore": 0, "segmentation": [], "image_id": "BloodImage_00317", "id": 2190}, {"area": 9612, "iscrowd": 0, "bbox": [93, 246, 108, 89], "category_id": 2, "ignore": 0, "segmentation": [], "image_id": "BloodImage_00318", "id": 2191}, {"area": 9612, "iscrowd": 0, "bbox": [34, 391, 108, 89], "category_id": 2, "ignore": 0, "segmentation": [], "image_id": "BloodImage_00318", "id": 2192}, {"area": 9720, "iscrowd": 0, "bbox": [251, 24, 108, 90], "category_id": 2, "ignore": 0, "segmentation": [], "image_id": "BloodImage_00318", "id": 2193}, {"area": 13664, "iscrowd": 0, "bbox": [465, 324, 112, 122], "category_id": 2, "ignore": 0, "segmentation": [], "image_id": "BloodImage_00318", "id": 2194}, {"area": 13776, "iscrowd": 0, "bbox": [376, 59, 112, 123], "category_id": 2, "ignore": 0, "segmentation": [], "image_id": "BloodImage_00318", "id": 2195}, {"area": 8748, "iscrowd": 0, "bbox": [396, 399, 108, 81], "category_id": 2, "ignore": 0, "segmentation": [], "image_id": "BloodImage_00318", "id": 2196}, {"area": 7566, "iscrowd": 0, "bbox": [65, 138, 97, 78], "category_id": 2, "ignore": 0, "segmentation": [], "image_id": "BloodImage_00318", "id": 2197}, {"area": 12996, "iscrowd": 0, "bbox": [95, 22, 114, 114], "category_id": 2, "ignore": 0, "segmentation": [], "image_id": "BloodImage_00318", "id": 2198}, {"area": 10738, "iscrowd": 0, "bbox": [469, 94, 91, 118], "category_id": 2, "ignore": 0, "segmentation": [], "image_id": "BloodImage_00318", "id": 2199}, {"area": 8075, "iscrowd": 0, "bbox": [124, 132, 95, 85], "category_id": 2, "ignore": 0, "segmentation": [], "image_id": "BloodImage_00318", "id": 2200}, {"area": 10250, "iscrowd": 0, "bbox": [0, 267, 82, 125], "category_id": 2, "ignore": 0, "segmentation": [], "image_id": "BloodImage_00318", "id": 2201}, {"area": 53074, "iscrowd": 0, "bbox": [159, 224, 238, 223], "category_id": 1, "ignore": 0, "segmentation": [], "image_id": "BloodImage_00318", "id": 2202}, {"area": 1023, "iscrowd": 0, "bbox": [167, 373, 31, 33], "category_id": 3, "ignore": 0, "segmentation": [], "image_id": "BloodImage_00322", "id": 2203}, {"area": 1482, "iscrowd": 0, "bbox": [526, 243, 38, 39], "category_id": 3, "ignore": 0, "segmentation": [], "image_id": "BloodImage_00322", "id": 2204}, {"area": 1482, "iscrowd": 0, "bbox": [564, 382, 38, 39], "category_id": 3, "ignore": 0, "segmentation": [], "image_id": "BloodImage_00322", "id": 2205}, {"area": 47508, "iscrowd": 0, "bbox": [306, 173, 222, 214], "category_id": 1, "ignore": 0, "segmentation": [], "image_id": "BloodImage_00322", "id": 2206}, {"area": 10504, "iscrowd": 0, "bbox": [375, 190, 101, 104], "category_id": 2, "ignore": 0, "segmentation": [], "image_id": "BloodImage_00324", "id": 2207}, {"area": 13416, "iscrowd": 0, "bbox": [325, 188, 104, 129], "category_id": 2, "ignore": 0, "segmentation": [], "image_id": "BloodImage_00324", "id": 2208}, {"area": 13334, "iscrowd": 0, "bbox": [483, 212, 118, 113], "category_id": 2, "ignore": 0, "segmentation": [], "image_id": "BloodImage_00324", "id": 2209}, {"area": 10094, "iscrowd": 0, "bbox": [528, 313, 103, 98], "category_id": 2, "ignore": 0, "segmentation": [], "image_id": "BloodImage_00324", "id": 2210}, {"area": 12210, "iscrowd": 0, "bbox": [200, 205, 110, 111], "category_id": 2, "ignore": 0, "segmentation": [], "image_id": "BloodImage_00324", "id": 2211}, {"area": 9021, "iscrowd": 0, "bbox": [21, 104, 93, 97], "category_id": 2, "ignore": 0, "segmentation": [], "image_id": "BloodImage_00324", "id": 2212}, {"area": 9207, "iscrowd": 0, "bbox": [10, 323, 93, 99], "category_id": 2, "ignore": 0, "segmentation": [], "image_id": "BloodImage_00324", "id": 2213}, {"area": 7650, "iscrowd": 0, "bbox": [518, 21, 90, 85], "category_id": 2, "ignore": 0, "segmentation": [], "image_id": "BloodImage_00324", "id": 2214}, {"area": 8010, "iscrowd": 0, "bbox": [230, 116, 89, 90], "category_id": 2, "ignore": 0, "segmentation": [], "image_id": "BloodImage_00324", "id": 2215}, {"area": 14036, "iscrowd": 0, "bbox": [56, 349, 121, 116], "category_id": 2, "ignore": 0, "segmentation": [], "image_id": "BloodImage_00324", "id": 2216}, {"area": 12726, "iscrowd": 0, "bbox": [243, 348, 126, 101], "category_id": 2, "ignore": 0, "segmentation": [], "image_id": "BloodImage_00324", "id": 2217}, {"area": 37856, "iscrowd": 0, "bbox": [276, 0, 224, 169], "category_id": 1, "ignore": 0, "segmentation": [], "image_id": "BloodImage_00324", "id": 2218}, {"area": 14152, "iscrowd": 0, "bbox": [479, 356, 122, 116], "category_id": 2, "ignore": 0, "segmentation": [], "image_id": "BloodImage_00325", "id": 2219}, {"area": 14152, "iscrowd": 0, "bbox": [369, 201, 122, 116], "category_id": 2, "ignore": 0, "segmentation": [], "image_id": "BloodImage_00325", "id": 2220}, {"area": 7553, "iscrowd": 0, "bbox": [375, 123, 91, 83], "category_id": 2, "ignore": 0, "segmentation": [], "image_id": "BloodImage_00325", "id": 2221}, {"area": 7475, "iscrowd": 0, "bbox": [74, 159, 65, 115], "category_id": 2, "ignore": 0, "segmentation": [], "image_id": "BloodImage_00325", "id": 2222}, {"area": 8820, "iscrowd": 0, "bbox": [84, 257, 98, 90], "category_id": 2, "ignore": 0, "segmentation": [], "image_id": "BloodImage_00325", "id": 2223}, {"area": 6794, "iscrowd": 0, "bbox": [71, 0, 86, 79], "category_id": 2, "ignore": 0, "segmentation": [], "image_id": "BloodImage_00325", "id": 2224}, {"area": 8640, "iscrowd": 0, "bbox": [220, 18, 96, 90], "category_id": 2, "ignore": 0, "segmentation": [], "image_id": "BloodImage_00325", "id": 2225}, {"area": 12726, "iscrowd": 0, "bbox": [264, 50, 126, 101], "category_id": 2, "ignore": 0, "segmentation": [], "image_id": "BloodImage_00325", "id": 2226}, {"area": 7553, "iscrowd": 0, "bbox": [458, 78, 91, 83], "category_id": 2, "ignore": 0, "segmentation": [], "image_id": "BloodImage_00325", "id": 2227}, {"area": 11084, "iscrowd": 0, "bbox": [252, 320, 163, 68], "category_id": 2, "ignore": 0, "segmentation": [], "image_id": "BloodImage_00325", "id": 2228}, {"area": 9588, "iscrowd": 0, "bbox": [239, 328, 102, 94], "category_id": 2, "ignore": 0, "segmentation": [], "image_id": "BloodImage_00325", "id": 2229}, {"area": 1482, "iscrowd": 0, "bbox": [15, 197, 38, 39], "category_id": 3, "ignore": 0, "segmentation": [], "image_id": "BloodImage_00325", "id": 2230}, {"area": 2208, "iscrowd": 0, "bbox": [120, 95, 46, 48], "category_id": 3, "ignore": 0, "segmentation": [], "image_id": "BloodImage_00325", "id": 2231}, {"area": 3348, "iscrowd": 0, "bbox": [420, 391, 62, 54], "category_id": 3, "ignore": 0, "segmentation": [], "image_id": "BloodImage_00325", "id": 2232}, {"area": 42768, "iscrowd": 0, "bbox": [140, 96, 198, 216], "category_id": 1, "ignore": 0, "segmentation": [], "image_id": "BloodImage_00325", "id": 2233}, {"area": 10080, "iscrowd": 0, "bbox": [145, 266, 96, 105], "category_id": 2, "ignore": 0, "segmentation": [], "image_id": "BloodImage_00332", "id": 2234}, {"area": 11663, "iscrowd": 0, "bbox": [43, 252, 109, 107], "category_id": 2, "ignore": 0, "segmentation": [], "image_id": "BloodImage_00332", "id": 2235}, {"area": 11663, "iscrowd": 0, "bbox": [148, 123, 109, 107], "category_id": 2, "ignore": 0, "segmentation": [], "image_id": "BloodImage_00332", "id": 2236}, {"area": 13209, "iscrowd": 0, "bbox": [439, 295, 111, 119], "category_id": 2, "ignore": 0, "segmentation": [], "image_id": "BloodImage_00332", "id": 2237}, {"area": 13209, "iscrowd": 0, "bbox": [268, 103, 111, 119], "category_id": 2, "ignore": 0, "segmentation": [], "image_id": "BloodImage_00332", "id": 2238}, {"area": 10340, "iscrowd": 0, "bbox": [529, 106, 110, 94], "category_id": 2, "ignore": 0, "segmentation": [], "image_id": "BloodImage_00332", "id": 2239}, {"area": 12210, "iscrowd": 0, "bbox": [517, 172, 110, 111], "category_id": 2, "ignore": 0, "segmentation": [], "image_id": "BloodImage_00332", "id": 2240}, {"area": 11000, "iscrowd": 0, "bbox": [530, 30, 110, 100], "category_id": 2, "ignore": 0, "segmentation": [], "image_id": "BloodImage_00332", "id": 2241}, {"area": 11124, "iscrowd": 0, "bbox": [268, 5, 108, 103], "category_id": 2, "ignore": 0, "segmentation": [], "image_id": "BloodImage_00332", "id": 2242}, {"area": 50140, "iscrowd": 0, "bbox": [227, 203, 218, 230], "category_id": 1, "ignore": 0, "segmentation": [], "image_id": "BloodImage_00332", "id": 2243}, {"area": 10058, "iscrowd": 0, "bbox": [219, 221, 107, 94], "category_id": 2, "ignore": 0, "segmentation": [], "image_id": "BloodImage_00335", "id": 2244}, {"area": 12971, "iscrowd": 0, "bbox": [362, 3, 109, 119], "category_id": 2, "ignore": 0, "segmentation": [], "image_id": "BloodImage_00335", "id": 2245}, {"area": 8858, "iscrowd": 0, "bbox": [421, 149, 86, 103], "category_id": 2, "ignore": 0, "segmentation": [], "image_id": "BloodImage_00335", "id": 2246}, {"area": 11342, "iscrowd": 0, "bbox": [255, 3, 107, 106], "category_id": 2, "ignore": 0, "segmentation": [], "image_id": "BloodImage_00335", "id": 2247}, {"area": 16206, "iscrowd": 0, "bbox": [115, 127, 146, 111], "category_id": 2, "ignore": 0, "segmentation": [], "image_id": "BloodImage_00335", "id": 2248}, {"area": 11948, "iscrowd": 0, "bbox": [378, 287, 116, 103], "category_id": 2, "ignore": 0, "segmentation": [], "image_id": "BloodImage_00335", "id": 2249}, {"area": 6084, "iscrowd": 0, "bbox": [85, 231, 78, 78], "category_id": 2, "ignore": 0, "segmentation": [], "image_id": "BloodImage_00335", "id": 2250}, {"area": 9500, "iscrowd": 0, "bbox": [61, 375, 100, 95], "category_id": 2, "ignore": 0, "segmentation": [], "image_id": "BloodImage_00335", "id": 2251}, {"area": 12430, "iscrowd": 0, "bbox": [100, 28, 110, 113], "category_id": 2, "ignore": 0, "segmentation": [], "image_id": "BloodImage_00335", "id": 2252}, {"area": 11118, "iscrowd": 0, "bbox": [249, 125, 109, 102], "category_id": 2, "ignore": 0, "segmentation": [], "image_id": "BloodImage_00335", "id": 2253}, {"area": 11074, "iscrowd": 0, "bbox": [174, 367, 98, 113], "category_id": 2, "ignore": 0, "segmentation": [], "image_id": "BloodImage_00335", "id": 2254}, {"area": 33222, "iscrowd": 0, "bbox": [264, 333, 226, 147], "category_id": 1, "ignore": 0, "segmentation": [], "image_id": "BloodImage_00335", "id": 2255}, {"area": 10712, "iscrowd": 0, "bbox": [61, 72, 104, 103], "category_id": 2, "ignore": 0, "segmentation": [], "image_id": "BloodImage_00336", "id": 2256}, {"area": 14630, "iscrowd": 0, "bbox": [235, 215, 110, 133], "category_id": 2, "ignore": 0, "segmentation": [], "image_id": "BloodImage_00336", "id": 2257}, {"area": 9797, "iscrowd": 0, "bbox": [128, 299, 101, 97], "category_id": 2, "ignore": 0, "segmentation": [], "image_id": "BloodImage_00336", "id": 2258}, {"area": 15600, "iscrowd": 0, "bbox": [364, 305, 130, 120], "category_id": 2, "ignore": 0, "segmentation": [], "image_id": "BloodImage_00336", "id": 2259}, {"area": 10300, "iscrowd": 0, "bbox": [493, 35, 100, 103], "category_id": 2, "ignore": 0, "segmentation": [], "image_id": "BloodImage_00336", "id": 2260}, {"area": 10476, "iscrowd": 0, "bbox": [176, 24, 97, 108], "category_id": 2, "ignore": 0, "segmentation": [], "image_id": "BloodImage_00336", "id": 2261}, {"area": 11067, "iscrowd": 0, "bbox": [63, 191, 119, 93], "category_id": 2, "ignore": 0, "segmentation": [], "image_id": "BloodImage_00336", "id": 2262}, {"area": 8058, "iscrowd": 0, "bbox": [44, 367, 102, 79], "category_id": 2, "ignore": 0, "segmentation": [], "image_id": "BloodImage_00336", "id": 2263}, {"area": 10605, "iscrowd": 0, "bbox": [527, 288, 105, 101], "category_id": 2, "ignore": 0, "segmentation": [], "image_id": "BloodImage_00336", "id": 2264}, {"area": 12168, "iscrowd": 0, "bbox": [56, 253, 169, 72], "category_id": 2, "ignore": 0, "segmentation": [], "image_id": "BloodImage_00336", "id": 2265}, {"area": 44232, "iscrowd": 0, "bbox": [279, 42, 228, 194], "category_id": 1, "ignore": 0, "segmentation": [], "image_id": "BloodImage_00336", "id": 2266}, {"area": 10864, "iscrowd": 0, "bbox": [377, 277, 112, 97], "category_id": 2, "ignore": 0, "segmentation": [], "image_id": "BloodImage_00339", "id": 2267}, {"area": 14763, "iscrowd": 0, "bbox": [447, 66, 133, 111], "category_id": 2, "ignore": 0, "segmentation": [], "image_id": "BloodImage_00339", "id": 2268}, {"area": 12546, "iscrowd": 0, "bbox": [307, 22, 102, 123], "category_id": 2, "ignore": 0, "segmentation": [], "image_id": "BloodImage_00339", "id": 2269}, {"area": 12744, "iscrowd": 0, "bbox": [9, 219, 108, 118], "category_id": 2, "ignore": 0, "segmentation": [], "image_id": "BloodImage_00339", "id": 2270}, {"area": 15210, "iscrowd": 0, "bbox": [64, 189, 117, 130], "category_id": 2, "ignore": 0, "segmentation": [], "image_id": "BloodImage_00339", "id": 2271}, {"area": 13080, "iscrowd": 0, "bbox": [170, 65, 109, 120], "category_id": 2, "ignore": 0, "segmentation": [], "image_id": "BloodImage_00339", "id": 2272}, {"area": 14136, "iscrowd": 0, "bbox": [135, 328, 124, 114], "category_id": 2, "ignore": 0, "segmentation": [], "image_id": "BloodImage_00339", "id": 2273}, {"area": 11346, "iscrowd": 0, "bbox": [228, 321, 122, 93], "category_id": 2, "ignore": 0, "segmentation": [], "image_id": "BloodImage_00339", "id": 2274}, {"area": 14960, "iscrowd": 0, "bbox": [24, 367, 136, 110], "category_id": 2, "ignore": 0, "segmentation": [], "image_id": "BloodImage_00339", "id": 2275}, {"area": 11520, "iscrowd": 0, "bbox": [369, 381, 120, 96], "category_id": 2, "ignore": 0, "segmentation": [], "image_id": "BloodImage_00339", "id": 2276}, {"area": 9804, "iscrowd": 0, "bbox": [524, 7, 114, 86], "category_id": 2, "ignore": 0, "segmentation": [], "image_id": "BloodImage_00339", "id": 2277}, {"area": 14640, "iscrowd": 0, "bbox": [19, 27, 122, 120], "category_id": 2, "ignore": 0, "segmentation": [], "image_id": "BloodImage_00339", "id": 2278}, {"area": 9999, "iscrowd": 0, "bbox": [509, 258, 99, 101], "category_id": 2, "ignore": 0, "segmentation": [], "image_id": "BloodImage_00339", "id": 2279}, {"area": 8550, "iscrowd": 0, "bbox": [565, 151, 75, 114], "category_id": 2, "ignore": 0, "segmentation": [], "image_id": "BloodImage_00339", "id": 2280}, {"area": 18328, "iscrowd": 0, "bbox": [423, 162, 158, 116], "category_id": 2, "ignore": 0, "segmentation": [], "image_id": "BloodImage_00339", "id": 2281}, {"area": 55756, "iscrowd": 0, "bbox": [184, 126, 263, 212], "category_id": 1, "ignore": 0, "segmentation": [], "image_id": "BloodImage_00339", "id": 2282}, {"area": 1886, "iscrowd": 0, "bbox": [319, 397, 41, 46], "category_id": 3, "ignore": 0, "segmentation": [], "image_id": "BloodImage_00339", "id": 2283}, {"area": 2850, "iscrowd": 0, "bbox": [126, 78, 57, 50], "category_id": 3, "ignore": 0, "segmentation": [], "image_id": "BloodImage_00339", "id": 2284}, {"area": 14170, "iscrowd": 0, "bbox": [483, 194, 130, 109], "category_id": 2, "ignore": 0, "segmentation": [], "image_id": "BloodImage_00343", "id": 2285}, {"area": 11074, "iscrowd": 0, "bbox": [524, 298, 113, 98], "category_id": 2, "ignore": 0, "segmentation": [], "image_id": "BloodImage_00343", "id": 2286}, {"area": 11616, "iscrowd": 0, "bbox": [95, 156, 132, 88], "category_id": 2, "ignore": 0, "segmentation": [], "image_id": "BloodImage_00343", "id": 2287}, {"area": 1, "iscrowd": 0, "bbox": [180, 328, 1, 1], "category_id": 2, "ignore": 0, "segmentation": [], "image_id": "BloodImage_00343", "id": 2288}, {"area": 13068, "iscrowd": 0, "bbox": [255, 199, 121, 108], "category_id": 2, "ignore": 0, "segmentation": [], "image_id": "BloodImage_00343", "id": 2289}, {"area": 14042, "iscrowd": 0, "bbox": [522, 0, 118, 119], "category_id": 2, "ignore": 0, "segmentation": [], "image_id": "BloodImage_00343", "id": 2290}, {"area": 9588, "iscrowd": 0, "bbox": [31, 4, 102, 94], "category_id": 2, "ignore": 0, "segmentation": [], "image_id": "BloodImage_00343", "id": 2291}, {"area": 8680, "iscrowd": 0, "bbox": [131, 21, 70, 124], "category_id": 2, "ignore": 0, "segmentation": [], "image_id": "BloodImage_00343", "id": 2292}, {"area": 11040, "iscrowd": 0, "bbox": [337, 324, 92, 120], "category_id": 2, "ignore": 0, "segmentation": [], "image_id": "BloodImage_00343", "id": 2293}, {"area": 2400, "iscrowd": 0, "bbox": [0, 360, 48, 50], "category_id": 3, "ignore": 0, "segmentation": [], "image_id": "BloodImage_00343", "id": 2294}, {"area": 2450, "iscrowd": 0, "bbox": [69, 205, 49, 50], "category_id": 3, "ignore": 0, "segmentation": [], "image_id": "BloodImage_00343", "id": 2295}, {"area": 37179, "iscrowd": 0, "bbox": [182, 0, 243, 153], "category_id": 1, "ignore": 0, "segmentation": [], "image_id": "BloodImage_00343", "id": 2296}, {"area": 7830, "iscrowd": 0, "bbox": [528, 173, 90, 87], "category_id": 2, "ignore": 0, "segmentation": [], "image_id": "BloodImage_00344", "id": 2297}, {"area": 12154, "iscrowd": 0, "bbox": [346, 289, 103, 118], "category_id": 2, "ignore": 0, "segmentation": [], "image_id": "BloodImage_00344", "id": 2298}, {"area": 8827, "iscrowd": 0, "bbox": [3, 346, 97, 91], "category_id": 2, "ignore": 0, "segmentation": [], "image_id": "BloodImage_00344", "id": 2299}, {"area": 8844, "iscrowd": 0, "bbox": [382, 412, 134, 66], "category_id": 2, "ignore": 0, "segmentation": [], "image_id": "BloodImage_00344", "id": 2300}, {"area": 10710, "iscrowd": 0, "bbox": [253, 390, 119, 90], "category_id": 2, "ignore": 0, "segmentation": [], "image_id": "BloodImage_00344", "id": 2301}, {"area": 11340, "iscrowd": 0, "bbox": [245, 296, 108, 105], "category_id": 2, "ignore": 0, "segmentation": [], "image_id": "BloodImage_00344", "id": 2302}, {"area": 14248, "iscrowd": 0, "bbox": [346, 0, 137, 104], "category_id": 2, "ignore": 0, "segmentation": [], "image_id": "BloodImage_00344", "id": 2303}, {"area": 10528, "iscrowd": 0, "bbox": [504, 361, 112, 94], "category_id": 2, "ignore": 0, "segmentation": [], "image_id": "BloodImage_00344", "id": 2304}, {"area": 12282, "iscrowd": 0, "bbox": [40, 11, 89, 138], "category_id": 2, "ignore": 0, "segmentation": [], "image_id": "BloodImage_00344", "id": 2305}, {"area": 12028, "iscrowd": 0, "bbox": [317, 116, 124, 97], "category_id": 2, "ignore": 0, "segmentation": [], "image_id": "BloodImage_00344", "id": 2306}, {"area": 11092, "iscrowd": 0, "bbox": [29, 235, 118, 94], "category_id": 2, "ignore": 0, "segmentation": [], "image_id": "BloodImage_00344", "id": 2307}, {"area": 10137, "iscrowd": 0, "bbox": [83, 320, 109, 93], "category_id": 2, "ignore": 0, "segmentation": [], "image_id": "BloodImage_00344", "id": 2308}, {"area": 2376, "iscrowd": 0, "bbox": [27, 182, 54, 44], "category_id": 3, "ignore": 0, "segmentation": [], "image_id": "BloodImage_00344", "id": 2309}, {"area": 66276, "iscrowd": 0, "bbox": [73, 107, 263, 252], "category_id": 1, "ignore": 0, "segmentation": [], "image_id": "BloodImage_00344", "id": 2310}, {"area": 16891, "iscrowd": 0, "bbox": [202, 265, 133, 127], "category_id": 2, "ignore": 0, "segmentation": [], "image_id": "BloodImage_00345", "id": 2311}, {"area": 7395, "iscrowd": 0, "bbox": [476, 252, 85, 87], "category_id": 2, "ignore": 0, "segmentation": [], "image_id": "BloodImage_00345", "id": 2312}, {"area": 9737, "iscrowd": 0, "bbox": [374, 289, 107, 91], "category_id": 2, "ignore": 0, "segmentation": [], "image_id": "BloodImage_00345", "id": 2313}, {"area": 7857, "iscrowd": 0, "bbox": [391, 151, 97, 81], "category_id": 2, "ignore": 0, "segmentation": [], "image_id": "BloodImage_00345", "id": 2314}, {"area": 9879, "iscrowd": 0, "bbox": [276, 177, 111, 89], "category_id": 2, "ignore": 0, "segmentation": [], "image_id": "BloodImage_00345", "id": 2315}, {"area": 8742, "iscrowd": 0, "bbox": [182, 75, 93, 94], "category_id": 2, "ignore": 0, "segmentation": [], "image_id": "BloodImage_00345", "id": 2316}, {"area": 12208, "iscrowd": 0, "bbox": [63, 47, 109, 112], "category_id": 2, "ignore": 0, "segmentation": [], "image_id": "BloodImage_00345", "id": 2317}, {"area": 12257, "iscrowd": 0, "bbox": [285, 18, 119, 103], "category_id": 2, "ignore": 0, "segmentation": [], "image_id": "BloodImage_00345", "id": 2318}, {"area": 12426, "iscrowd": 0, "bbox": [451, 50, 114, 109], "category_id": 2, "ignore": 0, "segmentation": [], "image_id": "BloodImage_00345", "id": 2319}, {"area": 9393, "iscrowd": 0, "bbox": [77, 278, 101, 93], "category_id": 2, "ignore": 0, "segmentation": [], "image_id": "BloodImage_00345", "id": 2320}, {"area": 12644, "iscrowd": 0, "bbox": [39, 165, 109, 116], "category_id": 2, "ignore": 0, "segmentation": [], "image_id": "BloodImage_00345", "id": 2321}, {"area": 11880, "iscrowd": 0, "bbox": [304, 366, 110, 108], "category_id": 2, "ignore": 0, "segmentation": [], "image_id": "BloodImage_00345", "id": 2322}, {"area": 38080, "iscrowd": 0, "bbox": [401, 320, 238, 160], "category_id": 1, "ignore": 0, "segmentation": [], "image_id": "BloodImage_00345", "id": 2323}, {"area": 11700, "iscrowd": 0, "bbox": [108, 195, 117, 100], "category_id": 2, "ignore": 0, "segmentation": [], "image_id": "BloodImage_00347", "id": 2324}, {"area": 10710, "iscrowd": 0, "bbox": [175, 295, 102, 105], "category_id": 2, "ignore": 0, "segmentation": [], "image_id": "BloodImage_00347", "id": 2325}, {"area": 8463, "iscrowd": 0, "bbox": [115, 308, 93, 91], "category_id": 2, "ignore": 0, "segmentation": [], "image_id": "BloodImage_00347", "id": 2326}, {"area": 12528, "iscrowd": 0, "bbox": [186, 0, 116, 108], "category_id": 2, "ignore": 0, "segmentation": [], "image_id": "BloodImage_00347", "id": 2327}, {"area": 10815, "iscrowd": 0, "bbox": [450, 349, 103, 105], "category_id": 2, "ignore": 0, "segmentation": [], "image_id": "BloodImage_00347", "id": 2328}, {"area": 12096, "iscrowd": 0, "bbox": [455, 172, 108, 112], "category_id": 2, "ignore": 0, "segmentation": [], "image_id": "BloodImage_00347", "id": 2329}, {"area": 11021, "iscrowd": 0, "bbox": [438, 224, 107, 103], "category_id": 2, "ignore": 0, "segmentation": [], "image_id": "BloodImage_00347", "id": 2330}, {"area": 10656, "iscrowd": 0, "bbox": [260, 128, 111, 96], "category_id": 2, "ignore": 0, "segmentation": [], "image_id": "BloodImage_00347", "id": 2331}, {"area": 9639, "iscrowd": 0, "bbox": [559, 71, 81, 119], "category_id": 2, "ignore": 0, "segmentation": [], "image_id": "BloodImage_00347", "id": 2332}, {"area": 7038, "iscrowd": 0, "bbox": [537, 0, 102, 69], "category_id": 2, "ignore": 0, "segmentation": [], "image_id": "BloodImage_00347", "id": 2333}, {"area": 7038, "iscrowd": 0, "bbox": [449, 0, 102, 69], "category_id": 2, "ignore": 0, "segmentation": [], "image_id": "BloodImage_00347", "id": 2334}, {"area": 9384, "iscrowd": 0, "bbox": [326, 0, 102, 92], "category_id": 2, "ignore": 0, "segmentation": [], "image_id": "BloodImage_00347", "id": 2335}, {"area": 9800, "iscrowd": 0, "bbox": [420, 63, 100, 98], "category_id": 2, "ignore": 0, "segmentation": [], "image_id": "BloodImage_00347", "id": 2336}, {"area": 9800, "iscrowd": 0, "bbox": [227, 108, 100, 98], "category_id": 2, "ignore": 0, "segmentation": [], "image_id": "BloodImage_00347", "id": 2337}, {"area": 9800, "iscrowd": 0, "bbox": [71, 44, 100, 98], "category_id": 2, "ignore": 0, "segmentation": [], "image_id": "BloodImage_00347", "id": 2338}, {"area": 12096, "iscrowd": 0, "bbox": [16, 244, 108, 112], "category_id": 2, "ignore": 0, "segmentation": [], "image_id": "BloodImage_00347", "id": 2339}, {"area": 7446, "iscrowd": 0, "bbox": [254, 232, 102, 73], "category_id": 2, "ignore": 0, "segmentation": [], "image_id": "BloodImage_00347", "id": 2340}, {"area": 9345, "iscrowd": 0, "bbox": [551, 232, 89, 105], "category_id": 2, "ignore": 0, "segmentation": [], "image_id": "BloodImage_00347", "id": 2341}, {"area": 24806, "iscrowd": 0, "bbox": [318, 296, 158, 157], "category_id": 1, "ignore": 0, "segmentation": [], "image_id": "BloodImage_00347", "id": 2342}, {"area": 10088, "iscrowd": 0, "bbox": [213, 349, 97, 104], "category_id": 2, "ignore": 0, "segmentation": [], "image_id": "BloodImage_00348", "id": 2343}, {"area": 7654, "iscrowd": 0, "bbox": [438, 293, 86, 89], "category_id": 2, "ignore": 0, "segmentation": [], "image_id": "BloodImage_00348", "id": 2344}, {"area": 12566, "iscrowd": 0, "bbox": [102, 219, 122, 103], "category_id": 2, "ignore": 0, "segmentation": [], "image_id": "BloodImage_00348", "id": 2345}, {"area": 10530, "iscrowd": 0, "bbox": [272, 213, 117, 90], "category_id": 2, "ignore": 0, "segmentation": [], "image_id": "BloodImage_00348", "id": 2346}, {"area": 9116, "iscrowd": 0, "bbox": [524, 282, 106, 86], "category_id": 2, "ignore": 0, "segmentation": [], "image_id": "BloodImage_00348", "id": 2347}, {"area": 9976, "iscrowd": 0, "bbox": [503, 394, 116, 86], "category_id": 2, "ignore": 0, "segmentation": [], "image_id": "BloodImage_00348", "id": 2348}, {"area": 7616, "iscrowd": 0, "bbox": [92, 412, 112, 68], "category_id": 2, "ignore": 0, "segmentation": [], "image_id": "BloodImage_00348", "id": 2349}, {"area": 10472, "iscrowd": 0, "bbox": [6, 352, 119, 88], "category_id": 2, "ignore": 0, "segmentation": [], "image_id": "BloodImage_00348", "id": 2350}, {"area": 10388, "iscrowd": 0, "bbox": [372, 115, 98, 106], "category_id": 2, "ignore": 0, "segmentation": [], "image_id": "BloodImage_00348", "id": 2351}, {"area": 9504, "iscrowd": 0, "bbox": [463, 121, 88, 108], "category_id": 2, "ignore": 0, "segmentation": [], "image_id": "BloodImage_00348", "id": 2352}, {"area": 9504, "iscrowd": 0, "bbox": [287, 83, 88, 108], "category_id": 2, "ignore": 0, "segmentation": [], "image_id": "BloodImage_00348", "id": 2353}, {"area": 10434, "iscrowd": 0, "bbox": [334, 272, 111, 94], "category_id": 2, "ignore": 0, "segmentation": [], "image_id": "BloodImage_00348", "id": 2354}, {"area": 6624, "iscrowd": 0, "bbox": [568, 194, 72, 92], "category_id": 2, "ignore": 0, "segmentation": [], "image_id": "BloodImage_00348", "id": 2355}, {"area": 10488, "iscrowd": 0, "bbox": [394, 388, 114, 92], "category_id": 2, "ignore": 0, "segmentation": [], "image_id": "BloodImage_00348", "id": 2356}, {"area": 51027, "iscrowd": 0, "bbox": [61, 6, 233, 219], "category_id": 1, "ignore": 0, "segmentation": [], "image_id": "BloodImage_00348", "id": 2357}, {"area": 13110, "iscrowd": 0, "bbox": [114, 107, 115, 114], "category_id": 2, "ignore": 0, "segmentation": [], "image_id": "BloodImage_00351", "id": 2358}, {"area": 11413, "iscrowd": 0, "bbox": [46, 24, 101, 113], "category_id": 2, "ignore": 0, "segmentation": [], "image_id": "BloodImage_00351", "id": 2359}, {"area": 7140, "iscrowd": 0, "bbox": [225, 71, 70, 102], "category_id": 2, "ignore": 0, "segmentation": [], "image_id": "BloodImage_00351", "id": 2360}, {"area": 12543, "iscrowd": 0, "bbox": [203, 176, 113, 111], "category_id": 2, "ignore": 0, "segmentation": [], "image_id": "BloodImage_00351", "id": 2361}, {"area": 9900, "iscrowd": 0, "bbox": [191, 281, 99, 100], "category_id": 2, "ignore": 0, "segmentation": [], "image_id": "BloodImage_00351", "id": 2362}, {"area": 11872, "iscrowd": 0, "bbox": [299, 246, 112, 106], "category_id": 2, "ignore": 0, "segmentation": [], "image_id": "BloodImage_00351", "id": 2363}, {"area": 15340, "iscrowd": 0, "bbox": [503, 352, 130, 118], "category_id": 2, "ignore": 0, "segmentation": [], "image_id": "BloodImage_00351", "id": 2364}, {"area": 10710, "iscrowd": 0, "bbox": [22, 229, 102, 105], "category_id": 2, "ignore": 0, "segmentation": [], "image_id": "BloodImage_00351", "id": 2365}, {"area": 15624, "iscrowd": 0, "bbox": [42, 291, 124, 126], "category_id": 2, "ignore": 0, "segmentation": [], "image_id": "BloodImage_00351", "id": 2366}, {"area": 10914, "iscrowd": 0, "bbox": [313, 138, 107, 102], "category_id": 2, "ignore": 0, "segmentation": [], "image_id": "BloodImage_00351", "id": 2367}, {"area": 11524, "iscrowd": 0, "bbox": [454, 44, 134, 86], "category_id": 2, "ignore": 0, "segmentation": [], "image_id": "BloodImage_00351", "id": 2368}, {"area": 9890, "iscrowd": 0, "bbox": [308, 0, 115, 86], "category_id": 2, "ignore": 0, "segmentation": [], "image_id": "BloodImage_00351", "id": 2369}, {"area": 7695, "iscrowd": 0, "bbox": [222, 0, 95, 81], "category_id": 2, "ignore": 0, "segmentation": [], "image_id": "BloodImage_00351", "id": 2370}, {"area": 14399, "iscrowd": 0, "bbox": [370, 359, 119, 121], "category_id": 2, "ignore": 0, "segmentation": [], "image_id": "BloodImage_00351", "id": 2371}, {"area": 990, "iscrowd": 0, "bbox": [146, 325, 33, 30], "category_id": 3, "ignore": 0, "segmentation": [], "image_id": "BloodImage_00351", "id": 2372}, {"area": 1848, "iscrowd": 0, "bbox": [199, 396, 44, 42], "category_id": 3, "ignore": 0, "segmentation": [], "image_id": "BloodImage_00351", "id": 2373}, {"area": 62660, "iscrowd": 0, "bbox": [378, 110, 241, 260], "category_id": 1, "ignore": 0, "segmentation": [], "image_id": "BloodImage_00351", "id": 2374}, {"area": 13310, "iscrowd": 0, "bbox": [51, 331, 110, 121], "category_id": 2, "ignore": 0, "segmentation": [], "image_id": "BloodImage_00353", "id": 2375}, {"area": 14688, "iscrowd": 0, "bbox": [175, 314, 144, 102], "category_id": 2, "ignore": 0, "segmentation": [], "image_id": "BloodImage_00353", "id": 2376}, {"area": 12971, "iscrowd": 0, "bbox": [33, 47, 119, 109], "category_id": 2, "ignore": 0, "segmentation": [], "image_id": "BloodImage_00353", "id": 2377}, {"area": 12971, "iscrowd": 0, "bbox": [319, 41, 119, 109], "category_id": 2, "ignore": 0, "segmentation": [], "image_id": "BloodImage_00353", "id": 2378}, {"area": 14520, "iscrowd": 0, "bbox": [203, 82, 120, 121], "category_id": 2, "ignore": 0, "segmentation": [], "image_id": "BloodImage_00353", "id": 2379}, {"area": 10000, "iscrowd": 0, "bbox": [535, 195, 100, 100], "category_id": 2, "ignore": 0, "segmentation": [], "image_id": "BloodImage_00353", "id": 2380}, {"area": 10920, "iscrowd": 0, "bbox": [82, 173, 104, 105], "category_id": 2, "ignore": 0, "segmentation": [], "image_id": "BloodImage_00353", "id": 2381}, {"area": 7310, "iscrowd": 0, "bbox": [120, 143, 85, 86], "category_id": 2, "ignore": 0, "segmentation": [], "image_id": "BloodImage_00353", "id": 2382}, {"area": 10465, "iscrowd": 0, "bbox": [188, 210, 115, 91], "category_id": 2, "ignore": 0, "segmentation": [], "image_id": "BloodImage_00353", "id": 2383}, {"area": 8370, "iscrowd": 0, "bbox": [146, 13, 90, 93], "category_id": 2, "ignore": 0, "segmentation": [], "image_id": "BloodImage_00353", "id": 2384}, {"area": 11270, "iscrowd": 0, "bbox": [500, 72, 115, 98], "category_id": 2, "ignore": 0, "segmentation": [], "image_id": "BloodImage_00353", "id": 2385}, {"area": 9520, "iscrowd": 0, "bbox": [0, 140, 80, 119], "category_id": 2, "ignore": 0, "segmentation": [], "image_id": "BloodImage_00353", "id": 2386}, {"area": 4030, "iscrowd": 0, "bbox": [484, 175, 62, 65], "category_id": 2, "ignore": 0, "segmentation": [], "image_id": "BloodImage_00353", "id": 2387}, {"area": 63222, "iscrowd": 0, "bbox": [261, 190, 257, 246], "category_id": 1, "ignore": 0, "segmentation": [], "image_id": "BloodImage_00353", "id": 2388}, {"area": 11526, "iscrowd": 0, "bbox": [368, 39, 102, 113], "category_id": 2, "ignore": 0, "segmentation": [], "image_id": "BloodImage_00354", "id": 2389}, {"area": 11526, "iscrowd": 0, "bbox": [472, 155, 102, 113], "category_id": 2, "ignore": 0, "segmentation": [], "image_id": "BloodImage_00354", "id": 2390}, {"area": 13516, "iscrowd": 0, "bbox": [445, 277, 124, 109], "category_id": 2, "ignore": 0, "segmentation": [], "image_id": "BloodImage_00354", "id": 2391}, {"area": 10593, "iscrowd": 0, "bbox": [533, 363, 107, 99], "category_id": 2, "ignore": 0, "segmentation": [], "image_id": "BloodImage_00354", "id": 2392}, {"area": 11770, "iscrowd": 0, "bbox": [404, 370, 107, 110], "category_id": 2, "ignore": 0, "segmentation": [], "image_id": "BloodImage_00354", "id": 2393}, {"area": 8856, "iscrowd": 0, "bbox": [558, 96, 82, 108], "category_id": 2, "ignore": 0, "segmentation": [], "image_id": "BloodImage_00354", "id": 2394}, {"area": 8366, "iscrowd": 0, "bbox": [468, 0, 94, 89], "category_id": 2, "ignore": 0, "segmentation": [], "image_id": "BloodImage_00354", "id": 2395}, {"area": 8436, "iscrowd": 0, "bbox": [276, 342, 76, 111], "category_id": 2, "ignore": 0, "segmentation": [], "image_id": "BloodImage_00354", "id": 2396}, {"area": 11132, "iscrowd": 0, "bbox": [208, 351, 121, 92], "category_id": 2, "ignore": 0, "segmentation": [], "image_id": "BloodImage_00354", "id": 2397}, {"area": 11766, "iscrowd": 0, "bbox": [95, 344, 106, 111], "category_id": 2, "ignore": 0, "segmentation": [], "image_id": "BloodImage_00354", "id": 2398}, {"area": 7636, "iscrowd": 0, "bbox": [373, 142, 92, 83], "category_id": 2, "ignore": 0, "segmentation": [], "image_id": "BloodImage_00354", "id": 2399}, {"area": 9494, "iscrowd": 0, "bbox": [182, 26, 101, 94], "category_id": 2, "ignore": 0, "segmentation": [], "image_id": "BloodImage_00354", "id": 2400}, {"area": 9494, "iscrowd": 0, "bbox": [40, 200, 101, 94], "category_id": 2, "ignore": 0, "segmentation": [], "image_id": "BloodImage_00354", "id": 2401}, {"area": 10780, "iscrowd": 0, "bbox": [105, 9, 98, 110], "category_id": 2, "ignore": 0, "segmentation": [], "image_id": "BloodImage_00354", "id": 2402}, {"area": 13224, "iscrowd": 0, "bbox": [25, 93, 114, 116], "category_id": 2, "ignore": 0, "segmentation": [], "image_id": "BloodImage_00354", "id": 2403}, {"area": 58800, "iscrowd": 0, "bbox": [116, 137, 245, 240], "category_id": 1, "ignore": 0, "segmentation": [], "image_id": "BloodImage_00354", "id": 2404}, {"area": 13320, "iscrowd": 0, "bbox": [26, 134, 120, 111], "category_id": 2, "ignore": 0, "segmentation": [], "image_id": "BloodImage_00355", "id": 2405}, {"area": 16356, "iscrowd": 0, "bbox": [191, 227, 116, 141], "category_id": 2, "ignore": 0, "segmentation": [], "image_id": "BloodImage_00355", "id": 2406}, {"area": 13320, "iscrowd": 0, "bbox": [66, 23, 120, 111], "category_id": 2, "ignore": 0, "segmentation": [], "image_id": "BloodImage_00355", "id": 2407}, {"area": 11400, "iscrowd": 0, "bbox": [281, 167, 100, 114], "category_id": 2, "ignore": 0, "segmentation": [], "image_id": "BloodImage_00355", "id": 2408}, {"area": 11322, "iscrowd": 0, "bbox": [270, 337, 102, 111], "category_id": 2, "ignore": 0, "segmentation": [], "image_id": "BloodImage_00355", "id": 2409}, {"area": 11200, "iscrowd": 0, "bbox": [66, 245, 112, 100], "category_id": 2, "ignore": 0, "segmentation": [], "image_id": "BloodImage_00355", "id": 2410}, {"area": 11200, "iscrowd": 0, "bbox": [62, 306, 112, 100], "category_id": 2, "ignore": 0, "segmentation": [], "image_id": "BloodImage_00355", "id": 2411}, {"area": 8910, "iscrowd": 0, "bbox": [335, 0, 110, 81], "category_id": 2, "ignore": 0, "segmentation": [], "image_id": "BloodImage_00355", "id": 2412}, {"area": 9405, "iscrowd": 0, "bbox": [492, 104, 99, 95], "category_id": 2, "ignore": 0, "segmentation": [], "image_id": "BloodImage_00355", "id": 2413}, {"area": 6750, "iscrowd": 0, "bbox": [432, 49, 75, 90], "category_id": 2, "ignore": 0, "segmentation": [], "image_id": "BloodImage_00355", "id": 2414}, {"area": 7600, "iscrowd": 0, "bbox": [475, 0, 80, 95], "category_id": 2, "ignore": 0, "segmentation": [], "image_id": "BloodImage_00355", "id": 2415}, {"area": 9030, "iscrowd": 0, "bbox": [554, 18, 86, 105], "category_id": 2, "ignore": 0, "segmentation": [], "image_id": "BloodImage_00355", "id": 2416}, {"area": 9568, "iscrowd": 0, "bbox": [279, 67, 104, 92], "category_id": 2, "ignore": 0, "segmentation": [], "image_id": "BloodImage_00355", "id": 2417}, {"area": 10406, "iscrowd": 0, "bbox": [369, 142, 121, 86], "category_id": 2, "ignore": 0, "segmentation": [], "image_id": "BloodImage_00355", "id": 2418}, {"area": 2100, "iscrowd": 0, "bbox": [228, 410, 50, 42], "category_id": 3, "ignore": 0, "segmentation": [], "image_id": "BloodImage_00355", "id": 2419}, {"area": 1848, "iscrowd": 0, "bbox": [139, 209, 44, 42], "category_id": 3, "ignore": 0, "segmentation": [], "image_id": "BloodImage_00355", "id": 2420}, {"area": 1677, "iscrowd": 0, "bbox": [261, 5, 39, 43], "category_id": 3, "ignore": 0, "segmentation": [], "image_id": "BloodImage_00355", "id": 2421}, {"area": 1406, "iscrowd": 0, "bbox": [418, 118, 38, 37], "category_id": 3, "ignore": 0, "segmentation": [], "image_id": "BloodImage_00355", "id": 2422}, {"area": 53562, "iscrowd": 0, "bbox": [329, 210, 237, 226], "category_id": 1, "ignore": 0, "segmentation": [], "image_id": "BloodImage_00355", "id": 2423}, {"area": 13334, "iscrowd": 0, "bbox": [278, 309, 118, 113], "category_id": 2, "ignore": 0, "segmentation": [], "image_id": "BloodImage_00356", "id": 2424}, {"area": 10115, "iscrowd": 0, "bbox": [372, 190, 119, 85], "category_id": 2, "ignore": 0, "segmentation": [], "image_id": "BloodImage_00356", "id": 2425}, {"area": 10152, "iscrowd": 0, "bbox": [446, 354, 108, 94], "category_id": 2, "ignore": 0, "segmentation": [], "image_id": "BloodImage_00356", "id": 2426}, {"area": 11660, "iscrowd": 0, "bbox": [503, 155, 106, 110], "category_id": 2, "ignore": 0, "segmentation": [], "image_id": "BloodImage_00356", "id": 2427}, {"area": 9486, "iscrowd": 0, "bbox": [498, 302, 102, 93], "category_id": 2, "ignore": 0, "segmentation": [], "image_id": "BloodImage_00356", "id": 2428}, {"area": 6392, "iscrowd": 0, "bbox": [418, 412, 94, 68], "category_id": 2, "ignore": 0, "segmentation": [], "image_id": "BloodImage_00356", "id": 2429}, {"area": 8232, "iscrowd": 0, "bbox": [58, 352, 84, 98], "category_id": 2, "ignore": 0, "segmentation": [], "image_id": "BloodImage_00356", "id": 2430}, {"area": 9600, "iscrowd": 0, "bbox": [202, 117, 100, 96], "category_id": 2, "ignore": 0, "segmentation": [], "image_id": "BloodImage_00356", "id": 2431}, {"area": 9600, "iscrowd": 0, "bbox": [486, 6, 100, 96], "category_id": 2, "ignore": 0, "segmentation": [], "image_id": "BloodImage_00356", "id": 2432}, {"area": 11186, "iscrowd": 0, "bbox": [360, 93, 119, 94], "category_id": 2, "ignore": 0, "segmentation": [], "image_id": "BloodImage_00356", "id": 2433}, {"area": 9600, "iscrowd": 0, "bbox": [28, 11, 100, 96], "category_id": 2, "ignore": 0, "segmentation": [], "image_id": "BloodImage_00356", "id": 2434}, {"area": 9555, "iscrowd": 0, "bbox": [95, 101, 105, 91], "category_id": 2, "ignore": 0, "segmentation": [], "image_id": "BloodImage_00356", "id": 2435}, {"area": 10400, "iscrowd": 0, "bbox": [227, 3, 104, 100], "category_id": 2, "ignore": 0, "segmentation": [], "image_id": "BloodImage_00356", "id": 2436}, {"area": 8611, "iscrowd": 0, "bbox": [324, 0, 109, 79], "category_id": 2, "ignore": 0, "segmentation": [], "image_id": "BloodImage_00356", "id": 2437}, {"area": 9504, "iscrowd": 0, "bbox": [125, 0, 96, 99], "category_id": 2, "ignore": 0, "segmentation": [], "image_id": "BloodImage_00356", "id": 2438}, {"area": 9540, "iscrowd": 0, "bbox": [0, 195, 106, 90], "category_id": 2, "ignore": 0, "segmentation": [], "image_id": "BloodImage_00356", "id": 2439}, {"area": 33473, "iscrowd": 0, "bbox": [116, 229, 179, 187], "category_id": 1, "ignore": 0, "segmentation": [], "image_id": "BloodImage_00356", "id": 2440}, {"area": 9116, "iscrowd": 0, "bbox": [4, 248, 86, 106], "category_id": 2, "ignore": 0, "segmentation": [], "image_id": "BloodImage_00357", "id": 2441}, {"area": 12654, "iscrowd": 0, "bbox": [209, 7, 114, 111], "category_id": 2, "ignore": 0, "segmentation": [], "image_id": "BloodImage_00357", "id": 2442}, {"area": 11088, "iscrowd": 0, "bbox": [157, 282, 99, 112], "category_id": 2, "ignore": 0, "segmentation": [], "image_id": "BloodImage_00357", "id": 2443}, {"area": 6888, "iscrowd": 0, "bbox": [82, 398, 84, 82], "category_id": 2, "ignore": 0, "segmentation": [], "image_id": "BloodImage_00357", "id": 2444}, {"area": 10608, "iscrowd": 0, "bbox": [533, 12, 102, 104], "category_id": 2, "ignore": 0, "segmentation": [], "image_id": "BloodImage_00357", "id": 2445}, {"area": 8099, "iscrowd": 0, "bbox": [408, 84, 91, 89], "category_id": 2, "ignore": 0, "segmentation": [], "image_id": "BloodImage_00357", "id": 2446}, {"area": 11514, "iscrowd": 0, "bbox": [246, 224, 114, 101], "category_id": 2, "ignore": 0, "segmentation": [], "image_id": "BloodImage_00357", "id": 2447}, {"area": 11514, "iscrowd": 0, "bbox": [267, 292, 114, 101], "category_id": 2, "ignore": 0, "segmentation": [], "image_id": "BloodImage_00357", "id": 2448}, {"area": 12535, "iscrowd": 0, "bbox": [83, 178, 109, 115], "category_id": 2, "ignore": 0, "segmentation": [], "image_id": "BloodImage_00357", "id": 2449}, {"area": 12535, "iscrowd": 0, "bbox": [154, 156, 109, 115], "category_id": 2, "ignore": 0, "segmentation": [], "image_id": "BloodImage_00357", "id": 2450}, {"area": 11877, "iscrowd": 0, "bbox": [149, 0, 107, 111], "category_id": 2, "ignore": 0, "segmentation": [], "image_id": "BloodImage_00357", "id": 2451}, {"area": 7171, "iscrowd": 0, "bbox": [332, 360, 101, 71], "category_id": 2, "ignore": 0, "segmentation": [], "image_id": "BloodImage_00357", "id": 2452}, {"area": 8010, "iscrowd": 0, "bbox": [0, 111, 90, 89], "category_id": 2, "ignore": 0, "segmentation": [], "image_id": "BloodImage_00357", "id": 2453}, {"area": 55890, "iscrowd": 0, "bbox": [382, 204, 243, 230], "category_id": 1, "ignore": 0, "segmentation": [], "image_id": "BloodImage_00357", "id": 2454}, {"area": 9200, "iscrowd": 0, "bbox": [224, 232, 100, 92], "category_id": 2, "ignore": 0, "segmentation": [], "image_id": "BloodImage_00359", "id": 2455}, {"area": 6480, "iscrowd": 0, "bbox": [482, 221, 80, 81], "category_id": 2, "ignore": 0, "segmentation": [], "image_id": "BloodImage_00359", "id": 2456}, {"area": 11770, "iscrowd": 0, "bbox": [357, 180, 110, 107], "category_id": 2, "ignore": 0, "segmentation": [], "image_id": "BloodImage_00359", "id": 2457}, {"area": 11770, "iscrowd": 0, "bbox": [334, 368, 110, 107], "category_id": 2, "ignore": 0, "segmentation": [], "image_id": "BloodImage_00359", "id": 2458}, {"area": 11770, "iscrowd": 0, "bbox": [220, 351, 110, 107], "category_id": 2, "ignore": 0, "segmentation": [], "image_id": "BloodImage_00359", "id": 2459}, {"area": 11100, "iscrowd": 0, "bbox": [377, 278, 111, 100], "category_id": 2, "ignore": 0, "segmentation": [], "image_id": "BloodImage_00359", "id": 2460}, {"area": 8366, "iscrowd": 0, "bbox": [422, 31, 89, 94], "category_id": 2, "ignore": 0, "segmentation": [], "image_id": "BloodImage_00359", "id": 2461}, {"area": 11040, "iscrowd": 0, "bbox": [514, 288, 115, 96], "category_id": 2, "ignore": 0, "segmentation": [], "image_id": "BloodImage_00359", "id": 2462}, {"area": 10692, "iscrowd": 0, "bbox": [21, 72, 108, 99], "category_id": 2, "ignore": 0, "segmentation": [], "image_id": "BloodImage_00359", "id": 2463}, {"area": 9200, "iscrowd": 0, "bbox": [124, 74, 100, 92], "category_id": 2, "ignore": 0, "segmentation": [], "image_id": "BloodImage_00359", "id": 2464}, {"area": 11128, "iscrowd": 0, "bbox": [223, 17, 104, 107], "category_id": 2, "ignore": 0, "segmentation": [], "image_id": "BloodImage_00359", "id": 2465}, {"area": 12036, "iscrowd": 0, "bbox": [325, 72, 102, 118], "category_id": 2, "ignore": 0, "segmentation": [], "image_id": "BloodImage_00359", "id": 2466}, {"area": 10962, "iscrowd": 0, "bbox": [553, 39, 87, 126], "category_id": 2, "ignore": 0, "segmentation": [], "image_id": "BloodImage_00359", "id": 2467}, {"area": 6500, "iscrowd": 0, "bbox": [142, 0, 100, 65], "category_id": 2, "ignore": 0, "segmentation": [], "image_id": "BloodImage_00359", "id": 2468}, {"area": 48618, "iscrowd": 0, "bbox": [0, 200, 219, 222], "category_id": 1, "ignore": 0, "segmentation": [], "image_id": "BloodImage_00359", "id": 2469}, {"area": 8536, "iscrowd": 0, "bbox": [456, 163, 97, 88], "category_id": 2, "ignore": 0, "segmentation": [], "image_id": "BloodImage_00361", "id": 2470}, {"area": 7826, "iscrowd": 0, "bbox": [500, 260, 86, 91], "category_id": 2, "ignore": 0, "segmentation": [], "image_id": "BloodImage_00361", "id": 2471}, {"area": 7384, "iscrowd": 0, "bbox": [569, 302, 71, 104], "category_id": 2, "ignore": 0, "segmentation": [], "image_id": "BloodImage_00361", "id": 2472}, {"area": 10044, "iscrowd": 0, "bbox": [471, 352, 108, 93], "category_id": 2, "ignore": 0, "segmentation": [], "image_id": "BloodImage_00361", "id": 2473}, {"area": 8742, "iscrowd": 0, "bbox": [43, 309, 93, 94], "category_id": 2, "ignore": 0, "segmentation": [], "image_id": "BloodImage_00361", "id": 2474}, {"area": 9804, "iscrowd": 0, "bbox": [24, 393, 114, 86], "category_id": 2, "ignore": 0, "segmentation": [], "image_id": "BloodImage_00361", "id": 2475}, {"area": 15004, "iscrowd": 0, "bbox": [120, 273, 124, 121], "category_id": 2, "ignore": 0, "segmentation": [], "image_id": "BloodImage_00361", "id": 2476}, {"area": 10780, "iscrowd": 0, "bbox": [161, 139, 98, 110], "category_id": 2, "ignore": 0, "segmentation": [], "image_id": "BloodImage_00361", "id": 2477}, {"area": 6960, "iscrowd": 0, "bbox": [18, 0, 80, 87], "category_id": 2, "ignore": 0, "segmentation": [], "image_id": "BloodImage_00361", "id": 2478}, {"area": 9282, "iscrowd": 0, "bbox": [152, 46, 102, 91], "category_id": 2, "ignore": 0, "segmentation": [], "image_id": "BloodImage_00361", "id": 2479}, {"area": 5742, "iscrowd": 0, "bbox": [231, 414, 87, 66], "category_id": 2, "ignore": 0, "segmentation": [], "image_id": "BloodImage_00361", "id": 2480}, {"area": 11858, "iscrowd": 0, "bbox": [94, 37, 98, 121], "category_id": 2, "ignore": 0, "segmentation": [], "image_id": "BloodImage_00361", "id": 2481}, {"area": 6231, "iscrowd": 0, "bbox": [573, 207, 67, 93], "category_id": 2, "ignore": 0, "segmentation": [], "image_id": "BloodImage_00361", "id": 2482}, {"area": 8536, "iscrowd": 0, "bbox": [224, 222, 97, 88], "category_id": 2, "ignore": 0, "segmentation": [], "image_id": "BloodImage_00361", "id": 2483}, {"area": 55876, "iscrowd": 0, "bbox": [214, 39, 244, 229], "category_id": 1, "ignore": 0, "segmentation": [], "image_id": "BloodImage_00361", "id": 2484}, {"area": 11554, "iscrowd": 0, "bbox": [211, 273, 109, 106], "category_id": 2, "ignore": 0, "segmentation": [], "image_id": "BloodImage_00362", "id": 2485}, {"area": 10088, "iscrowd": 0, "bbox": [119, 243, 97, 104], "category_id": 2, "ignore": 0, "segmentation": [], "image_id": "BloodImage_00362", "id": 2486}, {"area": 10088, "iscrowd": 0, "bbox": [241, 156, 97, 104], "category_id": 2, "ignore": 0, "segmentation": [], "image_id": "BloodImage_00362", "id": 2487}, {"area": 12208, "iscrowd": 0, "bbox": [84, 132, 112, 109], "category_id": 2, "ignore": 0, "segmentation": [], "image_id": "BloodImage_00362", "id": 2488}, {"area": 12208, "iscrowd": 0, "bbox": [508, 96, 112, 109], "category_id": 2, "ignore": 0, "segmentation": [], "image_id": "BloodImage_00362", "id": 2489}, {"area": 12208, "iscrowd": 0, "bbox": [138, 2, 112, 109], "category_id": 2, "ignore": 0, "segmentation": [], "image_id": "BloodImage_00362", "id": 2490}, {"area": 14706, "iscrowd": 0, "bbox": [391, 100, 129, 114], "category_id": 2, "ignore": 0, "segmentation": [], "image_id": "BloodImage_00362", "id": 2491}, {"area": 14418, "iscrowd": 0, "bbox": [318, 135, 162, 89], "category_id": 2, "ignore": 0, "segmentation": [], "image_id": "BloodImage_00362", "id": 2492}, {"area": 14443, "iscrowd": 0, "bbox": [359, 247, 143, 101], "category_id": 2, "ignore": 0, "segmentation": [], "image_id": "BloodImage_00362", "id": 2493}, {"area": 12198, "iscrowd": 0, "bbox": [459, 285, 114, 107], "category_id": 2, "ignore": 0, "segmentation": [], "image_id": "BloodImage_00362", "id": 2494}, {"area": 8466, "iscrowd": 0, "bbox": [481, 397, 102, 83], "category_id": 2, "ignore": 0, "segmentation": [], "image_id": "BloodImage_00362", "id": 2495}, {"area": 26931, "iscrowd": 0, "bbox": [26, 339, 191, 141], "category_id": 1, "ignore": 0, "segmentation": [], "image_id": "BloodImage_00362", "id": 2496}, {"area": 8160, "iscrowd": 0, "bbox": [185, 101, 85, 96], "category_id": 2, "ignore": 0, "segmentation": [], "image_id": "BloodImage_00364", "id": 2497}, {"area": 8160, "iscrowd": 0, "bbox": [519, 117, 85, 96], "category_id": 2, "ignore": 0, "segmentation": [], "image_id": "BloodImage_00364", "id": 2498}, {"area": 8160, "iscrowd": 0, "bbox": [555, 300, 85, 96], "category_id": 2, "ignore": 0, "segmentation": [], "image_id": "BloodImage_00364", "id": 2499}, {"area": 11970, "iscrowd": 0, "bbox": [145, 199, 114, 105], "category_id": 2, "ignore": 0, "segmentation": [], "image_id": "BloodImage_00364", "id": 2500}, {"area": 11016, "iscrowd": 0, "bbox": [252, 173, 102, 108], "category_id": 2, "ignore": 0, "segmentation": [], "image_id": "BloodImage_00364", "id": 2501}, {"area": 10137, "iscrowd": 0, "bbox": [188, 291, 93, 109], "category_id": 2, "ignore": 0, "segmentation": [], "image_id": "BloodImage_00364", "id": 2502}, {"area": 11340, "iscrowd": 0, "bbox": [417, 245, 105, 108], "category_id": 2, "ignore": 0, "segmentation": [], "image_id": "BloodImage_00364", "id": 2503}, {"area": 10098, "iscrowd": 0, "bbox": [36, 235, 102, 99], "category_id": 2, "ignore": 0, "segmentation": [], "image_id": "BloodImage_00364", "id": 2504}, {"area": 11250, "iscrowd": 0, "bbox": [76, 0, 125, 90], "category_id": 2, "ignore": 0, "segmentation": [], "image_id": "BloodImage_00364", "id": 2505}, {"area": 8906, "iscrowd": 0, "bbox": [335, 407, 122, 73], "category_id": 2, "ignore": 0, "segmentation": [], "image_id": "BloodImage_00364", "id": 2506}, {"area": 11016, "iscrowd": 0, "bbox": [347, 150, 102, 108], "category_id": 2, "ignore": 0, "segmentation": [], "image_id": "BloodImage_00364", "id": 2507}, {"area": 7931, "iscrowd": 0, "bbox": [537, 213, 103, 77], "category_id": 2, "ignore": 0, "segmentation": [], "image_id": "BloodImage_00364", "id": 2508}, {"area": 12390, "iscrowd": 0, "bbox": [50, 99, 105, 118], "category_id": 2, "ignore": 0, "segmentation": [], "image_id": "BloodImage_00364", "id": 2509}, {"area": 11330, "iscrowd": 0, "bbox": [73, 324, 103, 110], "category_id": 2, "ignore": 0, "segmentation": [], "image_id": "BloodImage_00364", "id": 2510}, {"area": 2208, "iscrowd": 0, "bbox": [176, 397, 48, 46], "category_id": 3, "ignore": 0, "segmentation": [], "image_id": "BloodImage_00364", "id": 2511}, {"area": 35802, "iscrowd": 0, "bbox": [324, 0, 221, 162], "category_id": 1, "ignore": 0, "segmentation": [], "image_id": "BloodImage_00364", "id": 2512}, {"area": 11520, "iscrowd": 0, "bbox": [274, 288, 96, 120], "category_id": 2, "ignore": 0, "segmentation": [], "image_id": "BloodImage_00369", "id": 2513}, {"area": 7663, "iscrowd": 0, "bbox": [391, 303, 97, 79], "category_id": 2, "ignore": 0, "segmentation": [], "image_id": "BloodImage_00369", "id": 2514}, {"area": 11730, "iscrowd": 0, "bbox": [10, 250, 115, 102], "category_id": 2, "ignore": 0, "segmentation": [], "image_id": "BloodImage_00369", "id": 2515}, {"area": 11155, "iscrowd": 0, "bbox": [127, 306, 97, 115], "category_id": 2, "ignore": 0, "segmentation": [], "image_id": "BloodImage_00369", "id": 2516}, {"area": 12430, "iscrowd": 0, "bbox": [6, 332, 113, 110], "category_id": 2, "ignore": 0, "segmentation": [], "image_id": "BloodImage_00369", "id": 2517}, {"area": 11984, "iscrowd": 0, "bbox": [158, 136, 112, 107], "category_id": 2, "ignore": 0, "segmentation": [], "image_id": "BloodImage_00369", "id": 2518}, {"area": 12257, "iscrowd": 0, "bbox": [501, 241, 119, 103], "category_id": 2, "ignore": 0, "segmentation": [], "image_id": "BloodImage_00369", "id": 2519}, {"area": 11160, "iscrowd": 0, "bbox": [400, 377, 120, 93], "category_id": 2, "ignore": 0, "segmentation": [], "image_id": "BloodImage_00369", "id": 2520}, {"area": 13054, "iscrowd": 0, "bbox": [241, 112, 107, 122], "category_id": 2, "ignore": 0, "segmentation": [], "image_id": "BloodImage_00369", "id": 2521}, {"area": 9702, "iscrowd": 0, "bbox": [0, 79, 98, 99], "category_id": 2, "ignore": 0, "segmentation": [], "image_id": "BloodImage_00369", "id": 2522}, {"area": 11655, "iscrowd": 0, "bbox": [0, 168, 111, 105], "category_id": 2, "ignore": 0, "segmentation": [], "image_id": "BloodImage_00369", "id": 2523}, {"area": 11682, "iscrowd": 0, "bbox": [110, 48, 118, 99], "category_id": 2, "ignore": 0, "segmentation": [], "image_id": "BloodImage_00369", "id": 2524}, {"area": 8400, "iscrowd": 0, "bbox": [387, 42, 112, 75], "category_id": 2, "ignore": 0, "segmentation": [], "image_id": "BloodImage_00369", "id": 2525}, {"area": 12688, "iscrowd": 0, "bbox": [495, 28, 104, 122], "category_id": 2, "ignore": 0, "segmentation": [], "image_id": "BloodImage_00369", "id": 2526}, {"area": 7314, "iscrowd": 0, "bbox": [236, 411, 106, 69], "category_id": 2, "ignore": 0, "segmentation": [], "image_id": "BloodImage_00369", "id": 2527}, {"area": 8330, "iscrowd": 0, "bbox": [299, 0, 98, 85], "category_id": 2, "ignore": 0, "segmentation": [], "image_id": "BloodImage_00369", "id": 2528}, {"area": 8075, "iscrowd": 0, "bbox": [68, 0, 95, 85], "category_id": 2, "ignore": 0, "segmentation": [], "image_id": "BloodImage_00369", "id": 2529}, {"area": 39203, "iscrowd": 0, "bbox": [323, 106, 199, 197], "category_id": 1, "ignore": 0, "segmentation": [], "image_id": "BloodImage_00369", "id": 2530}, {"area": 2484, "iscrowd": 0, "bbox": [348, 395, 46, 54], "category_id": 3, "ignore": 0, "segmentation": [], "image_id": "BloodImage_00369", "id": 2531}, {"area": 3432, "iscrowd": 0, "bbox": [588, 128, 52, 66], "category_id": 3, "ignore": 0, "segmentation": [], "image_id": "BloodImage_00369", "id": 2532}, {"area": 11252, "iscrowd": 0, "bbox": [17, 67, 116, 97], "category_id": 2, "ignore": 0, "segmentation": [], "image_id": "BloodImage_00370", "id": 2533}, {"area": 10120, "iscrowd": 0, "bbox": [19, 167, 110, 92], "category_id": 2, "ignore": 0, "segmentation": [], "image_id": "BloodImage_00370", "id": 2534}, {"area": 11433, "iscrowd": 0, "bbox": [94, 252, 111, 103], "category_id": 2, "ignore": 0, "segmentation": [], "image_id": "BloodImage_00370", "id": 2535}, {"area": 11155, "iscrowd": 0, "bbox": [23, 326, 115, 97], "category_id": 2, "ignore": 0, "segmentation": [], "image_id": "BloodImage_00370", "id": 2536}, {"area": 9690, "iscrowd": 0, "bbox": [150, 349, 114, 85], "category_id": 2, "ignore": 0, "segmentation": [], "image_id": "BloodImage_00370", "id": 2537}, {"area": 11115, "iscrowd": 0, "bbox": [241, 345, 117, 95], "category_id": 2, "ignore": 0, "segmentation": [], "image_id": "BloodImage_00370", "id": 2538}, {"area": 11877, "iscrowd": 0, "bbox": [361, 347, 107, 111], "category_id": 2, "ignore": 0, "segmentation": [], "image_id": "BloodImage_00370", "id": 2539}, {"area": 8568, "iscrowd": 0, "bbox": [441, 352, 102, 84], "category_id": 2, "ignore": 0, "segmentation": [], "image_id": "BloodImage_00370", "id": 2540}, {"area": 11009, "iscrowd": 0, "bbox": [451, 245, 101, 109], "category_id": 2, "ignore": 0, "segmentation": [], "image_id": "BloodImage_00370", "id": 2541}, {"area": 9672, "iscrowd": 0, "bbox": [493, 212, 124, 78], "category_id": 2, "ignore": 0, "segmentation": [], "image_id": "BloodImage_00370", "id": 2542}, {"area": 10250, "iscrowd": 0, "bbox": [472, 126, 125, 82], "category_id": 2, "ignore": 0, "segmentation": [], "image_id": "BloodImage_00370", "id": 2543}, {"area": 10767, "iscrowd": 0, "bbox": [322, 46, 111, 97], "category_id": 2, "ignore": 0, "segmentation": [], "image_id": "BloodImage_00370", "id": 2544}, {"area": 13455, "iscrowd": 0, "bbox": [482, 0, 115, 117], "category_id": 2, "ignore": 0, "segmentation": [], "image_id": "BloodImage_00370", "id": 2545}, {"area": 16348, "iscrowd": 0, "bbox": [172, 82, 122, 134], "category_id": 2, "ignore": 0, "segmentation": [], "image_id": "BloodImage_00370", "id": 2546}, {"area": 49720, "iscrowd": 0, "bbox": [239, 125, 226, 220], "category_id": 1, "ignore": 0, "segmentation": [], "image_id": "BloodImage_00370", "id": 2547}, {"area": 10098, "iscrowd": 0, "bbox": [38, 368, 102, 99], "category_id": 2, "ignore": 0, "segmentation": [], "image_id": "BloodImage_00371", "id": 2548}, {"area": 9506, "iscrowd": 0, "bbox": [11, 283, 98, 97], "category_id": 2, "ignore": 0, "segmentation": [], "image_id": "BloodImage_00371", "id": 2549}, {"area": 10434, "iscrowd": 0, "bbox": [529, 206, 111, 94], "category_id": 2, "ignore": 0, "segmentation": [], "image_id": "BloodImage_00371", "id": 2550}, {"area": 12360, "iscrowd": 0, "bbox": [297, 248, 103, 120], "category_id": 2, "ignore": 0, "segmentation": [], "image_id": "BloodImage_00371", "id": 2551}, {"area": 11918, "iscrowd": 0, "bbox": [389, 38, 101, 118], "category_id": 2, "ignore": 0, "segmentation": [], "image_id": "BloodImage_00371", "id": 2552}, {"area": 9595, "iscrowd": 0, "bbox": [78, 10, 101, 95], "category_id": 2, "ignore": 0, "segmentation": [], "image_id": "BloodImage_00371", "id": 2553}, {"area": 10556, "iscrowd": 0, "bbox": [383, 263, 116, 91], "category_id": 2, "ignore": 0, "segmentation": [], "image_id": "BloodImage_00371", "id": 2554}, {"area": 10200, "iscrowd": 0, "bbox": [9, 82, 102, 100], "category_id": 2, "ignore": 0, "segmentation": [], "image_id": "BloodImage_00371", "id": 2555}, {"area": 10712, "iscrowd": 0, "bbox": [47, 150, 104, 103], "category_id": 2, "ignore": 0, "segmentation": [], "image_id": "BloodImage_00371", "id": 2556}, {"area": 9900, "iscrowd": 0, "bbox": [172, 274, 100, 99], "category_id": 2, "ignore": 0, "segmentation": [], "image_id": "BloodImage_00371", "id": 2557}, {"area": 11021, "iscrowd": 0, "bbox": [522, 369, 107, 103], "category_id": 2, "ignore": 0, "segmentation": [], "image_id": "BloodImage_00371", "id": 2558}, {"area": 8245, "iscrowd": 0, "bbox": [181, 9, 97, 85], "category_id": 2, "ignore": 0, "segmentation": [], "image_id": "BloodImage_00371", "id": 2559}, {"area": 45580, "iscrowd": 0, "bbox": [174, 86, 215, 212], "category_id": 1, "ignore": 0, "segmentation": [], "image_id": "BloodImage_00371", "id": 2560}, {"area": 13108, "iscrowd": 0, "bbox": [133, 246, 116, 113], "category_id": 2, "ignore": 0, "segmentation": [], "image_id": "BloodImage_00372", "id": 2561}, {"area": 13108, "iscrowd": 0, "bbox": [355, 61, 116, 113], "category_id": 2, "ignore": 0, "segmentation": [], "image_id": "BloodImage_00372", "id": 2562}, {"area": 13108, "iscrowd": 0, "bbox": [403, 286, 116, 113], "category_id": 2, "ignore": 0, "segmentation": [], "image_id": "BloodImage_00372", "id": 2563}, {"area": 8732, "iscrowd": 0, "bbox": [323, 177, 74, 118], "category_id": 2, "ignore": 0, "segmentation": [], "image_id": "BloodImage_00372", "id": 2564}, {"area": 14500, "iscrowd": 0, "bbox": [142, 130, 125, 116], "category_id": 2, "ignore": 0, "segmentation": [], "image_id": "BloodImage_00372", "id": 2565}, {"area": 11772, "iscrowd": 0, "bbox": [275, 363, 108, 109], "category_id": 2, "ignore": 0, "segmentation": [], "image_id": "BloodImage_00372", "id": 2566}, {"area": 12771, "iscrowd": 0, "bbox": [143, 352, 129, 99], "category_id": 2, "ignore": 0, "segmentation": [], "image_id": "BloodImage_00372", "id": 2567}, {"area": 13108, "iscrowd": 0, "bbox": [497, 210, 116, 113], "category_id": 2, "ignore": 0, "segmentation": [], "image_id": "BloodImage_00372", "id": 2568}, {"area": 10504, "iscrowd": 0, "bbox": [482, 376, 101, 104], "category_id": 2, "ignore": 0, "segmentation": [], "image_id": "BloodImage_00372", "id": 2569}, {"area": 8541, "iscrowd": 0, "bbox": [324, 0, 117, 73], "category_id": 2, "ignore": 0, "segmentation": [], "image_id": "BloodImage_00372", "id": 2570}, {"area": 12876, "iscrowd": 0, "bbox": [256, 179, 116, 111], "category_id": 2, "ignore": 0, "segmentation": [], "image_id": "BloodImage_00372", "id": 2571}, {"area": 12054, "iscrowd": 0, "bbox": [65, 348, 123, 98], "category_id": 2, "ignore": 0, "segmentation": [], "image_id": "BloodImage_00372", "id": 2572}, {"area": 34662, "iscrowd": 0, "bbox": [131, 0, 218, 159], "category_id": 1, "ignore": 0, "segmentation": [], "image_id": "BloodImage_00372", "id": 2573}, {"area": 14042, "iscrowd": 0, "bbox": [240, 94, 118, 119], "category_id": 2, "ignore": 0, "segmentation": [], "image_id": "BloodImage_00374", "id": 2574}, {"area": 14042, "iscrowd": 0, "bbox": [386, 295, 118, 119], "category_id": 2, "ignore": 0, "segmentation": [], "image_id": "BloodImage_00374", "id": 2575}, {"area": 14042, "iscrowd": 0, "bbox": [484, 331, 118, 119], "category_id": 2, "ignore": 0, "segmentation": [], "image_id": "BloodImage_00374", "id": 2576}, {"area": 11500, "iscrowd": 0, "bbox": [525, 126, 115, 100], "category_id": 2, "ignore": 0, "segmentation": [], "image_id": "BloodImage_00374", "id": 2577}, {"area": 10320, "iscrowd": 0, "bbox": [554, 224, 86, 120], "category_id": 2, "ignore": 0, "segmentation": [], "image_id": "BloodImage_00374", "id": 2578}, {"area": 10388, "iscrowd": 0, "bbox": [438, 201, 106, 98], "category_id": 2, "ignore": 0, "segmentation": [], "image_id": "BloodImage_00374", "id": 2579}, {"area": 10388, "iscrowd": 0, "bbox": [406, 88, 106, 98], "category_id": 2, "ignore": 0, "segmentation": [], "image_id": "BloodImage_00374", "id": 2580}, {"area": 10388, "iscrowd": 0, "bbox": [433, 1, 106, 98], "category_id": 2, "ignore": 0, "segmentation": [], "image_id": "BloodImage_00374", "id": 2581}, {"area": 10388, "iscrowd": 0, "bbox": [106, 27, 106, 98], "category_id": 2, "ignore": 0, "segmentation": [], "image_id": "BloodImage_00374", "id": 2582}, {"area": 43581, "iscrowd": 0, "bbox": [184, 281, 219, 199], "category_id": 1, "ignore": 0, "segmentation": [], "image_id": "BloodImage_00374", "id": 2583}, {"area": 54648, "iscrowd": 0, "bbox": [0, 124, 216, 253], "category_id": 1, "ignore": 0, "segmentation": [], "image_id": "BloodImage_00374", "id": 2584}, {"area": 12875, "iscrowd": 0, "bbox": [258, 63, 125, 103], "category_id": 2, "ignore": 0, "segmentation": [], "image_id": "BloodImage_00376", "id": 2585}, {"area": 12208, "iscrowd": 0, "bbox": [167, 289, 112, 109], "category_id": 2, "ignore": 0, "segmentation": [], "image_id": "BloodImage_00376", "id": 2586}, {"area": 10416, "iscrowd": 0, "bbox": [277, 187, 93, 112], "category_id": 2, "ignore": 0, "segmentation": [], "image_id": "BloodImage_00376", "id": 2587}, {"area": 11448, "iscrowd": 0, "bbox": [452, 76, 108, 106], "category_id": 2, "ignore": 0, "segmentation": [], "image_id": "BloodImage_00376", "id": 2588}, {"area": 10272, "iscrowd": 0, "bbox": [364, 162, 96, 107], "category_id": 2, "ignore": 0, "segmentation": [], "image_id": "BloodImage_00376", "id": 2589}, {"area": 10272, "iscrowd": 0, "bbox": [81, 6, 96, 107], "category_id": 2, "ignore": 0, "segmentation": [], "image_id": "BloodImage_00376", "id": 2590}, {"area": 9360, "iscrowd": 0, "bbox": [0, 236, 72, 130], "category_id": 2, "ignore": 0, "segmentation": [], "image_id": "BloodImage_00376", "id": 2591}, {"area": 12036, "iscrowd": 0, "bbox": [535, 159, 102, 118], "category_id": 2, "ignore": 0, "segmentation": [], "image_id": "BloodImage_00376", "id": 2592}, {"area": 8265, "iscrowd": 0, "bbox": [320, 288, 87, 95], "category_id": 2, "ignore": 0, "segmentation": [], "image_id": "BloodImage_00376", "id": 2593}, {"area": 9040, "iscrowd": 0, "bbox": [45, 400, 113, 80], "category_id": 2, "ignore": 0, "segmentation": [], "image_id": "BloodImage_00376", "id": 2594}, {"area": 47328, "iscrowd": 0, "bbox": [373, 276, 232, 204], "category_id": 1, "ignore": 0, "segmentation": [], "image_id": "BloodImage_00376", "id": 2595}, {"area": 12733, "iscrowd": 0, "bbox": [447, 243, 119, 107], "category_id": 2, "ignore": 0, "segmentation": [], "image_id": "BloodImage_00377", "id": 2596}, {"area": 9216, "iscrowd": 0, "bbox": [237, 214, 96, 96], "category_id": 2, "ignore": 0, "segmentation": [], "image_id": "BloodImage_00377", "id": 2597}, {"area": 11303, "iscrowd": 0, "bbox": [14, 279, 89, 127], "category_id": 2, "ignore": 0, "segmentation": [], "image_id": "BloodImage_00377", "id": 2598}, {"area": 11270, "iscrowd": 0, "bbox": [238, 69, 115, 98], "category_id": 2, "ignore": 0, "segmentation": [], "image_id": "BloodImage_00377", "id": 2599}, {"area": 14136, "iscrowd": 0, "bbox": [466, 12, 124, 114], "category_id": 2, "ignore": 0, "segmentation": [], "image_id": "BloodImage_00377", "id": 2600}, {"area": 11663, "iscrowd": 0, "bbox": [411, 129, 109, 107], "category_id": 2, "ignore": 0, "segmentation": [], "image_id": "BloodImage_00377", "id": 2601}, {"area": 14042, "iscrowd": 0, "bbox": [328, 136, 119, 118], "category_id": 2, "ignore": 0, "segmentation": [], "image_id": "BloodImage_00377", "id": 2602}, {"area": 11520, "iscrowd": 0, "bbox": [354, 384, 120, 96], "category_id": 2, "ignore": 0, "segmentation": [], "image_id": "BloodImage_00377", "id": 2603}, {"area": 10403, "iscrowd": 0, "bbox": [339, 258, 103, 101], "category_id": 2, "ignore": 0, "segmentation": [], "image_id": "BloodImage_00377", "id": 2604}, {"area": 9696, "iscrowd": 0, "bbox": [173, 137, 101, 96], "category_id": 2, "ignore": 0, "segmentation": [], "image_id": "BloodImage_00377", "id": 2605}, {"area": 11682, "iscrowd": 0, "bbox": [97, 46, 99, 118], "category_id": 2, "ignore": 0, "segmentation": [], "image_id": "BloodImage_00377", "id": 2606}, {"area": 11102, "iscrowd": 0, "bbox": [101, 155, 91, 122], "category_id": 2, "ignore": 0, "segmentation": [], "image_id": "BloodImage_00377", "id": 2607}, {"area": 8547, "iscrowd": 0, "bbox": [160, 0, 111, 77], "category_id": 2, "ignore": 0, "segmentation": [], "image_id": "BloodImage_00377", "id": 2608}, {"area": 42365, "iscrowd": 0, "bbox": [78, 295, 229, 185], "category_id": 1, "ignore": 0, "segmentation": [], "image_id": "BloodImage_00377", "id": 2609}, {"area": 1521, "iscrowd": 0, "bbox": [535, 101, 39, 39], "category_id": 3, "ignore": 0, "segmentation": [], "image_id": "BloodImage_00377", "id": 2610}, {"area": 1332, "iscrowd": 0, "bbox": [506, 119, 37, 36], "category_id": 3, "ignore": 0, "segmentation": [], "image_id": "BloodImage_00377", "id": 2611}, {"area": 10197, "iscrowd": 0, "bbox": [25, 216, 99, 103], "category_id": 2, "ignore": 0, "segmentation": [], "image_id": "BloodImage_00378", "id": 2612}, {"area": 10197, "iscrowd": 0, "bbox": [130, 224, 99, 103], "category_id": 2, "ignore": 0, "segmentation": [], "image_id": "BloodImage_00378", "id": 2613}, {"area": 10197, "iscrowd": 0, "bbox": [63, 114, 99, 103], "category_id": 2, "ignore": 0, "segmentation": [], "image_id": "BloodImage_00378", "id": 2614}, {"area": 8282, "iscrowd": 0, "bbox": [0, 112, 82, 101], "category_id": 2, "ignore": 0, "segmentation": [], "image_id": "BloodImage_00378", "id": 2615}, {"area": 9504, "iscrowd": 0, "bbox": [264, 172, 96, 99], "category_id": 2, "ignore": 0, "segmentation": [], "image_id": "BloodImage_00378", "id": 2616}, {"area": 11684, "iscrowd": 0, "bbox": [165, 130, 127, 92], "category_id": 2, "ignore": 0, "segmentation": [], "image_id": "BloodImage_00378", "id": 2617}, {"area": 8806, "iscrowd": 0, "bbox": [137, 63, 119, 74], "category_id": 2, "ignore": 0, "segmentation": [], "image_id": "BloodImage_00378", "id": 2618}, {"area": 9477, "iscrowd": 0, "bbox": [33, 0, 117, 81], "category_id": 2, "ignore": 0, "segmentation": [], "image_id": "BloodImage_00378", "id": 2619}, {"area": 14279, "iscrowd": 0, "bbox": [461, 53, 131, 109], "category_id": 2, "ignore": 0, "segmentation": [], "image_id": "BloodImage_00378", "id": 2620}, {"area": 9398, "iscrowd": 0, "bbox": [344, 0, 127, 74], "category_id": 2, "ignore": 0, "segmentation": [], "image_id": "BloodImage_00378", "id": 2621}, {"area": 10506, "iscrowd": 0, "bbox": [247, 70, 102, 103], "category_id": 2, "ignore": 0, "segmentation": [], "image_id": "BloodImage_00378", "id": 2622}, {"area": 12495, "iscrowd": 0, "bbox": [419, 180, 105, 119], "category_id": 2, "ignore": 0, "segmentation": [], "image_id": "BloodImage_00378", "id": 2623}, {"area": 10815, "iscrowd": 0, "bbox": [477, 166, 105, 103], "category_id": 2, "ignore": 0, "segmentation": [], "image_id": "BloodImage_00378", "id": 2624}, {"area": 10197, "iscrowd": 0, "bbox": [68, 368, 99, 103], "category_id": 2, "ignore": 0, "segmentation": [], "image_id": "BloodImage_00378", "id": 2625}, {"area": 10197, "iscrowd": 0, "bbox": [375, 292, 99, 103], "category_id": 2, "ignore": 0, "segmentation": [], "image_id": "BloodImage_00378", "id": 2626}, {"area": 44884, "iscrowd": 0, "bbox": [170, 284, 229, 196], "category_id": 1, "ignore": 0, "segmentation": [], "image_id": "BloodImage_00378", "id": 2627}, {"area": 8170, "iscrowd": 0, "bbox": [436, 28, 95, 86], "category_id": 2, "ignore": 0, "segmentation": [], "image_id": "BloodImage_00379", "id": 2628}, {"area": 10388, "iscrowd": 0, "bbox": [278, 57, 106, 98], "category_id": 2, "ignore": 0, "segmentation": [], "image_id": "BloodImage_00379", "id": 2629}, {"area": 8820, "iscrowd": 0, "bbox": [132, 95, 105, 84], "category_id": 2, "ignore": 0, "segmentation": [], "image_id": "BloodImage_00379", "id": 2630}, {"area": 10080, "iscrowd": 0, "bbox": [22, 66, 80, 126], "category_id": 2, "ignore": 0, "segmentation": [], "image_id": "BloodImage_00379", "id": 2631}, {"area": 14964, "iscrowd": 0, "bbox": [487, 146, 116, 129], "category_id": 2, "ignore": 0, "segmentation": [], "image_id": "BloodImage_00379", "id": 2632}, {"area": 10388, "iscrowd": 0, "bbox": [290, 157, 106, 98], "category_id": 2, "ignore": 0, "segmentation": [], "image_id": "BloodImage_00379", "id": 2633}, {"area": 9114, "iscrowd": 0, "bbox": [225, 161, 93, 98], "category_id": 2, "ignore": 0, "segmentation": [], "image_id": "BloodImage_00379", "id": 2634}, {"area": 10388, "iscrowd": 0, "bbox": [270, 319, 106, 98], "category_id": 2, "ignore": 0, "segmentation": [], "image_id": "BloodImage_00379", "id": 2635}, {"area": 11716, "iscrowd": 0, "bbox": [318, 257, 116, 101], "category_id": 2, "ignore": 0, "segmentation": [], "image_id": "BloodImage_00379", "id": 2636}, {"area": 11716, "iscrowd": 0, "bbox": [384, 212, 116, 101], "category_id": 2, "ignore": 0, "segmentation": [], "image_id": "BloodImage_00379", "id": 2637}, {"area": 11716, "iscrowd": 0, "bbox": [500, 300, 116, 101], "category_id": 2, "ignore": 0, "segmentation": [], "image_id": "BloodImage_00379", "id": 2638}, {"area": 9016, "iscrowd": 0, "bbox": [116, 173, 98, 92], "category_id": 2, "ignore": 0, "segmentation": [], "image_id": "BloodImage_00379", "id": 2639}, {"area": 9016, "iscrowd": 0, "bbox": [72, 183, 98, 92], "category_id": 2, "ignore": 0, "segmentation": [], "image_id": "BloodImage_00379", "id": 2640}, {"area": 11328, "iscrowd": 0, "bbox": [104, 272, 118, 96], "category_id": 2, "ignore": 0, "segmentation": [], "image_id": "BloodImage_00379", "id": 2641}, {"area": 11328, "iscrowd": 0, "bbox": [186, 367, 118, 96], "category_id": 2, "ignore": 0, "segmentation": [], "image_id": "BloodImage_00379", "id": 2642}, {"area": 13920, "iscrowd": 0, "bbox": [158, 0, 145, 96], "category_id": 2, "ignore": 0, "segmentation": [], "image_id": "BloodImage_00379", "id": 2643}, {"area": 8170, "iscrowd": 0, "bbox": [416, 313, 95, 86], "category_id": 2, "ignore": 0, "segmentation": [], "image_id": "BloodImage_00379", "id": 2644}, {"area": 8170, "iscrowd": 0, "bbox": [403, 364, 95, 86], "category_id": 2, "ignore": 0, "segmentation": [], "image_id": "BloodImage_00379", "id": 2645}, {"area": 19206, "iscrowd": 0, "bbox": [21, 383, 198, 97], "category_id": 1, "ignore": 0, "segmentation": [], "image_id": "BloodImage_00379", "id": 2646}, {"area": 6790, "iscrowd": 0, "bbox": [0, 344, 70, 97], "category_id": 2, "ignore": 0, "segmentation": [], "image_id": "BloodImage_00382", "id": 2647}, {"area": 11342, "iscrowd": 0, "bbox": [36, 270, 107, 106], "category_id": 2, "ignore": 0, "segmentation": [], "image_id": "BloodImage_00382", "id": 2648}, {"area": 11342, "iscrowd": 0, "bbox": [124, 216, 107, 106], "category_id": 2, "ignore": 0, "segmentation": [], "image_id": "BloodImage_00382", "id": 2649}, {"area": 11342, "iscrowd": 0, "bbox": [141, 366, 107, 106], "category_id": 2, "ignore": 0, "segmentation": [], "image_id": "BloodImage_00382", "id": 2650}, {"area": 9408, "iscrowd": 0, "bbox": [217, 295, 98, 96], "category_id": 2, "ignore": 0, "segmentation": [], "image_id": "BloodImage_00382", "id": 2651}, {"area": 10545, "iscrowd": 0, "bbox": [282, 367, 95, 111], "category_id": 2, "ignore": 0, "segmentation": [], "image_id": "BloodImage_00382", "id": 2652}, {"area": 12535, "iscrowd": 0, "bbox": [437, 249, 115, 109], "category_id": 2, "ignore": 0, "segmentation": [], "image_id": "BloodImage_00382", "id": 2653}, {"area": 12543, "iscrowd": 0, "bbox": [410, 132, 113, 111], "category_id": 2, "ignore": 0, "segmentation": [], "image_id": "BloodImage_00382", "id": 2654}, {"area": 11766, "iscrowd": 0, "bbox": [69, 48, 106, 111], "category_id": 2, "ignore": 0, "segmentation": [], "image_id": "BloodImage_00382", "id": 2655}, {"area": 11766, "iscrowd": 0, "bbox": [429, 12, 106, 111], "category_id": 2, "ignore": 0, "segmentation": [], "image_id": "BloodImage_00382", "id": 2656}, {"area": 12535, "iscrowd": 0, "bbox": [318, 257, 115, 109], "category_id": 2, "ignore": 0, "segmentation": [], "image_id": "BloodImage_00382", "id": 2657}, {"area": 9785, "iscrowd": 0, "bbox": [419, 385, 103, 95], "category_id": 2, "ignore": 0, "segmentation": [], "image_id": "BloodImage_00382", "id": 2658}, {"area": 9020, "iscrowd": 0, "bbox": [558, 329, 82, 110], "category_id": 2, "ignore": 0, "segmentation": [], "image_id": "BloodImage_00382", "id": 2659}, {"area": 52200, "iscrowd": 0, "bbox": [157, 34, 232, 225], "category_id": 1, "ignore": 0, "segmentation": [], "image_id": "BloodImage_00382", "id": 2660}, {"area": 5680, "iscrowd": 0, "bbox": [518, 153, 80, 71], "category_id": 3, "ignore": 0, "segmentation": [], "image_id": "BloodImage_00382", "id": 2661}, {"area": 1739, "iscrowd": 0, "bbox": [516, 0, 47, 37], "category_id": 3, "ignore": 0, "segmentation": [], "image_id": "BloodImage_00382", "id": 2662}, {"area": 11571, "iscrowd": 0, "bbox": [172, 273, 133, 87], "category_id": 2, "ignore": 0, "segmentation": [], "image_id": "BloodImage_00384", "id": 2663}, {"area": 15625, "iscrowd": 0, "bbox": [111, 348, 125, 125], "category_id": 2, "ignore": 0, "segmentation": [], "image_id": "BloodImage_00384", "id": 2664}, {"area": 15625, "iscrowd": 0, "bbox": [107, 76, 125, 125], "category_id": 2, "ignore": 0, "segmentation": [], "image_id": "BloodImage_00384", "id": 2665}, {"area": 14260, "iscrowd": 0, "bbox": [299, 92, 124, 115], "category_id": 2, "ignore": 0, "segmentation": [], "image_id": "BloodImage_00384", "id": 2666}, {"area": 13029, "iscrowd": 0, "bbox": [349, 0, 129, 101], "category_id": 2, "ignore": 0, "segmentation": [], "image_id": "BloodImage_00384", "id": 2667}, {"area": 12882, "iscrowd": 0, "bbox": [290, 200, 113, 114], "category_id": 2, "ignore": 0, "segmentation": [], "image_id": "BloodImage_00384", "id": 2668}, {"area": 17375, "iscrowd": 0, "bbox": [316, 320, 139, 125], "category_id": 2, "ignore": 0, "segmentation": [], "image_id": "BloodImage_00384", "id": 2669}, {"area": 13095, "iscrowd": 0, "bbox": [433, 88, 135, 97], "category_id": 2, "ignore": 0, "segmentation": [], "image_id": "BloodImage_00384", "id": 2670}, {"area": 11716, "iscrowd": 0, "bbox": [539, 102, 101, 116], "category_id": 2, "ignore": 0, "segmentation": [], "image_id": "BloodImage_00384", "id": 2671}, {"area": 7844, "iscrowd": 0, "bbox": [94, 0, 106, 74], "category_id": 2, "ignore": 0, "segmentation": [], "image_id": "BloodImage_00384", "id": 2672}, {"area": 44485, "iscrowd": 0, "bbox": [392, 174, 205, 217], "category_id": 1, "ignore": 0, "segmentation": [], "image_id": "BloodImage_00384", "id": 2673}, {"area": 13392, "iscrowd": 0, "bbox": [53, 261, 108, 124], "category_id": 2, "ignore": 0, "segmentation": [], "image_id": "BloodImage_00387", "id": 2674}, {"area": 13392, "iscrowd": 0, "bbox": [277, 48, 108, 124], "category_id": 2, "ignore": 0, "segmentation": [], "image_id": "BloodImage_00387", "id": 2675}, {"area": 13500, "iscrowd": 0, "bbox": [148, 158, 135, 100], "category_id": 2, "ignore": 0, "segmentation": [], "image_id": "BloodImage_00387", "id": 2676}, {"area": 9898, "iscrowd": 0, "bbox": [455, 214, 98, 101], "category_id": 2, "ignore": 0, "segmentation": [], "image_id": "BloodImage_00387", "id": 2677}, {"area": 9898, "iscrowd": 0, "bbox": [507, 148, 98, 101], "category_id": 2, "ignore": 0, "segmentation": [], "image_id": "BloodImage_00387", "id": 2678}, {"area": 13493, "iscrowd": 0, "bbox": [437, 16, 103, 131], "category_id": 2, "ignore": 0, "segmentation": [], "image_id": "BloodImage_00387", "id": 2679}, {"area": 14238, "iscrowd": 0, "bbox": [0, 70, 113, 126], "category_id": 2, "ignore": 0, "segmentation": [], "image_id": "BloodImage_00387", "id": 2680}, {"area": 9870, "iscrowd": 0, "bbox": [63, 0, 105, 94], "category_id": 2, "ignore": 0, "segmentation": [], "image_id": "BloodImage_00387", "id": 2681}, {"area": 9898, "iscrowd": 0, "bbox": [542, 64, 98, 101], "category_id": 2, "ignore": 0, "segmentation": [], "image_id": "BloodImage_00387", "id": 2682}, {"area": 10486, "iscrowd": 0, "bbox": [542, 257, 98, 107], "category_id": 2, "ignore": 0, "segmentation": [], "image_id": "BloodImage_00387", "id": 2683}, {"area": 55647, "iscrowd": 0, "bbox": [201, 235, 229, 243], "category_id": 1, "ignore": 0, "segmentation": [], "image_id": "BloodImage_00387", "id": 2684}, {"area": 1480, "iscrowd": 0, "bbox": [166, 354, 40, 37], "category_id": 3, "ignore": 0, "segmentation": [], "image_id": "BloodImage_00387", "id": 2685}, {"area": 2592, "iscrowd": 0, "bbox": [61, 176, 54, 48], "category_id": 3, "ignore": 0, "segmentation": [], "image_id": "BloodImage_00387", "id": 2686}, {"area": 17214, "iscrowd": 0, "bbox": [396, 164, 151, 114], "category_id": 2, "ignore": 0, "segmentation": [], "image_id": "BloodImage_00388", "id": 2687}, {"area": 16764, "iscrowd": 0, "bbox": [351, 268, 132, 127], "category_id": 2, "ignore": 0, "segmentation": [], "image_id": "BloodImage_00388", "id": 2688}, {"area": 11872, "iscrowd": 0, "bbox": [283, 374, 112, 106], "category_id": 2, "ignore": 0, "segmentation": [], "image_id": "BloodImage_00388", "id": 2689}, {"area": 12614, "iscrowd": 0, "bbox": [183, 315, 106, 119], "category_id": 2, "ignore": 0, "segmentation": [], "image_id": "BloodImage_00388", "id": 2690}, {"area": 12614, "iscrowd": 0, "bbox": [145, 228, 106, 119], "category_id": 2, "ignore": 0, "segmentation": [], "image_id": "BloodImage_00388", "id": 2691}, {"area": 11682, "iscrowd": 0, "bbox": [51, 277, 99, 118], "category_id": 2, "ignore": 0, "segmentation": [], "image_id": "BloodImage_00388", "id": 2692}, {"area": 13344, "iscrowd": 0, "bbox": [99, 132, 139, 96], "category_id": 2, "ignore": 0, "segmentation": [], "image_id": "BloodImage_00388", "id": 2693}, {"area": 9991, "iscrowd": 0, "bbox": [203, 54, 97, 103], "category_id": 2, "ignore": 0, "segmentation": [], "image_id": "BloodImage_00388", "id": 2694}, {"area": 10323, "iscrowd": 0, "bbox": [393, 37, 111, 93], "category_id": 2, "ignore": 0, "segmentation": [], "image_id": "BloodImage_00388", "id": 2695}, {"area": 7560, "iscrowd": 0, "bbox": [449, 410, 108, 70], "category_id": 2, "ignore": 0, "segmentation": [], "image_id": "BloodImage_00388", "id": 2696}, {"area": 27120, "iscrowd": 0, "bbox": [24, 0, 240, 113], "category_id": 1, "ignore": 0, "segmentation": [], "image_id": "BloodImage_00388", "id": 2697}, {"area": 15494, "iscrowd": 0, "bbox": [397, 289, 122, 127], "category_id": 2, "ignore": 0, "segmentation": [], "image_id": "BloodImage_00393", "id": 2698}, {"area": 17145, "iscrowd": 0, "bbox": [140, 239, 135, 127], "category_id": 2, "ignore": 0, "segmentation": [], "image_id": "BloodImage_00393", "id": 2699}, {"area": 10800, "iscrowd": 0, "bbox": [0, 188, 120, 90], "category_id": 2, "ignore": 0, "segmentation": [], "image_id": "BloodImage_00393", "id": 2700}, {"area": 9288, "iscrowd": 0, "bbox": [0, 372, 86, 108], "category_id": 2, "ignore": 0, "segmentation": [], "image_id": "BloodImage_00393", "id": 2701}, {"area": 13530, "iscrowd": 0, "bbox": [124, 14, 123, 110], "category_id": 2, "ignore": 0, "segmentation": [], "image_id": "BloodImage_00393", "id": 2702}, {"area": 13530, "iscrowd": 0, "bbox": [104, 121, 123, 110], "category_id": 2, "ignore": 0, "segmentation": [], "image_id": "BloodImage_00393", "id": 2703}, {"area": 9718, "iscrowd": 0, "bbox": [275, 393, 113, 86], "category_id": 2, "ignore": 0, "segmentation": [], "image_id": "BloodImage_00393", "id": 2704}, {"area": 7224, "iscrowd": 0, "bbox": [538, 11, 86, 84], "category_id": 2, "ignore": 0, "segmentation": [], "image_id": "BloodImage_00393", "id": 2705}, {"area": 15180, "iscrowd": 0, "bbox": [353, 19, 132, 115], "category_id": 2, "ignore": 0, "segmentation": [], "image_id": "BloodImage_00393", "id": 2706}, {"area": 11856, "iscrowd": 0, "bbox": [255, 0, 114, 104], "category_id": 2, "ignore": 0, "segmentation": [], "image_id": "BloodImage_00393", "id": 2707}, {"area": 11988, "iscrowd": 0, "bbox": [320, 270, 111, 108], "category_id": 2, "ignore": 0, "segmentation": [], "image_id": "BloodImage_00393", "id": 2708}, {"area": 47174, "iscrowd": 0, "bbox": [209, 91, 229, 206], "category_id": 1, "ignore": 0, "segmentation": [], "image_id": "BloodImage_00393", "id": 2709}, {"area": 12360, "iscrowd": 0, "bbox": [24, 89, 103, 120], "category_id": 2, "ignore": 0, "segmentation": [], "image_id": "BloodImage_00395", "id": 2710}, {"area": 10094, "iscrowd": 0, "bbox": [5, 0, 103, 98], "category_id": 2, "ignore": 0, "segmentation": [], "image_id": "BloodImage_00395", "id": 2711}, {"area": 9548, "iscrowd": 0, "bbox": [108, 0, 124, 77], "category_id": 2, "ignore": 0, "segmentation": [], "image_id": "BloodImage_00395", "id": 2712}, {"area": 13108, "iscrowd": 0, "bbox": [273, 5, 116, 113], "category_id": 2, "ignore": 0, "segmentation": [], "image_id": "BloodImage_00395", "id": 2713}, {"area": 13572, "iscrowd": 0, "bbox": [363, 172, 116, 117], "category_id": 2, "ignore": 0, "segmentation": [], "image_id": "BloodImage_00395", "id": 2714}, {"area": 10094, "iscrowd": 0, "bbox": [85, 265, 98, 103], "category_id": 2, "ignore": 0, "segmentation": [], "image_id": "BloodImage_00395", "id": 2715}, {"area": 10656, "iscrowd": 0, "bbox": [0, 313, 96, 111], "category_id": 2, "ignore": 0, "segmentation": [], "image_id": "BloodImage_00395", "id": 2716}, {"area": 10767, "iscrowd": 0, "bbox": [176, 330, 97, 111], "category_id": 2, "ignore": 0, "segmentation": [], "image_id": "BloodImage_00395", "id": 2717}, {"area": 9898, "iscrowd": 0, "bbox": [282, 305, 98, 101], "category_id": 2, "ignore": 0, "segmentation": [], "image_id": "BloodImage_00395", "id": 2718}, {"area": 11526, "iscrowd": 0, "bbox": [391, 295, 113, 102], "category_id": 2, "ignore": 0, "segmentation": [], "image_id": "BloodImage_00395", "id": 2719}, {"area": 11526, "iscrowd": 0, "bbox": [500, 369, 113, 102], "category_id": 2, "ignore": 0, "segmentation": [], "image_id": "BloodImage_00395", "id": 2720}, {"area": 10098, "iscrowd": 0, "bbox": [387, 61, 99, 102], "category_id": 2, "ignore": 0, "segmentation": [], "image_id": "BloodImage_00395", "id": 2721}, {"area": 6256, "iscrowd": 0, "bbox": [232, 411, 92, 68], "category_id": 2, "ignore": 0, "segmentation": [], "image_id": "BloodImage_00395", "id": 2722}, {"area": 7571, "iscrowd": 0, "bbox": [89, 411, 113, 67], "category_id": 2, "ignore": 0, "segmentation": [], "image_id": "BloodImage_00395", "id": 2723}, {"area": 54502, "iscrowd": 0, "bbox": [113, 65, 238, 229], "category_id": 1, "ignore": 0, "segmentation": [], "image_id": "BloodImage_00395", "id": 2724}, {"area": 4692, "iscrowd": 0, "bbox": [471, 200, 69, 68], "category_id": 3, "ignore": 0, "segmentation": [], "image_id": "BloodImage_00395", "id": 2725}, {"area": 1974, "iscrowd": 0, "bbox": [469, 42, 47, 42], "category_id": 3, "ignore": 0, "segmentation": [], "image_id": "BloodImage_00395", "id": 2726}, {"area": 12920, "iscrowd": 0, "bbox": [461, 367, 136, 95], "category_id": 2, "ignore": 0, "segmentation": [], "image_id": "BloodImage_00400", "id": 2727}, {"area": 14175, "iscrowd": 0, "bbox": [375, 103, 135, 105], "category_id": 2, "ignore": 0, "segmentation": [], "image_id": "BloodImage_00400", "id": 2728}, {"area": 11868, "iscrowd": 0, "bbox": [218, 223, 129, 92], "category_id": 2, "ignore": 0, "segmentation": [], "image_id": "BloodImage_00400", "id": 2729}, {"area": 10395, "iscrowd": 0, "bbox": [123, 285, 99, 105], "category_id": 2, "ignore": 0, "segmentation": [], "image_id": "BloodImage_00400", "id": 2730}, {"area": 9222, "iscrowd": 0, "bbox": [68, 392, 106, 87], "category_id": 2, "ignore": 0, "segmentation": [], "image_id": "BloodImage_00400", "id": 2731}, {"area": 11009, "iscrowd": 0, "bbox": [218, 324, 109, 101], "category_id": 2, "ignore": 0, "segmentation": [], "image_id": "BloodImage_00400", "id": 2732}, {"area": 14756, "iscrowd": 0, "bbox": [292, 290, 124, 119], "category_id": 2, "ignore": 0, "segmentation": [], "image_id": "BloodImage_00400", "id": 2733}, {"area": 11009, "iscrowd": 0, "bbox": [361, 202, 109, 101], "category_id": 2, "ignore": 0, "segmentation": [], "image_id": "BloodImage_00400", "id": 2734}, {"area": 11155, "iscrowd": 0, "bbox": [34, 0, 97, 115], "category_id": 2, "ignore": 0, "segmentation": [], "image_id": "BloodImage_00400", "id": 2735}, {"area": 10302, "iscrowd": 0, "bbox": [460, 194, 101, 102], "category_id": 2, "ignore": 0, "segmentation": [], "image_id": "BloodImage_00400", "id": 2736}, {"area": 10900, "iscrowd": 0, "bbox": [373, 0, 109, 100], "category_id": 2, "ignore": 0, "segmentation": [], "image_id": "BloodImage_00400", "id": 2737}, {"area": 10108, "iscrowd": 0, "bbox": [0, 109, 76, 133], "category_id": 2, "ignore": 0, "segmentation": [], "image_id": "BloodImage_00400", "id": 2738}, {"area": 52102, "iscrowd": 0, "bbox": [116, 17, 239, 218], "category_id": 1, "ignore": 0, "segmentation": [], "image_id": "BloodImage_00400", "id": 2739}, {"area": 13312, "iscrowd": 0, "bbox": [453, 196, 128, 104], "category_id": 2, "ignore": 0, "segmentation": [], "image_id": "BloodImage_00403", "id": 2740}, {"area": 7632, "iscrowd": 0, "bbox": [302, 283, 72, 106], "category_id": 2, "ignore": 0, "segmentation": [], "image_id": "BloodImage_00403", "id": 2741}, {"area": 13312, "iscrowd": 0, "bbox": [338, 158, 128, 104], "category_id": 2, "ignore": 0, "segmentation": [], "image_id": "BloodImage_00403", "id": 2742}, {"area": 13312, "iscrowd": 0, "bbox": [336, 156, 128, 104], "category_id": 2, "ignore": 0, "segmentation": [], "image_id": "BloodImage_00403", "id": 2743}, {"area": 6970, "iscrowd": 0, "bbox": [322, 119, 85, 82], "category_id": 2, "ignore": 0, "segmentation": [], "image_id": "BloodImage_00403", "id": 2744}, {"area": 13312, "iscrowd": 0, "bbox": [233, 83, 128, 104], "category_id": 2, "ignore": 0, "segmentation": [], "image_id": "BloodImage_00403", "id": 2745}, {"area": 11556, "iscrowd": 0, "bbox": [210, 0, 107, 108], "category_id": 2, "ignore": 0, "segmentation": [], "image_id": "BloodImage_00403", "id": 2746}, {"area": 9810, "iscrowd": 0, "bbox": [0, 13, 90, 109], "category_id": 2, "ignore": 0, "segmentation": [], "image_id": "BloodImage_00403", "id": 2747}, {"area": 6426, "iscrowd": 0, "bbox": [0, 137, 63, 102], "category_id": 2, "ignore": 0, "segmentation": [], "image_id": "BloodImage_00403", "id": 2748}, {"area": 11663, "iscrowd": 0, "bbox": [209, 335, 107, 109], "category_id": 2, "ignore": 0, "segmentation": [], "image_id": "BloodImage_00403", "id": 2749}, {"area": 10296, "iscrowd": 0, "bbox": [8, 370, 104, 99], "category_id": 2, "ignore": 0, "segmentation": [], "image_id": "BloodImage_00403", "id": 2750}, {"area": 10296, "iscrowd": 0, "bbox": [10, 271, 104, 99], "category_id": 2, "ignore": 0, "segmentation": [], "image_id": "BloodImage_00403", "id": 2751}, {"area": 8692, "iscrowd": 0, "bbox": [77, 367, 106, 82], "category_id": 2, "ignore": 0, "segmentation": [], "image_id": "BloodImage_00403", "id": 2752}, {"area": 10807, "iscrowd": 0, "bbox": [489, 9, 101, 107], "category_id": 2, "ignore": 0, "segmentation": [], "image_id": "BloodImage_00403", "id": 2753}, {"area": 6120, "iscrowd": 0, "bbox": [555, 125, 85, 72], "category_id": 2, "ignore": 0, "segmentation": [], "image_id": "BloodImage_00403", "id": 2754}, {"area": 44472, "iscrowd": 0, "bbox": [69, 164, 218, 204], "category_id": 1, "ignore": 0, "segmentation": [], "image_id": "BloodImage_00403", "id": 2755}, {"area": 4158, "iscrowd": 0, "bbox": [368, 259, 63, 66], "category_id": 3, "ignore": 0, "segmentation": [], "image_id": "BloodImage_00403", "id": 2756}, {"area": 2288, "iscrowd": 0, "bbox": [563, 0, 52, 44], "category_id": 3, "ignore": 0, "segmentation": [], "image_id": "BloodImage_00403", "id": 2757}, {"area": 11484, "iscrowd": 0, "bbox": [397, 195, 132, 87], "category_id": 2, "ignore": 0, "segmentation": [], "image_id": "BloodImage_00404", "id": 2758}, {"area": 14152, "iscrowd": 0, "bbox": [415, 52, 122, 116], "category_id": 2, "ignore": 0, "segmentation": [], "image_id": "BloodImage_00404", "id": 2759}, {"area": 11368, "iscrowd": 0, "bbox": [542, 61, 98, 116], "category_id": 2, "ignore": 0, "segmentation": [], "image_id": "BloodImage_00404", "id": 2760}, {"area": 11025, "iscrowd": 0, "bbox": [278, 42, 105, 105], "category_id": 2, "ignore": 0, "segmentation": [], "image_id": "BloodImage_00404", "id": 2761}, {"area": 9765, "iscrowd": 0, "bbox": [187, 354, 105, 93], "category_id": 2, "ignore": 0, "segmentation": [], "image_id": "BloodImage_00404", "id": 2762}, {"area": 6699, "iscrowd": 0, "bbox": [283, 347, 77, 87], "category_id": 2, "ignore": 0, "segmentation": [], "image_id": "BloodImage_00404", "id": 2763}, {"area": 10404, "iscrowd": 0, "bbox": [338, 305, 102, 102], "category_id": 2, "ignore": 0, "segmentation": [], "image_id": "BloodImage_00404", "id": 2764}, {"area": 11340, "iscrowd": 0, "bbox": [396, 343, 126, 90], "category_id": 2, "ignore": 0, "segmentation": [], "image_id": "BloodImage_00404", "id": 2765}, {"area": 11340, "iscrowd": 0, "bbox": [433, 295, 126, 90], "category_id": 2, "ignore": 0, "segmentation": [], "image_id": "BloodImage_00404", "id": 2766}, {"area": 9765, "iscrowd": 0, "bbox": [0, 363, 93, 105], "category_id": 2, "ignore": 0, "segmentation": [], "image_id": "BloodImage_00404", "id": 2767}, {"area": 10527, "iscrowd": 0, "bbox": [69, 70, 121, 87], "category_id": 2, "ignore": 0, "segmentation": [], "image_id": "BloodImage_00404", "id": 2768}, {"area": 8540, "iscrowd": 0, "bbox": [184, 0, 122, 70], "category_id": 2, "ignore": 0, "segmentation": [], "image_id": "BloodImage_00404", "id": 2769}, {"area": 7370, "iscrowd": 0, "bbox": [573, 178, 67, 110], "category_id": 2, "ignore": 0, "segmentation": [], "image_id": "BloodImage_00404", "id": 2770}, {"area": 58764, "iscrowd": 0, "bbox": [114, 133, 249, 236], "category_id": 1, "ignore": 0, "segmentation": [], "image_id": "BloodImage_00404", "id": 2771}, {"area": 1776, "iscrowd": 0, "bbox": [23, 290, 48, 37], "category_id": 3, "ignore": 0, "segmentation": [], "image_id": "BloodImage_00404", "id": 2772}, {"area": 11770, "iscrowd": 0, "bbox": [52, 305, 110, 107], "category_id": 2, "ignore": 0, "segmentation": [], "image_id": "BloodImage_00405", "id": 2773}, {"area": 8160, "iscrowd": 0, "bbox": [0, 202, 68, 120], "category_id": 2, "ignore": 0, "segmentation": [], "image_id": "BloodImage_00405", "id": 2774}, {"area": 11770, "iscrowd": 0, "bbox": [161, 113, 110, 107], "category_id": 2, "ignore": 0, "segmentation": [], "image_id": "BloodImage_00405", "id": 2775}, {"area": 12992, "iscrowd": 0, "bbox": [109, 81, 112, 116], "category_id": 2, "ignore": 0, "segmentation": [], "image_id": "BloodImage_00405", "id": 2776}, {"area": 8455, "iscrowd": 0, "bbox": [150, 0, 95, 89], "category_id": 2, "ignore": 0, "segmentation": [], "image_id": "BloodImage_00405", "id": 2777}, {"area": 8455, "iscrowd": 0, "bbox": [242, 0, 95, 89], "category_id": 2, "ignore": 0, "segmentation": [], "image_id": "BloodImage_00405", "id": 2778}, {"area": 10290, "iscrowd": 0, "bbox": [508, 205, 105, 98], "category_id": 2, "ignore": 0, "segmentation": [], "image_id": "BloodImage_00405", "id": 2779}, {"area": 10290, "iscrowd": 0, "bbox": [478, 104, 105, 98], "category_id": 2, "ignore": 0, "segmentation": [], "image_id": "BloodImage_00405", "id": 2780}, {"area": 10290, "iscrowd": 0, "bbox": [375, 141, 105, 98], "category_id": 2, "ignore": 0, "segmentation": [], "image_id": "BloodImage_00405", "id": 2781}, {"area": 12792, "iscrowd": 0, "bbox": [237, 234, 123, 104], "category_id": 2, "ignore": 0, "segmentation": [], "image_id": "BloodImage_00405", "id": 2782}, {"area": 12064, "iscrowd": 0, "bbox": [175, 211, 116, 104], "category_id": 2, "ignore": 0, "segmentation": [], "image_id": "BloodImage_00405", "id": 2783}, {"area": 12870, "iscrowd": 0, "bbox": [157, 319, 99, 130], "category_id": 2, "ignore": 0, "segmentation": [], "image_id": "BloodImage_00405", "id": 2784}, {"area": 8640, "iscrowd": 0, "bbox": [306, 335, 72, 120], "category_id": 2, "ignore": 0, "segmentation": [], "image_id": "BloodImage_00405", "id": 2785}, {"area": 20808, "iscrowd": 0, "bbox": [315, 0, 136, 153], "category_id": 2, "ignore": 0, "segmentation": [], "image_id": "BloodImage_00405", "id": 2786}, {"area": 45675, "iscrowd": 0, "bbox": [337, 247, 225, 203], "category_id": 1, "ignore": 0, "segmentation": [], "image_id": "BloodImage_00405", "id": 2787}, {"area": 10412, "iscrowd": 0, "bbox": [63, 278, 76, 137], "category_id": 2, "ignore": 0, "segmentation": [], "image_id": "BloodImage_00408", "id": 2788}, {"area": 11500, "iscrowd": 0, "bbox": [117, 119, 115, 100], "category_id": 2, "ignore": 0, "segmentation": [], "image_id": "BloodImage_00408", "id": 2789}, {"area": 9200, "iscrowd": 0, "bbox": [0, 177, 92, 100], "category_id": 2, "ignore": 0, "segmentation": [], "image_id": "BloodImage_00408", "id": 2790}, {"area": 10504, "iscrowd": 0, "bbox": [212, 303, 104, 101], "category_id": 2, "ignore": 0, "segmentation": [], "image_id": "BloodImage_00408", "id": 2791}, {"area": 8910, "iscrowd": 0, "bbox": [214, 390, 99, 90], "category_id": 2, "ignore": 0, "segmentation": [], "image_id": "BloodImage_00408", "id": 2792}, {"area": 9880, "iscrowd": 0, "bbox": [453, 240, 104, 95], "category_id": 2, "ignore": 0, "segmentation": [], "image_id": "BloodImage_00408", "id": 2793}, {"area": 10944, "iscrowd": 0, "bbox": [307, 177, 114, 96], "category_id": 2, "ignore": 0, "segmentation": [], "image_id": "BloodImage_00408", "id": 2794}, {"area": 12317, "iscrowd": 0, "bbox": [283, 46, 109, 113], "category_id": 2, "ignore": 0, "segmentation": [], "image_id": "BloodImage_00408", "id": 2795}, {"area": 7140, "iscrowd": 0, "bbox": [469, 0, 105, 68], "category_id": 2, "ignore": 0, "segmentation": [], "image_id": "BloodImage_00408", "id": 2796}, {"area": 9504, "iscrowd": 0, "bbox": [390, 43, 99, 96], "category_id": 2, "ignore": 0, "segmentation": [], "image_id": "BloodImage_00408", "id": 2797}, {"area": 11092, "iscrowd": 0, "bbox": [386, 135, 94, 118], "category_id": 2, "ignore": 0, "segmentation": [], "image_id": "BloodImage_00408", "id": 2798}, {"area": 7905, "iscrowd": 0, "bbox": [541, 270, 85, 93], "category_id": 2, "ignore": 0, "segmentation": [], "image_id": "BloodImage_00408", "id": 2799}, {"area": 10476, "iscrowd": 0, "bbox": [8, 27, 97, 108], "category_id": 2, "ignore": 0, "segmentation": [], "image_id": "BloodImage_00408", "id": 2800}, {"area": 9405, "iscrowd": 0, "bbox": [102, 0, 99, 95], "category_id": 2, "ignore": 0, "segmentation": [], "image_id": "BloodImage_00408", "id": 2801}, {"area": 7128, "iscrowd": 0, "bbox": [197, 0, 88, 81], "category_id": 2, "ignore": 0, "segmentation": [], "image_id": "BloodImage_00408", "id": 2802}, {"area": 756, "iscrowd": 0, "bbox": [0, 280, 21, 36], "category_id": 3, "ignore": 0, "segmentation": [], "image_id": "BloodImage_00408", "id": 2803}, {"area": 1302, "iscrowd": 0, "bbox": [382, 253, 42, 31], "category_id": 3, "ignore": 0, "segmentation": [], "image_id": "BloodImage_00408", "id": 2804}, {"area": 42120, "iscrowd": 0, "bbox": [309, 318, 260, 162], "category_id": 1, "ignore": 0, "segmentation": [], "image_id": "BloodImage_00408", "id": 2805}], "categories": [{"supercategory": "none", "id": 1, "name": "WBC"}, {"supercategory": "none", "id": 2, "name": "RBC"}, {"supercategory": "none", "id": 3, "name": "Platelets"}]}
# annotation json 파일을 잘 볼수 있는 jq 유틸리티 셋업. 
!sudo apt-get install jq
# Reading package lists... Done
# Building dependency tree       
# Reading state information... Done
# The following additional packages will be installed:
#   libjq1 libonig4
# The following NEW packages will be installed:
#   jq libjq1 libonig4
# 0 upgraded, 3 newly installed, 0 to remove and 37 not upgraded.
# Need to get 276 kB of archives.
# After this operation, 930 kB of additional disk space will be used.
# Get:1 http://archive.ubuntu.com/ubuntu bionic/universe amd64 libonig4 amd64 6.7.0-1 [119 kB]
# Get:2 http://archive.ubuntu.com/ubuntu bionic/universe amd64 libjq1 amd64 1.5+dfsg-2 [111 kB]
# Get:3 http://archive.ubuntu.com/ubuntu bionic/universe amd64 jq amd64 1.5+dfsg-2 [45.6 kB]
# Fetched 276 kB in 1s (332 kB/s)
# debconf: unable to initialize frontend: Dialog
# debconf: (No usable dialog-like program is installed, so the dialog based frontend cannot be used. at /usr/share/perl5/Debconf/FrontEnd/Dialog.pm line 76, <> line 3.)
# debconf: falling back to frontend: Readline
# debconf: unable to initialize frontend: Readline
# debconf: (This frontend requires a controlling tty.)
# debconf: falling back to frontend: Teletype
# dpkg-preconfigure: unable to re-open stdin: 
# Selecting previously unselected package libonig4:amd64.
# (Reading database ... 155047 files and directories currently installed.)
# Preparing to unpack .../libonig4_6.7.0-1_amd64.deb ...
# Unpacking libonig4:amd64 (6.7.0-1) ...
# Selecting previously unselected package libjq1:amd64.
# Preparing to unpack .../libjq1_1.5+dfsg-2_amd64.deb ...
# Unpacking libjq1:amd64 (1.5+dfsg-2) ...
# Selecting previously unselected package jq.
# Preparing to unpack .../jq_1.5+dfsg-2_amd64.deb ...
# Unpacking jq (1.5+dfsg-2) ...
# Setting up libonig4:amd64 (6.7.0-1) ...
# Setting up libjq1:amd64 (1.5+dfsg-2) ...
# Setting up jq (1.5+dfsg-2) ...
# Processing triggers for man-db (2.8.3-2ubuntu0.1) ...
# Processing triggers for libc-bin (2.27-3ubuntu1.3) ...
# /sbin/ldconfig.real: /usr/local/lib/python3.7/dist-packages/ideep4py/lib/libmkldnn.so.0 is not a symbolic link
!jq . /content/BCCD_Dataset/BCCD/train.json > output.json
!tail -100 output.json
      "category_id": 2,
      "ignore": 0,
      "segmentation": [],
      "image_id": "BloodImage_00408",
      "id": 2800
    },
    {
      "area": 9405,
      "iscrowd": 0,
      "bbox": [
        102,
        0,
        99,
        95
      ],
      "category_id": 2,
      "ignore": 0,
      "segmentation": [],
      "image_id": "BloodImage_00408",
      "id": 2801
    },
    {
      "area": 7128,
      "iscrowd": 0,
      "bbox": [
        197,
        0,
        88,
        81
      ],
      "category_id": 2,
      "ignore": 0,
      "segmentation": [],
      "image_id": "BloodImage_00408",
      "id": 2802
    },
    {
      "area": 756,
      "iscrowd": 0,
      "bbox": [
        0,
        280,
        21,
        36
      ],
      "category_id": 3,
      "ignore": 0,
      "segmentation": [],
      "image_id": "BloodImage_00408",
      "id": 2803
    },
    {
      "area": 1302,
      "iscrowd": 0,
      "bbox": [
        382,
        253,
        42,
        31
      ],
      "category_id": 3,
      "ignore": 0,
      "segmentation": [],
      "image_id": "BloodImage_00408",
      "id": 2804
    },
    {
      "area": 42120,
      "iscrowd": 0,
      "bbox": [
        309,
        318,
        260,
        162
      ],
      "category_id": 1,
      "ignore": 0,
      "segmentation": [],
      "image_id": "BloodImage_00408",
      "id": 2805
    }
  ],
  "categories": [
    {
      "supercategory": "none",
      "id": 1,
      "name": "WBC"
    },
    {
      "supercategory": "none",
      "id": 2,
      "name": "RBC"
    },
    {
      "supercategory": "none",
      "id": 3,
      "name": "Platelets"
    }
  ]
}
!jq . /content/BCCD_Dataset/BCCD/test.json > output.json
!cat output.json

CocoDataset 클래스를 활용하여 BCCD Dataset을 로딩하기

  • MS-COCO Dataset의 경우 별다른 Custom Code없이 Object들의 Class만 지정해 주면 됨
%cd /content
# /content
from mmdet.datasets.builder import DATASETS
from mmdet.datasets.coco import CocoDataset

@DATASETS.register_module(force=True)
class BCCDDataset(CocoDataset):
  CLASSES = ('WBC', 'RBC', 'Platelets')
  # 혹시 단일 class이더라도 ( 'wbc', ) 이렇게 , 을 남겨야함

Config 설정하고 Checkpoint 파일 다운로드 받기 ( pretrained file

config_file = '/content/mmdetection/configs/faster_rcnn/faster_rcnn_r50_fpn_1x_coco.py'
checkpoint_file = '/content/mmdetection/checkpoints/faster_rcnn_r50_fpn_1x_coco_20200130-047c8118.pth'
!pwd
# /content
!cd /content/mmdetection; mkdir checkpoints
!wget -O /content/mmdetection/checkpoints/faster_rcnn_r50_fpn_1x_coco_20200130-047c8118.pth http://download.openmmlab.com/mmdetection/v2.0/faster_rcnn/faster_rcnn_r50_fpn_1x_coco/faster_rcnn_r50_fpn_1x_coco_20200130-047c8118.pth
!ls -lia /content/mmdetection/checkpoints
# total 163376
# 4983200 drwxr-xr-x  2 root root      4096 Oct 18 14:47 .
# 4456450 drwxr-xr-x 19 root root      4096 Oct 18 14:47 ..
# 4983201 -rw-r--r--  1 root root 167287506 Aug 28  2020 faster_rcnn_r50_fpn_1x_coco_20200130-047c8118.pth
from mmcv import Config

cfg = Config.fromfile(config_file)
print(cfg.pretty_text)
model = dict(
    type='FasterRCNN',
    backbone=dict(
        type='ResNet',
        depth=50,
        num_stages=4,
        out_indices=(0, 1, 2, 3),
        frozen_stages=1,
        norm_cfg=dict(type='BN', requires_grad=True),
        norm_eval=True,
        style='pytorch',
        init_cfg=dict(type='Pretrained', checkpoint='torchvision://resnet50')),
    neck=dict(
        type='FPN',
        in_channels=[256, 512, 1024, 2048],
        out_channels=256,
        num_outs=5),
    rpn_head=dict(
        type='RPNHead',
        in_channels=256,
        feat_channels=256,
        anchor_generator=dict(
            type='AnchorGenerator',
            scales=[8],
            ratios=[0.5, 1.0, 2.0],
            strides=[4, 8, 16, 32, 64]),
        bbox_coder=dict(
            type='DeltaXYWHBBoxCoder',
            target_means=[0.0, 0.0, 0.0, 0.0],
            target_stds=[1.0, 1.0, 1.0, 1.0]),
        loss_cls=dict(
            type='CrossEntropyLoss', use_sigmoid=True, loss_weight=1.0),
        loss_bbox=dict(type='L1Loss', loss_weight=1.0)),
    roi_head=dict(
        type='StandardRoIHead',
        bbox_roi_extractor=dict(
            type='SingleRoIExtractor',
            roi_layer=dict(type='RoIAlign', output_size=7, sampling_ratio=0),
            out_channels=256,
            featmap_strides=[4, 8, 16, 32]),
        bbox_head=dict(
            type='Shared2FCBBoxHead',
            in_channels=256,
            fc_out_channels=1024,
            roi_feat_size=7,
            num_classes=80,
            bbox_coder=dict(
                type='DeltaXYWHBBoxCoder',
                target_means=[0.0, 0.0, 0.0, 0.0],
                target_stds=[0.1, 0.1, 0.2, 0.2]),
            reg_class_agnostic=False,
            loss_cls=dict(
                type='CrossEntropyLoss', use_sigmoid=False, loss_weight=1.0),
            loss_bbox=dict(type='L1Loss', loss_weight=1.0))),
    train_cfg=dict(
        rpn=dict(
            assigner=dict(
                type='MaxIoUAssigner',
                pos_iou_thr=0.7,
                neg_iou_thr=0.3,
                min_pos_iou=0.3,
                match_low_quality=True,
                ignore_iof_thr=-1),
            sampler=dict(
                type='RandomSampler',
                num=256,
                pos_fraction=0.5,
                neg_pos_ub=-1,
                add_gt_as_proposals=False),
            allowed_border=-1,
            pos_weight=-1,
            debug=False),
        rpn_proposal=dict(
            nms_pre=2000,
            max_per_img=1000,
            nms=dict(type='nms', iou_threshold=0.7),
            min_bbox_size=0),
        rcnn=dict(
            assigner=dict(
                type='MaxIoUAssigner',
                pos_iou_thr=0.5,
                neg_iou_thr=0.5,
                min_pos_iou=0.5,
                match_low_quality=False,
                ignore_iof_thr=-1),
            sampler=dict(
                type='RandomSampler',
                num=512,
                pos_fraction=0.25,
                neg_pos_ub=-1,
                add_gt_as_proposals=True),
            pos_weight=-1,
            debug=False)),
    test_cfg=dict(
        rpn=dict(
            nms_pre=1000,
            max_per_img=1000,
            nms=dict(type='nms', iou_threshold=0.7),
            min_bbox_size=0),
        rcnn=dict(
            score_thr=0.05,
            nms=dict(type='nms', iou_threshold=0.5),
            max_per_img=100)))
dataset_type = 'CocoDataset'
data_root = 'data/coco/'
img_norm_cfg = dict(
    mean=[123.675, 116.28, 103.53], std=[58.395, 57.12, 57.375], to_rgb=True)
train_pipeline = [
    dict(type='LoadImageFromFile'),
    dict(type='LoadAnnotations', with_bbox=True),
    dict(type='Resize', img_scale=(1333, 800), keep_ratio=True),
    dict(type='RandomFlip', flip_ratio=0.5),
    dict(
        type='Normalize',
        mean=[123.675, 116.28, 103.53],
        std=[58.395, 57.12, 57.375],
        to_rgb=True),
    dict(type='Pad', size_divisor=32),
    dict(type='DefaultFormatBundle'),
    dict(type='Collect', keys=['img', 'gt_bboxes', 'gt_labels'])
]
test_pipeline = [
    dict(type='LoadImageFromFile'),
    dict(
        type='MultiScaleFlipAug',
        img_scale=(1333, 800),
        flip=False,
        transforms=[
            dict(type='Resize', keep_ratio=True),
            dict(type='RandomFlip'),
            dict(
                type='Normalize',
                mean=[123.675, 116.28, 103.53],
                std=[58.395, 57.12, 57.375],
                to_rgb=True),
            dict(type='Pad', size_divisor=32),
            dict(type='ImageToTensor', keys=['img']),
            dict(type='Collect', keys=['img'])
        ])
]
data = dict(
    samples_per_gpu=2,
    workers_per_gpu=2,
    train=dict(
        type='CocoDataset',
        ann_file='data/coco/annotations/instances_train2017.json',
        img_prefix='data/coco/train2017/',
        pipeline=[
            dict(type='LoadImageFromFile'),
            dict(type='LoadAnnotations', with_bbox=True),
            dict(type='Resize', img_scale=(1333, 800), keep_ratio=True),
            dict(type='RandomFlip', flip_ratio=0.5),
            dict(
                type='Normalize',
                mean=[123.675, 116.28, 103.53],
                std=[58.395, 57.12, 57.375],
                to_rgb=True),
            dict(type='Pad', size_divisor=32),
            dict(type='DefaultFormatBundle'),
            dict(type='Collect', keys=['img', 'gt_bboxes', 'gt_labels'])
        ]),
    val=dict(
        type='CocoDataset',
        ann_file='data/coco/annotations/instances_val2017.json',
        img_prefix='data/coco/val2017/',
        pipeline=[
            dict(type='LoadImageFromFile'),
            dict(
                type='MultiScaleFlipAug',
                img_scale=(1333, 800),
                flip=False,
                transforms=[
                    dict(type='Resize', keep_ratio=True),
                    dict(type='RandomFlip'),
                    dict(
                        type='Normalize',
                        mean=[123.675, 116.28, 103.53],
                        std=[58.395, 57.12, 57.375],
                        to_rgb=True),
                    dict(type='Pad', size_divisor=32),
                    dict(type='ImageToTensor', keys=['img']),
                    dict(type='Collect', keys=['img'])
                ])
        ]),
    test=dict(
        type='CocoDataset',
        ann_file='data/coco/annotations/instances_val2017.json',
        img_prefix='data/coco/val2017/',
        pipeline=[
            dict(type='LoadImageFromFile'),
            dict(
                type='MultiScaleFlipAug',
                img_scale=(1333, 800),
                flip=False,
                transforms=[
                    dict(type='Resize', keep_ratio=True),
                    dict(type='RandomFlip'),
                    dict(
                        type='Normalize',
                        mean=[123.675, 116.28, 103.53],
                        std=[58.395, 57.12, 57.375],
                        to_rgb=True),
                    dict(type='Pad', size_divisor=32),
                    dict(type='ImageToTensor', keys=['img']),
                    dict(type='Collect', keys=['img'])
                ])
        ]))
evaluation = dict(interval=1, metric='bbox')
optimizer = dict(type='SGD', lr=0.02, momentum=0.9, weight_decay=0.0001)
optimizer_config = dict(grad_clip=None)
lr_config = dict(
    policy='step',
    warmup='linear',
    warmup_iters=500,
    warmup_ratio=0.001,
    step=[8, 11])
runner = dict(type='EpochBasedRunner', max_epochs=12)
checkpoint_config = dict(interval=1)
log_config = dict(interval=50, hooks=[dict(type='TextLoggerHook')])
custom_hooks = [dict(type='NumClassCheckHook')]
dist_params = dict(backend='nccl')
log_level = 'INFO'
load_from = None
resume_from = None
workflow = [('train', 1)]
from mmdet.apis import set_random_seed

# dataset에 대한 환경 파라미터 수정. 
cfg.dataset_type = 'BCCDDataset'
cfg.data_root = '/content/BCCD_Dataset/BCCD/'

# train, val, test dataset에 대한 type, data_root, ann_file, img_prefix 환경 파라미터 수정. 
cfg.data.train.type = 'BCCDDataset'
cfg.data.train.data_root = '/content/BCCD_Dataset/BCCD/'
cfg.data.train.ann_file = 'train.json'
cfg.data.train.img_prefix = 'JPEGImages'

cfg.data.val.type = 'BCCDDataset'
cfg.data.val.data_root = '/content/BCCD_Dataset/BCCD/'
cfg.data.val.ann_file = 'val.json'
cfg.data.val.img_prefix = 'JPEGImages'

cfg.data.test.type = 'BCCDDataset'
cfg.data.test.data_root = '/content/BCCD_Dataset/BCCD/'
cfg.data.test.ann_file = 'test.json'
cfg.data.test.img_prefix = 'JPEGImages'

# class의 갯수 수정. 
cfg.model.roi_head.bbox_head.num_classes = 3
# pretrained 모델
cfg.load_from = '/content/mmdetection/checkpoints/faster_rcnn_r50_fpn_1x_coco_20200130-047c8118.pth'

# 학습 weight 파일로 로그를 저장하기 위한 디렉토리 설정. 
cfg.work_dir = './tutorial_exps'

# 학습율 변경 환경 파라미터 설정. 
cfg.optimizer.lr = 0.02 / 8
cfg.lr_config.warmup = None
cfg.log_config.interval = 10

# CocoDataset의 경우 metric을 bbox로 설정해야 함.(mAP아님. bbox로 설정하면 mAP를 iou threshold를 0.5 ~ 0.95까지 변경하면서 측정)
cfg.evaluation.metric = 'bbox'
cfg.evaluation.interval = 12
cfg.checkpoint_config.interval = 12

# 두번 config를 로드하면 lr_config의 policy가 사라지는 오류로 인하여 설정. 
cfg.lr_config.policy='step'
# Set seed thus the results are more reproducible
cfg.seed = 0
set_random_seed(0, deterministic=False)
cfg.gpu_ids = range(1)
print(cfg.pretty_text)
model = dict(
    type='FasterRCNN',
    backbone=dict(
        type='ResNet',
        depth=50,
        num_stages=4,
        out_indices=(0, 1, 2, 3),
        frozen_stages=1,
        norm_cfg=dict(type='BN', requires_grad=True),
        norm_eval=True,
        style='pytorch',
        init_cfg=dict(type='Pretrained', checkpoint='torchvision://resnet50')),
    neck=dict(
        type='FPN',
        in_channels=[256, 512, 1024, 2048],
        out_channels=256,
        num_outs=5),
    rpn_head=dict(
        type='RPNHead',
        in_channels=256,
        feat_channels=256,
        anchor_generator=dict(
            type='AnchorGenerator',
            scales=[8],
            ratios=[0.5, 1.0, 2.0],
            strides=[4, 8, 16, 32, 64]),
        bbox_coder=dict(
            type='DeltaXYWHBBoxCoder',
            target_means=[0.0, 0.0, 0.0, 0.0],
            target_stds=[1.0, 1.0, 1.0, 1.0]),
        loss_cls=dict(
            type='CrossEntropyLoss', use_sigmoid=True, loss_weight=1.0),
        loss_bbox=dict(type='L1Loss', loss_weight=1.0)),
    roi_head=dict(
        type='StandardRoIHead',
        bbox_roi_extractor=dict(
            type='SingleRoIExtractor',
            roi_layer=dict(type='RoIAlign', output_size=7, sampling_ratio=0),
            out_channels=256,
            featmap_strides=[4, 8, 16, 32]),
        bbox_head=dict(
            type='Shared2FCBBoxHead',
            in_channels=256,
            fc_out_channels=1024,
            roi_feat_size=7,
            num_classes=3,
            bbox_coder=dict(
                type='DeltaXYWHBBoxCoder',
                target_means=[0.0, 0.0, 0.0, 0.0],
                target_stds=[0.1, 0.1, 0.2, 0.2]),
            reg_class_agnostic=False,
            loss_cls=dict(
                type='CrossEntropyLoss', use_sigmoid=False, loss_weight=1.0),
            loss_bbox=dict(type='L1Loss', loss_weight=1.0))),
    train_cfg=dict(
        rpn=dict(
            assigner=dict(
                type='MaxIoUAssigner',
                pos_iou_thr=0.7,
                neg_iou_thr=0.3,
                min_pos_iou=0.3,
                match_low_quality=True,
                ignore_iof_thr=-1),
            sampler=dict(
                type='RandomSampler',
                num=256,
                pos_fraction=0.5,
                neg_pos_ub=-1,
                add_gt_as_proposals=False),
            allowed_border=-1,
            pos_weight=-1,
            debug=False),
        rpn_proposal=dict(
            nms_pre=2000,
            max_per_img=1000,
            nms=dict(type='nms', iou_threshold=0.7),
            min_bbox_size=0),
        rcnn=dict(
            assigner=dict(
                type='MaxIoUAssigner',
                pos_iou_thr=0.5,
                neg_iou_thr=0.5,
                min_pos_iou=0.5,
                match_low_quality=False,
                ignore_iof_thr=-1),
            sampler=dict(
                type='RandomSampler',
                num=512,
                pos_fraction=0.25,
                neg_pos_ub=-1,
                add_gt_as_proposals=True),
            pos_weight=-1,
            debug=False)),
    test_cfg=dict(
        rpn=dict(
            nms_pre=1000,
            max_per_img=1000,
            nms=dict(type='nms', iou_threshold=0.7),
            min_bbox_size=0),
        rcnn=dict(
            score_thr=0.05,
            nms=dict(type='nms', iou_threshold=0.5),
            max_per_img=100)))
dataset_type = 'BCCDDataset'
data_root = '/content/BCCD_Dataset/BCCD/'
img_norm_cfg = dict(
    mean=[123.675, 116.28, 103.53], std=[58.395, 57.12, 57.375], to_rgb=True)
train_pipeline = [
    dict(type='LoadImageFromFile'),
    dict(type='LoadAnnotations', with_bbox=True),
    dict(type='Resize', img_scale=(1333, 800), keep_ratio=True),
    dict(type='RandomFlip', flip_ratio=0.5),
    dict(
        type='Normalize',
        mean=[123.675, 116.28, 103.53],
        std=[58.395, 57.12, 57.375],
        to_rgb=True),
    dict(type='Pad', size_divisor=32),
    dict(type='DefaultFormatBundle'),
    dict(type='Collect', keys=['img', 'gt_bboxes', 'gt_labels'])
]
test_pipeline = [
    dict(type='LoadImageFromFile'),
    dict(
        type='MultiScaleFlipAug',
        img_scale=(1333, 800),
        flip=False,
        transforms=[
            dict(type='Resize', keep_ratio=True),
            dict(type='RandomFlip'),
            dict(
                type='Normalize',
                mean=[123.675, 116.28, 103.53],
                std=[58.395, 57.12, 57.375],
                to_rgb=True),
            dict(type='Pad', size_divisor=32),
            dict(type='ImageToTensor', keys=['img']),
            dict(type='Collect', keys=['img'])
        ])
]
data = dict(
    samples_per_gpu=2,
    workers_per_gpu=2,
    train=dict(
        type='BCCDDataset',
        ann_file='train.json',
        img_prefix='JPEGImages',
        pipeline=[
            dict(type='LoadImageFromFile'),
            dict(type='LoadAnnotations', with_bbox=True),
            dict(type='Resize', img_scale=(1333, 800), keep_ratio=True),
            dict(type='RandomFlip', flip_ratio=0.5),
            dict(
                type='Normalize',
                mean=[123.675, 116.28, 103.53],
                std=[58.395, 57.12, 57.375],
                to_rgb=True),
            dict(type='Pad', size_divisor=32),
            dict(type='DefaultFormatBundle'),
            dict(type='Collect', keys=['img', 'gt_bboxes', 'gt_labels'])
        ],
        data_root='/content/BCCD_Dataset/BCCD/'),
    val=dict(
        type='BCCDDataset',
        ann_file='val.json',
        img_prefix='JPEGImages',
        pipeline=[
            dict(type='LoadImageFromFile'),
            dict(
                type='MultiScaleFlipAug',
                img_scale=(1333, 800),
                flip=False,
                transforms=[
                    dict(type='Resize', keep_ratio=True),
                    dict(type='RandomFlip'),
                    dict(
                        type='Normalize',
                        mean=[123.675, 116.28, 103.53],
                        std=[58.395, 57.12, 57.375],
                        to_rgb=True),
                    dict(type='Pad', size_divisor=32),
                    dict(type='ImageToTensor', keys=['img']),
                    dict(type='Collect', keys=['img'])
                ])
        ],
        data_root='/content/BCCD_Dataset/BCCD/'),
    test=dict(
        type='BCCDDataset',
        ann_file='test.json',
        img_prefix='JPEGImages',
        pipeline=[
            dict(type='LoadImageFromFile'),
            dict(
                type='MultiScaleFlipAug',
                img_scale=(1333, 800),
                flip=False,
                transforms=[
                    dict(type='Resize', keep_ratio=True),
                    dict(type='RandomFlip'),
                    dict(
                        type='Normalize',
                        mean=[123.675, 116.28, 103.53],
                        std=[58.395, 57.12, 57.375],
                        to_rgb=True),
                    dict(type='Pad', size_divisor=32),
                    dict(type='ImageToTensor', keys=['img']),
                    dict(type='Collect', keys=['img'])
                ])
        ],
        data_root='/content/BCCD_Dataset/BCCD/'))
evaluation = dict(interval=12, metric='bbox')
optimizer = dict(type='SGD', lr=0.0025, momentum=0.9, weight_decay=0.0001)
optimizer_config = dict(grad_clip=None)
lr_config = dict(
    policy='step',
    warmup=None,
    warmup_iters=500,
    warmup_ratio=0.001,
    step=[8, 11])
runner = dict(type='EpochBasedRunner', max_epochs=12)
checkpoint_config = dict(interval=12)
log_config = dict(interval=10, hooks=[dict(type='TextLoggerHook')])
custom_hooks = [dict(type='NumClassCheckHook')]
dist_params = dict(backend='nccl')
log_level = 'INFO'
load_from = '/content/mmdetection/checkpoints/faster_rcnn_r50_fpn_1x_coco_20200130-047c8118.pth'
resume_from = None
workflow = [('train', 1)]
work_dir = './tutorial_exps'
seed = 0
gpu_ids = range(0, 1)

Dataset을 만들고, 모델 학습 및 Inference 적용

from mmdet.datasets import build_dataset
from mmdet.models import build_detector
from mmdet.apis import train_detector

# train용 Dataset 생성. 
datasets = [build_dataset(cfg.data.train)]
# loading annotations into memory...
# Done (t=0.02s)
# creating index...
# index created!
print(datasets[0])
# datasets[0].__dict__ 로 모든 self variables의 key와 value값을 볼 수 있음. 
datasets[0].__dict__.keys()

# BCCDDataset Train dataset with number of images 205, and instance counts: 
# +----------+-------+----------+-------+---------------+-------+----------+-------+----------+-------+
# | category | count | category | count | category      | count | category | count | category | count |
# +----------+-------+----------+-------+---------------+-------+----------+-------+----------+-------+
# |          |       |          |       |               |       |          |       |          |       |
# | 0 [WBC]  | 214   | 1 [RBC]  | 2382  | 2 [Platelets] | 209   |          |       |          |       |
# +----------+-------+----------+-------+---------------+-------+----------+-------+----------+-------+
# dict_keys(['ann_file', 'data_root', 'img_prefix', 'seg_prefix', 'proposal_file', 'test_mode', 'filter_empty_gt', 'CLASSES', 'coco', 'cat_ids', 'cat2label', 'img_ids', 'data_infos', 'proposals', 'flag', 'pipeline'])
datasets[0].data_infos
# [{'file_name': 'BloodImage_00001.jpg',
#   'filename': 'BloodImage_00001.jpg',
#   'height': 480,
#   'id': 'BloodImage_00001',
#   'width': 640},
#    ...
#  {'file_name': 'BloodImage_00408.jpg',
#   'filename': 'BloodImage_00408.jpg',
#   'height': 480,
#   'id': 'BloodImage_00408',
#   'width': 640}]
datasets[0].pipeline
# Compose(
#     LoadImageFromFile(to_float32=False, color_type='color', file_client_args={'backend': 'disk'})
#     LoadAnnotations(with_bbox=True, with_label=True, with_mask=False, with_seg=False, poly2mask=True, poly2mask={'backend': 'disk'})
#     Resize(img_scale=[(1333, 800)], multiscale_mode=range, ratio_range=None, keep_ratio=True, bbox_clip_border=True)
#     RandomFlip(flip_ratio=0.5)
#     Normalize(mean=[123.675 116.28  103.53 ], std=[58.395 57.12  57.375], to_rgb=True)
#     Pad(size=None, size_divisor=32, pad_to_square=False, pad_val={'img': 0, 'masks': 0, 'seg': 255})
#     DefaultFormatBundle
#     Collect(keys=['img', 'gt_bboxes', 'gt_labels'], meta_keys=('filename', 'ori_filename', 'ori_shape', 'img_shape', 'pad_shape', 'scale_factor', 'flip', 'flip_direction', 'img_norm_cfg'))
# )
model = build_detector(cfg.model, train_cfg=cfg.get('train_cfg'), test_cfg=cfg.get('test_cfg'))
model.CLASSES = datasets[0].CLASSES
print(model.CLASSES)
# ('WBC', 'RBC', 'Platelets')
# /usr/local/lib/python3.7/dist-packages/mmdet-2.17.0-py3.7.egg/mmdet/core/anchor/builder.py:17: UserWarning: ``build_anchor_generator`` would be deprecated soon, please use ``build_prior_generator`` 
#   '``build_anchor_generator`` would be deprecated soon, please use '
import os.path as osp
mmcv.mkdir_or_exist(osp.abspath(cfg.work_dir))
# epochs는 config의 runner 파라미터로 지정됨. 기본 12회 
train_detector(model, datasets, cfg, distributed=False, validate=True) # val 불러와서 모델평가
2021-10-18 14:47:52,688 - mmdet - INFO - load checkpoint from /content/mmdetection/checkpoints/faster_rcnn_r50_fpn_1x_coco_20200130-047c8118.pth
2021-10-18 14:47:52,690 - mmdet - INFO - Use load_from_local loader
2021-10-18 14:47:52,824 - mmdet - WARNING - The model and loaded state dict do not match exactly

size mismatch for roi_head.bbox_head.fc_cls.weight: copying a param with shape torch.Size([81, 1024]) from checkpoint, the shape in current model is torch.Size([4, 1024]).
size mismatch for roi_head.bbox_head.fc_cls.bias: copying a param with shape torch.Size([81]) from checkpoint, the shape in current model is torch.Size([4]).
size mismatch for roi_head.bbox_head.fc_reg.weight: copying a param with shape torch.Size([320, 1024]) from checkpoint, the shape in current model is torch.Size([12, 1024]).
size mismatch for roi_head.bbox_head.fc_reg.bias: copying a param with shape torch.Size([320]) from checkpoint, the shape in current model is torch.Size([12]).
2021-10-18 14:47:52,828 - mmdet - INFO - Start running, host: root@f8acc20ddcac, work_dir: /content/tutorial_exps
2021-10-18 14:47:52,834 - mmdet - INFO - Hooks will be executed in the following order:
before_run:
(VERY_HIGH   ) StepLrUpdaterHook                  
(NORMAL      ) CheckpointHook                     
(LOW         ) EvalHook                           
(VERY_LOW    ) TextLoggerHook                     
 -------------------- 
before_train_epoch:
(VERY_HIGH   ) StepLrUpdaterHook                  
(NORMAL      ) NumClassCheckHook                  
(LOW         ) IterTimerHook                      
(LOW         ) EvalHook                           
(VERY_LOW    ) TextLoggerHook                     
 -------------------- 
before_train_iter:
(VERY_HIGH   ) StepLrUpdaterHook                  
(LOW         ) IterTimerHook                      
(LOW         ) EvalHook                           
 -------------------- 
after_train_iter:
(ABOVE_NORMAL) OptimizerHook                      
(NORMAL      ) CheckpointHook                     
(LOW         ) IterTimerHook                      
(LOW         ) EvalHook                           
(VERY_LOW    ) TextLoggerHook                     
 -------------------- 
after_train_epoch:
(NORMAL      ) CheckpointHook                     
(LOW         ) EvalHook                           
(VERY_LOW    ) TextLoggerHook                     
 -------------------- 
before_val_epoch:
(NORMAL      ) NumClassCheckHook                  
(LOW         ) IterTimerHook                      
(VERY_LOW    ) TextLoggerHook                     
 -------------------- 
before_val_iter:
(LOW         ) IterTimerHook                      
 -------------------- 
after_val_iter:
(LOW         ) IterTimerHook                      
 -------------------- 
after_val_epoch:
(VERY_LOW    ) TextLoggerHook                     
 -------------------- 
2021-10-18 14:47:52,835 - mmdet - INFO - workflow: [('train', 1)], max: 12 epochs
loading annotations into memory...
Done (t=0.00s)
creating index...
index created!
/usr/local/lib/python3.7/dist-packages/torch/nn/functional.py:718: UserWarning: Named tensors and all their associated APIs are an experimental feature and subject to change. Please do not use them for anything important until they are released as stable. (Triggered internally at  /pytorch/c10/core/TensorImpl.h:1156.)
  return torch.max_pool2d(input, kernel_size, stride, padding, dilation, ceil_mode)
/usr/local/lib/python3.7/dist-packages/mmdet-2.17.0-py3.7.egg/mmdet/core/anchor/anchor_generator.py:324: UserWarning: ``grid_anchors`` would be deprecated soon. Please use ``grid_priors`` 
  warnings.warn('``grid_anchors`` would be deprecated soon. '
/usr/local/lib/python3.7/dist-packages/mmdet-2.17.0-py3.7.egg/mmdet/core/anchor/anchor_generator.py:361: UserWarning: ``single_level_grid_anchors`` would be deprecated soon. Please use ``single_level_grid_priors`` 
  '``single_level_grid_anchors`` would be deprecated soon. '
2021-10-18 14:48:11,147 - mmdet - INFO - Epoch [1][10/103]	lr: 2.500e-03, eta: 0:36:37, time: 1.792, data_time: 0.238, memory: 3163, loss_rpn_cls: 0.1477, loss_rpn_bbox: 0.0886, loss_cls: 0.8380, acc: 66.0742, loss_bbox: 0.7945, loss: 1.8688
2021-10-18 14:48:26,850 - mmdet - INFO - Epoch [1][20/103]	lr: 2.500e-03, eta: 0:34:05, time: 1.572, data_time: 0.048, memory: 3163, loss_rpn_cls: 0.0410, loss_rpn_bbox: 0.0682, loss_cls: 0.4894, acc: 84.2676, loss_bbox: 0.6111, loss: 1.2097
2021-10-18 14:48:42,486 - mmdet - INFO - Epoch [1][30/103]	lr: 2.500e-03, eta: 0:33:00, time: 1.564, data_time: 0.047, memory: 3163, loss_rpn_cls: 0.0200, loss_rpn_bbox: 0.0711, loss_cls: 0.3802, acc: 86.5137, loss_bbox: 0.4905, loss: 0.9619
2021-10-18 14:48:58,107 - mmdet - INFO - Epoch [1][40/103]	lr: 2.500e-03, eta: 0:32:20, time: 1.561, data_time: 0.047, memory: 3163, loss_rpn_cls: 0.0248, loss_rpn_bbox: 0.0792, loss_cls: 0.3563, acc: 85.7715, loss_bbox: 0.4395, loss: 0.8997
2021-10-18 14:49:13,799 - mmdet - INFO - Epoch [1][50/103]	lr: 2.500e-03, eta: 0:31:51, time: 1.569, data_time: 0.049, memory: 3163, loss_rpn_cls: 0.0216, loss_rpn_bbox: 0.0775, loss_cls: 0.3678, acc: 84.5312, loss_bbox: 0.4920, loss: 0.9588
2021-10-18 14:49:29,424 - mmdet - INFO - Epoch [1][60/103]	lr: 2.500e-03, eta: 0:31:25, time: 1.563, data_time: 0.047, memory: 3163, loss_rpn_cls: 0.0171, loss_rpn_bbox: 0.0652, loss_cls: 0.3114, acc: 87.1484, loss_bbox: 0.4320, loss: 0.8256
2021-10-18 14:49:44,975 - mmdet - INFO - Epoch [1][70/103]	lr: 2.500e-03, eta: 0:31:01, time: 1.556, data_time: 0.048, memory: 3163, loss_rpn_cls: 0.0182, loss_rpn_bbox: 0.0583, loss_cls: 0.3246, acc: 85.8203, loss_bbox: 0.4269, loss: 0.8280
2021-10-18 14:50:00,647 - mmdet - INFO - Epoch [1][80/103]	lr: 2.500e-03, eta: 0:30:41, time: 1.567, data_time: 0.047, memory: 3163, loss_rpn_cls: 0.0233, loss_rpn_bbox: 0.0650, loss_cls: 0.2901, acc: 86.6016, loss_bbox: 0.3662, loss: 0.7446
2021-10-18 14:50:16,314 - mmdet - INFO - Epoch [1][90/103]	lr: 2.500e-03, eta: 0:30:22, time: 1.567, data_time: 0.047, memory: 3163, loss_rpn_cls: 0.0117, loss_rpn_bbox: 0.0606, loss_cls: 0.2966, acc: 86.9824, loss_bbox: 0.3820, loss: 0.7508
2021-10-18 14:50:31,911 - mmdet - INFO - Epoch [1][100/103]	lr: 2.500e-03, eta: 0:30:02, time: 1.560, data_time: 0.048, memory: 3163, loss_rpn_cls: 0.0240, loss_rpn_bbox: 0.0609, loss_cls: 0.2727, acc: 88.0469, loss_bbox: 0.3575, loss: 0.7150
2021-10-18 14:50:54,057 - mmdet - INFO - Epoch [2][10/103]	lr: 2.500e-03, eta: 0:29:10, time: 1.742, data_time: 0.233, memory: 3163, loss_rpn_cls: 0.0159, loss_rpn_bbox: 0.0590, loss_cls: 0.2809, acc: 87.5391, loss_bbox: 0.3818, loss: 0.7377
2021-10-18 14:51:09,722 - mmdet - INFO - Epoch [2][20/103]	lr: 2.500e-03, eta: 0:28:55, time: 1.566, data_time: 0.048, memory: 3163, loss_rpn_cls: 0.0135, loss_rpn_bbox: 0.0605, loss_cls: 0.2494, acc: 89.4141, loss_bbox: 0.3764, loss: 0.6997
2021-10-18 14:51:25,435 - mmdet - INFO - Epoch [2][30/103]	lr: 2.500e-03, eta: 0:28:40, time: 1.570, data_time: 0.048, memory: 3163, loss_rpn_cls: 0.0158, loss_rpn_bbox: 0.0557, loss_cls: 0.2251, acc: 90.4688, loss_bbox: 0.3036, loss: 0.6002
2021-10-18 14:51:41,089 - mmdet - INFO - Epoch [2][40/103]	lr: 2.500e-03, eta: 0:28:25, time: 1.566, data_time: 0.048, memory: 3163, loss_rpn_cls: 0.0162, loss_rpn_bbox: 0.0608, loss_cls: 0.2599, acc: 88.5352, loss_bbox: 0.3750, loss: 0.7120
2021-10-18 14:51:56,764 - mmdet - INFO - Epoch [2][50/103]	lr: 2.500e-03, eta: 0:28:10, time: 1.568, data_time: 0.050, memory: 3163, loss_rpn_cls: 0.0198, loss_rpn_bbox: 0.0562, loss_cls: 0.2804, acc: 87.6074, loss_bbox: 0.3292, loss: 0.6856
2021-10-18 14:52:12,388 - mmdet - INFO - Epoch [2][60/103]	lr: 2.500e-03, eta: 0:27:55, time: 1.563, data_time: 0.047, memory: 3163, loss_rpn_cls: 0.0128, loss_rpn_bbox: 0.0455, loss_cls: 0.2401, acc: 89.0723, loss_bbox: 0.2994, loss: 0.5979
2021-10-18 14:52:28,030 - mmdet - INFO - Epoch [2][70/103]	lr: 2.500e-03, eta: 0:27:39, time: 1.564, data_time: 0.047, memory: 3163, loss_rpn_cls: 0.0160, loss_rpn_bbox: 0.0524, loss_cls: 0.2657, acc: 88.3008, loss_bbox: 0.3692, loss: 0.7033
2021-10-18 14:52:43,643 - mmdet - INFO - Epoch [2][80/103]	lr: 2.500e-03, eta: 0:27:23, time: 1.560, data_time: 0.047, memory: 3163, loss_rpn_cls: 0.0124, loss_rpn_bbox: 0.0513, loss_cls: 0.2644, acc: 88.4668, loss_bbox: 0.3327, loss: 0.6608
2021-10-18 14:52:59,301 - mmdet - INFO - Epoch [2][90/103]	lr: 2.500e-03, eta: 0:27:08, time: 1.567, data_time: 0.048, memory: 3163, loss_rpn_cls: 0.0097, loss_rpn_bbox: 0.0493, loss_cls: 0.2427, acc: 89.4336, loss_bbox: 0.3167, loss: 0.6184
2021-10-18 14:53:14,918 - mmdet - INFO - Epoch [2][100/103]	lr: 2.500e-03, eta: 0:26:52, time: 1.561, data_time: 0.049, memory: 3163, loss_rpn_cls: 0.0153, loss_rpn_bbox: 0.0551, loss_cls: 0.2767, acc: 87.0215, loss_bbox: 0.3340, loss: 0.6810
2021-10-18 14:53:37,139 - mmdet - INFO - Epoch [3][10/103]	lr: 2.500e-03, eta: 0:26:19, time: 1.750, data_time: 0.234, memory: 3163, loss_rpn_cls: 0.0064, loss_rpn_bbox: 0.0491, loss_cls: 0.2134, acc: 90.7812, loss_bbox: 0.3132, loss: 0.5822
2021-10-18 14:53:52,789 - mmdet - INFO - Epoch [3][20/103]	lr: 2.500e-03, eta: 0:26:04, time: 1.565, data_time: 0.047, memory: 3163, loss_rpn_cls: 0.0136, loss_rpn_bbox: 0.0580, loss_cls: 0.2401, acc: 89.4336, loss_bbox: 0.3260, loss: 0.6377
2021-10-18 14:54:08,426 - mmdet - INFO - Epoch [3][30/103]	lr: 2.500e-03, eta: 0:25:49, time: 1.563, data_time: 0.046, memory: 3163, loss_rpn_cls: 0.0095, loss_rpn_bbox: 0.0522, loss_cls: 0.2173, acc: 90.1660, loss_bbox: 0.3065, loss: 0.5856
2021-10-18 14:54:24,065 - mmdet - INFO - Epoch [3][40/103]	lr: 2.500e-03, eta: 0:25:34, time: 1.564, data_time: 0.048, memory: 3163, loss_rpn_cls: 0.0107, loss_rpn_bbox: 0.0587, loss_cls: 0.2301, acc: 89.9121, loss_bbox: 0.3299, loss: 0.6293
2021-10-18 14:54:39,614 - mmdet - INFO - Epoch [3][50/103]	lr: 2.500e-03, eta: 0:25:19, time: 1.555, data_time: 0.049, memory: 3163, loss_rpn_cls: 0.0154, loss_rpn_bbox: 0.0530, loss_cls: 0.2393, acc: 89.2285, loss_bbox: 0.3204, loss: 0.6281
2021-10-18 14:54:55,205 - mmdet - INFO - Epoch [3][60/103]	lr: 2.500e-03, eta: 0:25:04, time: 1.559, data_time: 0.047, memory: 3163, loss_rpn_cls: 0.0108, loss_rpn_bbox: 0.0466, loss_cls: 0.2780, acc: 86.8262, loss_bbox: 0.2879, loss: 0.6234
2021-10-18 14:55:10,793 - mmdet - INFO - Epoch [3][70/103]	lr: 2.500e-03, eta: 0:24:49, time: 1.559, data_time: 0.050, memory: 3163, loss_rpn_cls: 0.0133, loss_rpn_bbox: 0.0498, loss_cls: 0.2277, acc: 90.0195, loss_bbox: 0.3022, loss: 0.5930
2021-10-18 14:55:26,348 - mmdet - INFO - Epoch [3][80/103]	lr: 2.500e-03, eta: 0:24:33, time: 1.556, data_time: 0.048, memory: 3163, loss_rpn_cls: 0.0132, loss_rpn_bbox: 0.0486, loss_cls: 0.2372, acc: 89.6484, loss_bbox: 0.3007, loss: 0.5996
2021-10-18 14:55:41,922 - mmdet - INFO - Epoch [3][90/103]	lr: 2.500e-03, eta: 0:24:18, time: 1.557, data_time: 0.049, memory: 3163, loss_rpn_cls: 0.0096, loss_rpn_bbox: 0.0524, loss_cls: 0.2315, acc: 89.4434, loss_bbox: 0.3501, loss: 0.6436
2021-10-18 14:55:57,458 - mmdet - INFO - Epoch [3][100/103]	lr: 2.500e-03, eta: 0:24:02, time: 1.553, data_time: 0.046, memory: 3163, loss_rpn_cls: 0.0110, loss_rpn_bbox: 0.0490, loss_cls: 0.2349, acc: 89.6582, loss_bbox: 0.2973, loss: 0.5922
2021-10-18 14:56:19,591 - mmdet - INFO - Epoch [4][10/103]	lr: 2.500e-03, eta: 0:23:34, time: 1.739, data_time: 0.233, memory: 3163, loss_rpn_cls: 0.0175, loss_rpn_bbox: 0.0588, loss_cls: 0.2577, acc: 88.3301, loss_bbox: 0.2968, loss: 0.6307
2021-10-18 14:56:35,179 - mmdet - INFO - Epoch [4][20/103]	lr: 2.500e-03, eta: 0:23:19, time: 1.559, data_time: 0.047, memory: 3163, loss_rpn_cls: 0.0088, loss_rpn_bbox: 0.0496, loss_cls: 0.2249, acc: 89.9219, loss_bbox: 0.2827, loss: 0.5660
2021-10-18 14:56:50,736 - mmdet - INFO - Epoch [4][30/103]	lr: 2.500e-03, eta: 0:23:04, time: 1.556, data_time: 0.048, memory: 3163, loss_rpn_cls: 0.0136, loss_rpn_bbox: 0.0524, loss_cls: 0.2309, acc: 89.2188, loss_bbox: 0.3273, loss: 0.6242
2021-10-18 14:57:06,282 - mmdet - INFO - Epoch [4][40/103]	lr: 2.500e-03, eta: 0:22:49, time: 1.555, data_time: 0.047, memory: 3163, loss_rpn_cls: 0.0089, loss_rpn_bbox: 0.0451, loss_cls: 0.2151, acc: 90.6738, loss_bbox: 0.3046, loss: 0.5737
2021-10-18 14:57:21,844 - mmdet - INFO - Epoch [4][50/103]	lr: 2.500e-03, eta: 0:22:34, time: 1.556, data_time: 0.048, memory: 3163, loss_rpn_cls: 0.0106, loss_rpn_bbox: 0.0526, loss_cls: 0.2454, acc: 88.8770, loss_bbox: 0.3133, loss: 0.6219
2021-10-18 14:57:37,402 - mmdet - INFO - Epoch [4][60/103]	lr: 2.500e-03, eta: 0:22:19, time: 1.556, data_time: 0.048, memory: 3163, loss_rpn_cls: 0.0112, loss_rpn_bbox: 0.0513, loss_cls: 0.2401, acc: 89.4336, loss_bbox: 0.2884, loss: 0.5910
2021-10-18 14:57:52,980 - mmdet - INFO - Epoch [4][70/103]	lr: 2.500e-03, eta: 0:22:04, time: 1.557, data_time: 0.048, memory: 3163, loss_rpn_cls: 0.0133, loss_rpn_bbox: 0.0554, loss_cls: 0.2413, acc: 89.2578, loss_bbox: 0.2870, loss: 0.5970
2021-10-18 14:58:08,563 - mmdet - INFO - Epoch [4][80/103]	lr: 2.500e-03, eta: 0:21:48, time: 1.559, data_time: 0.048, memory: 3163, loss_rpn_cls: 0.0119, loss_rpn_bbox: 0.0454, loss_cls: 0.2204, acc: 90.3125, loss_bbox: 0.2928, loss: 0.5706
2021-10-18 14:58:24,113 - mmdet - INFO - Epoch [4][90/103]	lr: 2.500e-03, eta: 0:21:33, time: 1.555, data_time: 0.048, memory: 3163, loss_rpn_cls: 0.0106, loss_rpn_bbox: 0.0541, loss_cls: 0.2269, acc: 89.9609, loss_bbox: 0.3076, loss: 0.5992
2021-10-18 14:58:39,697 - mmdet - INFO - Epoch [4][100/103]	lr: 2.500e-03, eta: 0:21:18, time: 1.559, data_time: 0.047, memory: 3163, loss_rpn_cls: 0.0090, loss_rpn_bbox: 0.0505, loss_cls: 0.2398, acc: 89.2383, loss_bbox: 0.3206, loss: 0.6198
2021-10-18 14:59:01,793 - mmdet - INFO - Epoch [5][10/103]	lr: 2.500e-03, eta: 0:20:53, time: 1.741, data_time: 0.233, memory: 3163, loss_rpn_cls: 0.0099, loss_rpn_bbox: 0.0457, loss_cls: 0.2310, acc: 89.3457, loss_bbox: 0.2852, loss: 0.5719
2021-10-18 14:59:17,360 - mmdet - INFO - Epoch [5][20/103]	lr: 2.500e-03, eta: 0:20:38, time: 1.556, data_time: 0.047, memory: 3163, loss_rpn_cls: 0.0093, loss_rpn_bbox: 0.0483, loss_cls: 0.2239, acc: 89.6484, loss_bbox: 0.2795, loss: 0.5610
2021-10-18 14:59:33,025 - mmdet - INFO - Epoch [5][30/103]	lr: 2.500e-03, eta: 0:20:23, time: 1.566, data_time: 0.048, memory: 3163, loss_rpn_cls: 0.0110, loss_rpn_bbox: 0.0564, loss_cls: 0.2414, acc: 89.4238, loss_bbox: 0.3214, loss: 0.6302
2021-10-18 14:59:48,632 - mmdet - INFO - Epoch [5][40/103]	lr: 2.500e-03, eta: 0:20:08, time: 1.560, data_time: 0.047, memory: 3163, loss_rpn_cls: 0.0125, loss_rpn_bbox: 0.0476, loss_cls: 0.2286, acc: 89.6875, loss_bbox: 0.2757, loss: 0.5645
2021-10-18 15:00:04,209 - mmdet - INFO - Epoch [5][50/103]	lr: 2.500e-03, eta: 0:19:53, time: 1.559, data_time: 0.049, memory: 3163, loss_rpn_cls: 0.0106, loss_rpn_bbox: 0.0517, loss_cls: 0.2213, acc: 90.2930, loss_bbox: 0.2719, loss: 0.5556
2021-10-18 15:00:19,786 - mmdet - INFO - Epoch [5][60/103]	lr: 2.500e-03, eta: 0:19:37, time: 1.558, data_time: 0.048, memory: 3163, loss_rpn_cls: 0.0102, loss_rpn_bbox: 0.0393, loss_cls: 0.1849, acc: 92.0898, loss_bbox: 0.2542, loss: 0.4886
2021-10-18 15:00:35,359 - mmdet - INFO - Epoch [5][70/103]	lr: 2.500e-03, eta: 0:19:22, time: 1.557, data_time: 0.047, memory: 3163, loss_rpn_cls: 0.0115, loss_rpn_bbox: 0.0430, loss_cls: 0.2312, acc: 89.7266, loss_bbox: 0.2958, loss: 0.5815
2021-10-18 15:00:50,928 - mmdet - INFO - Epoch [5][80/103]	lr: 2.500e-03, eta: 0:19:07, time: 1.557, data_time: 0.048, memory: 3163, loss_rpn_cls: 0.0130, loss_rpn_bbox: 0.0454, loss_cls: 0.2032, acc: 91.3281, loss_bbox: 0.2920, loss: 0.5536
2021-10-18 15:01:06,512 - mmdet - INFO - Epoch [5][90/103]	lr: 2.500e-03, eta: 0:18:52, time: 1.558, data_time: 0.047, memory: 3163, loss_rpn_cls: 0.0101, loss_rpn_bbox: 0.0529, loss_cls: 0.2109, acc: 90.4590, loss_bbox: 0.3155, loss: 0.5895
2021-10-18 15:01:22,111 - mmdet - INFO - Epoch [5][100/103]	lr: 2.500e-03, eta: 0:18:37, time: 1.560, data_time: 0.047, memory: 3163, loss_rpn_cls: 0.0135, loss_rpn_bbox: 0.0537, loss_cls: 0.2242, acc: 89.6289, loss_bbox: 0.3117, loss: 0.6031
2021-10-18 15:01:44,312 - mmdet - INFO - Epoch [6][10/103]	lr: 2.500e-03, eta: 0:18:13, time: 1.746, data_time: 0.233, memory: 3163, loss_rpn_cls: 0.0137, loss_rpn_bbox: 0.0506, loss_cls: 0.2074, acc: 90.7520, loss_bbox: 0.2752, loss: 0.5469
2021-10-18 15:01:59,964 - mmdet - INFO - Epoch [6][20/103]	lr: 2.500e-03, eta: 0:17:58, time: 1.565, data_time: 0.048, memory: 3163, loss_rpn_cls: 0.0074, loss_rpn_bbox: 0.0402, loss_cls: 0.2013, acc: 91.2305, loss_bbox: 0.2628, loss: 0.5118
2021-10-18 15:02:15,565 - mmdet - INFO - Epoch [6][30/103]	lr: 2.500e-03, eta: 0:17:43, time: 1.559, data_time: 0.047, memory: 3163, loss_rpn_cls: 0.0107, loss_rpn_bbox: 0.0541, loss_cls: 0.2096, acc: 91.0547, loss_bbox: 0.3057, loss: 0.5801
2021-10-18 15:02:31,228 - mmdet - INFO - Epoch [6][40/103]	lr: 2.500e-03, eta: 0:17:28, time: 1.567, data_time: 0.050, memory: 3163, loss_rpn_cls: 0.0102, loss_rpn_bbox: 0.0431, loss_cls: 0.2095, acc: 90.8008, loss_bbox: 0.3012, loss: 0.5640
2021-10-18 15:02:46,946 - mmdet - INFO - Epoch [6][50/103]	lr: 2.500e-03, eta: 0:17:13, time: 1.572, data_time: 0.048, memory: 3163, loss_rpn_cls: 0.0093, loss_rpn_bbox: 0.0565, loss_cls: 0.2169, acc: 90.1953, loss_bbox: 0.3056, loss: 0.5884
2021-10-18 15:03:02,644 - mmdet - INFO - Epoch [6][60/103]	lr: 2.500e-03, eta: 0:16:58, time: 1.569, data_time: 0.046, memory: 3163, loss_rpn_cls: 0.0087, loss_rpn_bbox: 0.0444, loss_cls: 0.1868, acc: 91.9824, loss_bbox: 0.2689, loss: 0.5088
2021-10-18 15:03:18,398 - mmdet - INFO - Epoch [6][70/103]	lr: 2.500e-03, eta: 0:16:43, time: 1.575, data_time: 0.048, memory: 3163, loss_rpn_cls: 0.0076, loss_rpn_bbox: 0.0476, loss_cls: 0.2094, acc: 90.6543, loss_bbox: 0.3088, loss: 0.5733
2021-10-18 15:03:34,123 - mmdet - INFO - Epoch [6][80/103]	lr: 2.500e-03, eta: 0:16:28, time: 1.573, data_time: 0.049, memory: 3163, loss_rpn_cls: 0.0126, loss_rpn_bbox: 0.0468, loss_cls: 0.2358, acc: 89.4141, loss_bbox: 0.2845, loss: 0.5796
2021-10-18 15:03:49,854 - mmdet - INFO - Epoch [6][90/103]	lr: 2.500e-03, eta: 0:16:13, time: 1.573, data_time: 0.048, memory: 3163, loss_rpn_cls: 0.0107, loss_rpn_bbox: 0.0418, loss_cls: 0.2364, acc: 89.4629, loss_bbox: 0.2580, loss: 0.5468
2021-10-18 15:04:05,618 - mmdet - INFO - Epoch [6][100/103]	lr: 2.500e-03, eta: 0:15:58, time: 1.576, data_time: 0.048, memory: 3163, loss_rpn_cls: 0.0128, loss_rpn_bbox: 0.0515, loss_cls: 0.2274, acc: 90.1855, loss_bbox: 0.2945, loss: 0.5862
2021-10-18 15:04:27,956 - mmdet - INFO - Epoch [7][10/103]	lr: 2.500e-03, eta: 0:15:35, time: 1.757, data_time: 0.234, memory: 3163, loss_rpn_cls: 0.0121, loss_rpn_bbox: 0.0552, loss_cls: 0.1878, acc: 91.8750, loss_bbox: 0.2967, loss: 0.5517
2021-10-18 15:04:43,678 - mmdet - INFO - Epoch [7][20/103]	lr: 2.500e-03, eta: 0:15:20, time: 1.572, data_time: 0.049, memory: 3163, loss_rpn_cls: 0.0113, loss_rpn_bbox: 0.0543, loss_cls: 0.2078, acc: 91.2988, loss_bbox: 0.2867, loss: 0.5601
2021-10-18 15:04:59,445 - mmdet - INFO - Epoch [7][30/103]	lr: 2.500e-03, eta: 0:15:05, time: 1.577, data_time: 0.050, memory: 3163, loss_rpn_cls: 0.0064, loss_rpn_bbox: 0.0436, loss_cls: 0.2141, acc: 90.7910, loss_bbox: 0.2589, loss: 0.5230
2021-10-18 15:05:15,222 - mmdet - INFO - Epoch [7][40/103]	lr: 2.500e-03, eta: 0:14:50, time: 1.578, data_time: 0.046, memory: 3163, loss_rpn_cls: 0.0121, loss_rpn_bbox: 0.0425, loss_cls: 0.1989, acc: 91.2402, loss_bbox: 0.2928, loss: 0.5463
2021-10-18 15:05:30,968 - mmdet - INFO - Epoch [7][50/103]	lr: 2.500e-03, eta: 0:14:35, time: 1.574, data_time: 0.049, memory: 3163, loss_rpn_cls: 0.0069, loss_rpn_bbox: 0.0476, loss_cls: 0.1792, acc: 92.3438, loss_bbox: 0.2747, loss: 0.5085
2021-10-18 15:05:46,673 - mmdet - INFO - Epoch [7][60/103]	lr: 2.500e-03, eta: 0:14:20, time: 1.571, data_time: 0.049, memory: 3163, loss_rpn_cls: 0.0118, loss_rpn_bbox: 0.0427, loss_cls: 0.1889, acc: 91.3867, loss_bbox: 0.2528, loss: 0.4962
2021-10-18 15:06:02,363 - mmdet - INFO - Epoch [7][70/103]	lr: 2.500e-03, eta: 0:14:04, time: 1.569, data_time: 0.050, memory: 3163, loss_rpn_cls: 0.0059, loss_rpn_bbox: 0.0406, loss_cls: 0.2097, acc: 90.7910, loss_bbox: 0.2512, loss: 0.5075
2021-10-18 15:06:18,129 - mmdet - INFO - Epoch [7][80/103]	lr: 2.500e-03, eta: 0:13:49, time: 1.577, data_time: 0.047, memory: 3163, loss_rpn_cls: 0.0104, loss_rpn_bbox: 0.0499, loss_cls: 0.2154, acc: 90.3320, loss_bbox: 0.2776, loss: 0.5534
2021-10-18 15:06:33,890 - mmdet - INFO - Epoch [7][90/103]	lr: 2.500e-03, eta: 0:13:34, time: 1.576, data_time: 0.048, memory: 3163, loss_rpn_cls: 0.0151, loss_rpn_bbox: 0.0420, loss_cls: 0.2420, acc: 89.1309, loss_bbox: 0.2749, loss: 0.5739
2021-10-18 15:06:49,605 - mmdet - INFO - Epoch [7][100/103]	lr: 2.500e-03, eta: 0:13:19, time: 1.571, data_time: 0.047, memory: 3163, loss_rpn_cls: 0.0089, loss_rpn_bbox: 0.0460, loss_cls: 0.2090, acc: 91.2109, loss_bbox: 0.2762, loss: 0.5402
2021-10-18 15:07:12,005 - mmdet - INFO - Epoch [8][10/103]	lr: 2.500e-03, eta: 0:12:57, time: 1.764, data_time: 0.234, memory: 3163, loss_rpn_cls: 0.0058, loss_rpn_bbox: 0.0533, loss_cls: 0.2009, acc: 91.5137, loss_bbox: 0.2877, loss: 0.5477
2021-10-18 15:07:27,751 - mmdet - INFO - Epoch [8][20/103]	lr: 2.500e-03, eta: 0:12:42, time: 1.575, data_time: 0.048, memory: 3163, loss_rpn_cls: 0.0080, loss_rpn_bbox: 0.0523, loss_cls: 0.2126, acc: 90.6543, loss_bbox: 0.2808, loss: 0.5536
2021-10-18 15:07:43,526 - mmdet - INFO - Epoch [8][30/103]	lr: 2.500e-03, eta: 0:12:27, time: 1.578, data_time: 0.048, memory: 3163, loss_rpn_cls: 0.0121, loss_rpn_bbox: 0.0421, loss_cls: 0.1987, acc: 91.4160, loss_bbox: 0.2803, loss: 0.5331
2021-10-18 15:07:59,324 - mmdet - INFO - Epoch [8][40/103]	lr: 2.500e-03, eta: 0:12:12, time: 1.579, data_time: 0.048, memory: 3163, loss_rpn_cls: 0.0097, loss_rpn_bbox: 0.0436, loss_cls: 0.1987, acc: 91.4746, loss_bbox: 0.2670, loss: 0.5191
2021-10-18 15:08:15,074 - mmdet - INFO - Epoch [8][50/103]	lr: 2.500e-03, eta: 0:11:56, time: 1.575, data_time: 0.049, memory: 3163, loss_rpn_cls: 0.0104, loss_rpn_bbox: 0.0430, loss_cls: 0.2119, acc: 90.8203, loss_bbox: 0.2779, loss: 0.5433
2021-10-18 15:08:30,775 - mmdet - INFO - Epoch [8][60/103]	lr: 2.500e-03, eta: 0:11:41, time: 1.569, data_time: 0.047, memory: 3163, loss_rpn_cls: 0.0127, loss_rpn_bbox: 0.0331, loss_cls: 0.1876, acc: 91.7578, loss_bbox: 0.2415, loss: 0.4749
2021-10-18 15:08:46,585 - mmdet - INFO - Epoch [8][70/103]	lr: 2.500e-03, eta: 0:11:26, time: 1.582, data_time: 0.048, memory: 3163, loss_rpn_cls: 0.0112, loss_rpn_bbox: 0.0361, loss_cls: 0.2252, acc: 89.8438, loss_bbox: 0.2437, loss: 0.5161
2021-10-18 15:09:02,432 - mmdet - INFO - Epoch [8][80/103]	lr: 2.500e-03, eta: 0:11:11, time: 1.584, data_time: 0.047, memory: 3163, loss_rpn_cls: 0.0099, loss_rpn_bbox: 0.0537, loss_cls: 0.1993, acc: 91.5234, loss_bbox: 0.2850, loss: 0.5480
2021-10-18 15:09:18,211 - mmdet - INFO - Epoch [8][90/103]	lr: 2.500e-03, eta: 0:10:56, time: 1.578, data_time: 0.050, memory: 3163, loss_rpn_cls: 0.0065, loss_rpn_bbox: 0.0534, loss_cls: 0.1822, acc: 92.0117, loss_bbox: 0.2840, loss: 0.5262
2021-10-18 15:09:33,972 - mmdet - INFO - Epoch [8][100/103]	lr: 2.500e-03, eta: 0:10:40, time: 1.576, data_time: 0.048, memory: 3163, loss_rpn_cls: 0.0079, loss_rpn_bbox: 0.0499, loss_cls: 0.1804, acc: 92.2559, loss_bbox: 0.2750, loss: 0.5133
2021-10-18 15:09:56,375 - mmdet - INFO - Epoch [9][10/103]	lr: 2.500e-04, eta: 0:10:19, time: 1.764, data_time: 0.235, memory: 3163, loss_rpn_cls: 0.0109, loss_rpn_bbox: 0.0461, loss_cls: 0.2038, acc: 91.1133, loss_bbox: 0.2733, loss: 0.5341
2021-10-18 15:10:12,120 - mmdet - INFO - Epoch [9][20/103]	lr: 2.500e-04, eta: 0:10:04, time: 1.575, data_time: 0.048, memory: 3163, loss_rpn_cls: 0.0114, loss_rpn_bbox: 0.0459, loss_cls: 0.1855, acc: 91.9824, loss_bbox: 0.2692, loss: 0.5121
2021-10-18 15:10:27,837 - mmdet - INFO - Epoch [9][30/103]	lr: 2.500e-04, eta: 0:09:48, time: 1.571, data_time: 0.048, memory: 3163, loss_rpn_cls: 0.0085, loss_rpn_bbox: 0.0349, loss_cls: 0.1752, acc: 92.5488, loss_bbox: 0.2350, loss: 0.4536
2021-10-18 15:10:43,597 - mmdet - INFO - Epoch [9][40/103]	lr: 2.500e-04, eta: 0:09:33, time: 1.576, data_time: 0.049, memory: 3163, loss_rpn_cls: 0.0080, loss_rpn_bbox: 0.0415, loss_cls: 0.1967, acc: 91.6895, loss_bbox: 0.2577, loss: 0.5040
2021-10-18 15:10:59,391 - mmdet - INFO - Epoch [9][50/103]	lr: 2.500e-04, eta: 0:09:18, time: 1.580, data_time: 0.048, memory: 3163, loss_rpn_cls: 0.0082, loss_rpn_bbox: 0.0343, loss_cls: 0.1593, acc: 93.1445, loss_bbox: 0.2243, loss: 0.4261
2021-10-18 15:11:15,188 - mmdet - INFO - Epoch [9][60/103]	lr: 2.500e-04, eta: 0:09:03, time: 1.580, data_time: 0.048, memory: 3163, loss_rpn_cls: 0.0093, loss_rpn_bbox: 0.0392, loss_cls: 0.1843, acc: 92.0215, loss_bbox: 0.2262, loss: 0.4590
2021-10-18 15:11:30,975 - mmdet - INFO - Epoch [9][70/103]	lr: 2.500e-04, eta: 0:08:47, time: 1.578, data_time: 0.047, memory: 3163, loss_rpn_cls: 0.0080, loss_rpn_bbox: 0.0394, loss_cls: 0.1610, acc: 93.2422, loss_bbox: 0.2546, loss: 0.4630
2021-10-18 15:11:46,744 - mmdet - INFO - Epoch [9][80/103]	lr: 2.500e-04, eta: 0:08:32, time: 1.578, data_time: 0.049, memory: 3163, loss_rpn_cls: 0.0070, loss_rpn_bbox: 0.0434, loss_cls: 0.1895, acc: 91.8262, loss_bbox: 0.2544, loss: 0.4944
2021-10-18 15:12:02,500 - mmdet - INFO - Epoch [9][90/103]	lr: 2.500e-04, eta: 0:08:17, time: 1.575, data_time: 0.048, memory: 3163, loss_rpn_cls: 0.0069, loss_rpn_bbox: 0.0364, loss_cls: 0.1707, acc: 92.8613, loss_bbox: 0.2301, loss: 0.4440
2021-10-18 15:12:18,240 - mmdet - INFO - Epoch [9][100/103]	lr: 2.500e-04, eta: 0:08:01, time: 1.574, data_time: 0.049, memory: 3163, loss_rpn_cls: 0.0102, loss_rpn_bbox: 0.0396, loss_cls: 0.1664, acc: 92.9297, loss_bbox: 0.2421, loss: 0.4583
2021-10-18 15:12:40,644 - mmdet - INFO - Epoch [10][10/103]	lr: 2.500e-04, eta: 0:07:41, time: 1.762, data_time: 0.235, memory: 3163, loss_rpn_cls: 0.0087, loss_rpn_bbox: 0.0417, loss_cls: 0.1784, acc: 92.4121, loss_bbox: 0.2568, loss: 0.4856
2021-10-18 15:12:56,354 - mmdet - INFO - Epoch [10][20/103]	lr: 2.500e-04, eta: 0:07:25, time: 1.571, data_time: 0.049, memory: 3163, loss_rpn_cls: 0.0081, loss_rpn_bbox: 0.0380, loss_cls: 0.1600, acc: 93.1641, loss_bbox: 0.2438, loss: 0.4498
2021-10-18 15:13:12,156 - mmdet - INFO - Epoch [10][30/103]	lr: 2.500e-04, eta: 0:07:10, time: 1.581, data_time: 0.050, memory: 3163, loss_rpn_cls: 0.0071, loss_rpn_bbox: 0.0433, loss_cls: 0.1610, acc: 93.0371, loss_bbox: 0.2484, loss: 0.4598
2021-10-18 15:13:27,901 - mmdet - INFO - Epoch [10][40/103]	lr: 2.500e-04, eta: 0:06:55, time: 1.575, data_time: 0.048, memory: 3163, loss_rpn_cls: 0.0066, loss_rpn_bbox: 0.0392, loss_cls: 0.1850, acc: 91.7676, loss_bbox: 0.2658, loss: 0.4967
2021-10-18 15:13:43,628 - mmdet - INFO - Epoch [10][50/103]	lr: 2.500e-04, eta: 0:06:39, time: 1.572, data_time: 0.048, memory: 3163, loss_rpn_cls: 0.0082, loss_rpn_bbox: 0.0416, loss_cls: 0.1646, acc: 93.3887, loss_bbox: 0.2515, loss: 0.4659
2021-10-18 15:13:59,433 - mmdet - INFO - Epoch [10][60/103]	lr: 2.500e-04, eta: 0:06:24, time: 1.581, data_time: 0.048, memory: 3163, loss_rpn_cls: 0.0089, loss_rpn_bbox: 0.0459, loss_cls: 0.1665, acc: 92.9102, loss_bbox: 0.2580, loss: 0.4793
2021-10-18 15:14:15,196 - mmdet - INFO - Epoch [10][70/103]	lr: 2.500e-04, eta: 0:06:08, time: 1.577, data_time: 0.050, memory: 3163, loss_rpn_cls: 0.0066, loss_rpn_bbox: 0.0378, loss_cls: 0.1633, acc: 93.1055, loss_bbox: 0.2305, loss: 0.4381
2021-10-18 15:14:30,971 - mmdet - INFO - Epoch [10][80/103]	lr: 2.500e-04, eta: 0:05:53, time: 1.577, data_time: 0.051, memory: 3163, loss_rpn_cls: 0.0071, loss_rpn_bbox: 0.0348, loss_cls: 0.1681, acc: 92.8906, loss_bbox: 0.2326, loss: 0.4426
2021-10-18 15:14:46,770 - mmdet - INFO - Epoch [10][90/103]	lr: 2.500e-04, eta: 0:05:38, time: 1.581, data_time: 0.050, memory: 3163, loss_rpn_cls: 0.0106, loss_rpn_bbox: 0.0360, loss_cls: 0.1589, acc: 93.0371, loss_bbox: 0.2178, loss: 0.4232
2021-10-18 15:15:02,550 - mmdet - INFO - Epoch [10][100/103]	lr: 2.500e-04, eta: 0:05:22, time: 1.578, data_time: 0.048, memory: 3163, loss_rpn_cls: 0.0115, loss_rpn_bbox: 0.0357, loss_cls: 0.1748, acc: 92.5098, loss_bbox: 0.2288, loss: 0.4508
2021-10-18 15:15:24,986 - mmdet - INFO - Epoch [11][10/103]	lr: 2.500e-04, eta: 0:05:02, time: 1.768, data_time: 0.235, memory: 3163, loss_rpn_cls: 0.0066, loss_rpn_bbox: 0.0436, loss_cls: 0.1668, acc: 92.7246, loss_bbox: 0.2477, loss: 0.4647
2021-10-18 15:15:40,764 - mmdet - INFO - Epoch [11][20/103]	lr: 2.500e-04, eta: 0:04:46, time: 1.577, data_time: 0.048, memory: 3163, loss_rpn_cls: 0.0059, loss_rpn_bbox: 0.0340, loss_cls: 0.1574, acc: 93.5645, loss_bbox: 0.2274, loss: 0.4246
2021-10-18 15:15:56,568 - mmdet - INFO - Epoch [11][30/103]	lr: 2.500e-04, eta: 0:04:31, time: 1.581, data_time: 0.050, memory: 3163, loss_rpn_cls: 0.0080, loss_rpn_bbox: 0.0415, loss_cls: 0.1643, acc: 93.2520, loss_bbox: 0.2272, loss: 0.4409
2021-10-18 15:16:12,338 - mmdet - INFO - Epoch [11][40/103]	lr: 2.500e-04, eta: 0:04:16, time: 1.577, data_time: 0.048, memory: 3163, loss_rpn_cls: 0.0105, loss_rpn_bbox: 0.0426, loss_cls: 0.1746, acc: 92.7051, loss_bbox: 0.2327, loss: 0.4604
2021-10-18 15:16:28,127 - mmdet - INFO - Epoch [11][50/103]	lr: 2.500e-04, eta: 0:04:00, time: 1.579, data_time: 0.048, memory: 3163, loss_rpn_cls: 0.0105, loss_rpn_bbox: 0.0357, loss_cls: 0.1502, acc: 93.6719, loss_bbox: 0.2220, loss: 0.4184
2021-10-18 15:16:43,887 - mmdet - INFO - Epoch [11][60/103]	lr: 2.500e-04, eta: 0:03:45, time: 1.575, data_time: 0.047, memory: 3163, loss_rpn_cls: 0.0074, loss_rpn_bbox: 0.0433, loss_cls: 0.1712, acc: 92.9785, loss_bbox: 0.2520, loss: 0.4739
2021-10-18 15:16:59,694 - mmdet - INFO - Epoch [11][70/103]	lr: 2.500e-04, eta: 0:03:30, time: 1.581, data_time: 0.050, memory: 3163, loss_rpn_cls: 0.0077, loss_rpn_bbox: 0.0385, loss_cls: 0.1562, acc: 93.4082, loss_bbox: 0.2385, loss: 0.4409
2021-10-18 15:17:15,410 - mmdet - INFO - Epoch [11][80/103]	lr: 2.500e-04, eta: 0:03:14, time: 1.572, data_time: 0.049, memory: 3163, loss_rpn_cls: 0.0046, loss_rpn_bbox: 0.0372, loss_cls: 0.1741, acc: 92.6953, loss_bbox: 0.2438, loss: 0.4596
2021-10-18 15:17:31,165 - mmdet - INFO - Epoch [11][90/103]	lr: 2.500e-04, eta: 0:02:59, time: 1.575, data_time: 0.048, memory: 3163, loss_rpn_cls: 0.0058, loss_rpn_bbox: 0.0340, loss_cls: 0.1713, acc: 92.7344, loss_bbox: 0.2241, loss: 0.4351
2021-10-18 15:17:46,930 - mmdet - INFO - Epoch [11][100/103]	lr: 2.500e-04, eta: 0:02:43, time: 1.577, data_time: 0.048, memory: 3163, loss_rpn_cls: 0.0061, loss_rpn_bbox: 0.0409, loss_cls: 0.1846, acc: 92.2852, loss_bbox: 0.2562, loss: 0.4879
2021-10-18 15:18:09,435 - mmdet - INFO - Epoch [12][10/103]	lr: 2.500e-05, eta: 0:02:23, time: 1.772, data_time: 0.239, memory: 3163, loss_rpn_cls: 0.0067, loss_rpn_bbox: 0.0461, loss_cls: 0.1533, acc: 93.8379, loss_bbox: 0.2564, loss: 0.4625
2021-10-18 15:18:25,199 - mmdet - INFO - Epoch [12][20/103]	lr: 2.500e-05, eta: 0:02:08, time: 1.576, data_time: 0.047, memory: 3163, loss_rpn_cls: 0.0078, loss_rpn_bbox: 0.0337, loss_cls: 0.1636, acc: 92.9395, loss_bbox: 0.2393, loss: 0.4444
2021-10-18 15:18:40,980 - mmdet - INFO - Epoch [12][30/103]	lr: 2.500e-05, eta: 0:01:52, time: 1.578, data_time: 0.047, memory: 3163, loss_rpn_cls: 0.0074, loss_rpn_bbox: 0.0378, loss_cls: 0.1535, acc: 93.3203, loss_bbox: 0.2322, loss: 0.4308
2021-10-18 15:18:56,750 - mmdet - INFO - Epoch [12][40/103]	lr: 2.500e-05, eta: 0:01:37, time: 1.577, data_time: 0.048, memory: 3163, loss_rpn_cls: 0.0078, loss_rpn_bbox: 0.0415, loss_cls: 0.1613, acc: 93.3594, loss_bbox: 0.2299, loss: 0.4405
2021-10-18 15:19:12,512 - mmdet - INFO - Epoch [12][50/103]	lr: 2.500e-05, eta: 0:01:21, time: 1.575, data_time: 0.048, memory: 3163, loss_rpn_cls: 0.0061, loss_rpn_bbox: 0.0396, loss_cls: 0.1502, acc: 93.3105, loss_bbox: 0.2375, loss: 0.4334
2021-10-18 15:19:28,253 - mmdet - INFO - Epoch [12][60/103]	lr: 2.500e-05, eta: 0:01:06, time: 1.575, data_time: 0.050, memory: 3163, loss_rpn_cls: 0.0077, loss_rpn_bbox: 0.0355, loss_cls: 0.1670, acc: 92.8809, loss_bbox: 0.2007, loss: 0.4109
2021-10-18 15:19:43,993 - mmdet - INFO - Epoch [12][70/103]	lr: 2.500e-05, eta: 0:00:50, time: 1.574, data_time: 0.047, memory: 3163, loss_rpn_cls: 0.0071, loss_rpn_bbox: 0.0359, loss_cls: 0.1480, acc: 93.9160, loss_bbox: 0.2361, loss: 0.4271
2021-10-18 15:19:59,777 - mmdet - INFO - Epoch [12][80/103]	lr: 2.500e-05, eta: 0:00:35, time: 1.578, data_time: 0.047, memory: 3163, loss_rpn_cls: 0.0109, loss_rpn_bbox: 0.0388, loss_cls: 0.1823, acc: 92.3828, loss_bbox: 0.2493, loss: 0.4813
2021-10-18 15:20:15,526 - mmdet - INFO - Epoch [12][90/103]	lr: 2.500e-05, eta: 0:00:20, time: 1.575, data_time: 0.049, memory: 3163, loss_rpn_cls: 0.0038, loss_rpn_bbox: 0.0387, loss_cls: 0.1636, acc: 93.0078, loss_bbox: 0.2283, loss: 0.4344
2021-10-18 15:20:31,262 - mmdet - INFO - Epoch [12][100/103]	lr: 2.500e-05, eta: 0:00:04, time: 1.573, data_time: 0.047, memory: 3163, loss_rpn_cls: 0.0065, loss_rpn_bbox: 0.0373, loss_cls: 0.1759, acc: 92.7246, loss_bbox: 0.2317, loss: 0.4514
2021-10-18 15:20:35,682 - mmdet - INFO - Saving checkpoint at 12 epochs
[>>>>>>>>>>>>>>>>>>>>>>>>>>>>>>>>] 87/87, 2.7 task/s, elapsed: 32s, ETA:     0s2021-10-18 15:21:09,102 - mmdet - INFO - Evaluating bbox...
Loading and preparing results...
DONE (t=0.00s)
creating index...
index created!
Running per image evaluation...
Evaluate annotation type *bbox*
2021-10-18 15:21:10,170 - mmdet - INFO - Epoch(val) [12][87]	bbox_mAP: 0.6290, bbox_mAP_50: 0.8990, bbox_mAP_75: 0.7130, bbox_mAP_s: 0.1520, bbox_mAP_m: 0.4960, bbox_mAP_l: 0.7330, bbox_mAP_copypaste: 0.629 0.899 0.713 0.152 0.496 0.733
DONE (t=0.94s).
Accumulating evaluation results...
DONE (t=0.09s).
 Average Precision  (AP) @[ IoU=0.50:0.95 | area=   all | maxDets=100 ] = 0.629
 Average Precision  (AP) @[ IoU=0.50      | area=   all | maxDets=1000 ] = 0.899
 Average Precision  (AP) @[ IoU=0.75      | area=   all | maxDets=1000 ] = 0.713
 Average Precision  (AP) @[ IoU=0.50:0.95 | area= small | maxDets=1000 ] = 0.152
 Average Precision  (AP) @[ IoU=0.50:0.95 | area=medium | maxDets=1000 ] = 0.496
 Average Precision  (AP) @[ IoU=0.50:0.95 | area= large | maxDets=1000 ] = 0.733
 Average Recall     (AR) @[ IoU=0.50:0.95 | area=   all | maxDets=100 ] = 0.714
 Average Recall     (AR) @[ IoU=0.50:0.95 | area=   all | maxDets=300 ] = 0.714
 Average Recall     (AR) @[ IoU=0.50:0.95 | area=   all | maxDets=1000 ] = 0.714
 Average Recall     (AR) @[ IoU=0.50:0.95 | area= small | maxDets=1000 ] = 0.179
 Average Recall     (AR) @[ IoU=0.50:0.95 | area=medium | maxDets=1000 ] = 0.633
 Average Recall     (AR) @[ IoU=0.50:0.95 | area= large | maxDets=1000 ] = 0.797
import cv2
from mmdet.apis import inference_detector, init_detector, show_result_pyplot

img = cv2.imread('/content/BCCD_Dataset/BCCD/JPEGImages/BloodImage_00007.jpg')

model.cfg = cfg

result = inference_detector(model, img)
show_result_pyplot(model, img, result)

 

반응형
728x90
반응형

dddd

반응형
728x90
반응형

Config를 설정하고 COCO로 Pretrained 된 모델을 Download

  • config파일은 faster rcnn resnet 50 backbone 사용.
  • Oxford Pet 데이터는 학습에 시간에 소모 되므로 학습으로 생성된 모델을 Google Drive에 저장
config_file = './mmdetection/configs/faster_rcnn/faster_rcnn_r50_fpn_1x_coco.py'
checkpoint_file = './mmdetection/checkpoints/faster_rcnn_r50_fpn_1x_coco_20200130-047c8118.pth'

!cd mmdetection; mkdir checkpoints
!wget -O ./mmdetection/checkpoints/faster_rcnn_r50_fpn_1x_coco_20200130-047c8118.pth http://download.openmmlab.com/mmdetection/v2.0/faster_rcnn/faster_rcnn_r50_fpn_1x_coco/faster_rcnn_r50_fpn_1x_coco_20200130-047c8118.pth
from mmcv import Config

cfg = Config.fromfile(config_file)
print(cfg.pretty_text)
model = dict(
    type='FasterRCNN',
    backbone=dict(
        type='ResNet',
        depth=50,
        num_stages=4,
        out_indices=(0, 1, 2, 3),
        frozen_stages=1,
        norm_cfg=dict(type='BN', requires_grad=True),
        norm_eval=True,
        style='pytorch',
        init_cfg=dict(type='Pretrained', checkpoint='torchvision://resnet50')),
    neck=dict(
        type='FPN',
        in_channels=[256, 512, 1024, 2048],
        out_channels=256,
        num_outs=5),
    rpn_head=dict(
        type='RPNHead',
        in_channels=256,
        feat_channels=256,
        anchor_generator=dict(
            type='AnchorGenerator',
            scales=[8],
            ratios=[0.5, 1.0, 2.0],
            strides=[4, 8, 16, 32, 64]),
        bbox_coder=dict(
            type='DeltaXYWHBBoxCoder',
            target_means=[0.0, 0.0, 0.0, 0.0],
            target_stds=[1.0, 1.0, 1.0, 1.0]),
        loss_cls=dict(
            type='CrossEntropyLoss', use_sigmoid=True, loss_weight=1.0),
        loss_bbox=dict(type='L1Loss', loss_weight=1.0)),
    roi_head=dict(
        type='StandardRoIHead',
        bbox_roi_extractor=dict(
            type='SingleRoIExtractor',
            roi_layer=dict(type='RoIAlign', output_size=7, sampling_ratio=0),
            out_channels=256,
            featmap_strides=[4, 8, 16, 32]),
        bbox_head=dict(
            type='Shared2FCBBoxHead',
            in_channels=256,
            fc_out_channels=1024,
            roi_feat_size=7,
            num_classes=80,
            bbox_coder=dict(
                type='DeltaXYWHBBoxCoder',
                target_means=[0.0, 0.0, 0.0, 0.0],
                target_stds=[0.1, 0.1, 0.2, 0.2]),
            reg_class_agnostic=False,
            loss_cls=dict(
                type='CrossEntropyLoss', use_sigmoid=False, loss_weight=1.0),
            loss_bbox=dict(type='L1Loss', loss_weight=1.0))),
    train_cfg=dict(
        rpn=dict(
            assigner=dict(
                type='MaxIoUAssigner',
                pos_iou_thr=0.7,
                neg_iou_thr=0.3,
                min_pos_iou=0.3,
                match_low_quality=True,
                ignore_iof_thr=-1),
            sampler=dict(
                type='RandomSampler',
                num=256,
                pos_fraction=0.5,
                neg_pos_ub=-1,
                add_gt_as_proposals=False),
            allowed_border=-1,
            pos_weight=-1,
            debug=False),
        rpn_proposal=dict(
            nms_pre=2000,
            max_per_img=1000,
            nms=dict(type='nms', iou_threshold=0.7),
            min_bbox_size=0),
        rcnn=dict(
            assigner=dict(
                type='MaxIoUAssigner',
                pos_iou_thr=0.5,
                neg_iou_thr=0.5,
                min_pos_iou=0.5,
                match_low_quality=False,
                ignore_iof_thr=-1),
            sampler=dict(
                type='RandomSampler',
                num=512,
                pos_fraction=0.25,
                neg_pos_ub=-1,
                add_gt_as_proposals=True),
            pos_weight=-1,
            debug=False)),
    test_cfg=dict(
        rpn=dict(
            nms_pre=1000,
            max_per_img=1000,
            nms=dict(type='nms', iou_threshold=0.7),
            min_bbox_size=0),
        rcnn=dict(
            score_thr=0.05,
            nms=dict(type='nms', iou_threshold=0.5),
            max_per_img=100)))
dataset_type = 'CocoDataset'
data_root = 'data/coco/'
img_norm_cfg = dict(
    mean=[123.675, 116.28, 103.53], std=[58.395, 57.12, 57.375], to_rgb=True)
train_pipeline = [
    dict(type='LoadImageFromFile'),
    dict(type='LoadAnnotations', with_bbox=True),
    dict(type='Resize', img_scale=(1333, 800), keep_ratio=True),
    dict(type='RandomFlip', flip_ratio=0.5),
    dict(
        type='Normalize',
        mean=[123.675, 116.28, 103.53],
        std=[58.395, 57.12, 57.375],
        to_rgb=True),
    dict(type='Pad', size_divisor=32),
    dict(type='DefaultFormatBundle'),
    dict(type='Collect', keys=['img', 'gt_bboxes', 'gt_labels'])
]
test_pipeline = [
    dict(type='LoadImageFromFile'),
    dict(
        type='MultiScaleFlipAug',
        img_scale=(1333, 800),
        flip=False,
        transforms=[
            dict(type='Resize', keep_ratio=True),
            dict(type='RandomFlip'),
            dict(
                type='Normalize',
                mean=[123.675, 116.28, 103.53],
                std=[58.395, 57.12, 57.375],
                to_rgb=True),
            dict(type='Pad', size_divisor=32),
            dict(type='ImageToTensor', keys=['img']),
            dict(type='Collect', keys=['img'])
        ])
]
data = dict(
    samples_per_gpu=2,
    workers_per_gpu=2,
    train=dict(
        type='CocoDataset',
        ann_file='data/coco/annotations/instances_train2017.json',
        img_prefix='data/coco/train2017/',
        pipeline=[
            dict(type='LoadImageFromFile'),
            dict(type='LoadAnnotations', with_bbox=True),
            dict(type='Resize', img_scale=(1333, 800), keep_ratio=True),
            dict(type='RandomFlip', flip_ratio=0.5),
            dict(
                type='Normalize',
                mean=[123.675, 116.28, 103.53],
                std=[58.395, 57.12, 57.375],
                to_rgb=True),
            dict(type='Pad', size_divisor=32),
            dict(type='DefaultFormatBundle'),
            dict(type='Collect', keys=['img', 'gt_bboxes', 'gt_labels'])
        ]),
    val=dict(
        type='CocoDataset',
        ann_file='data/coco/annotations/instances_val2017.json',
        img_prefix='data/coco/val2017/',
        pipeline=[
            dict(type='LoadImageFromFile'),
            dict(
                type='MultiScaleFlipAug',
                img_scale=(1333, 800),
                flip=False,
                transforms=[
                    dict(type='Resize', keep_ratio=True),
                    dict(type='RandomFlip'),
                    dict(
                        type='Normalize',
                        mean=[123.675, 116.28, 103.53],
                        std=[58.395, 57.12, 57.375],
                        to_rgb=True),
                    dict(type='Pad', size_divisor=32),
                    dict(type='ImageToTensor', keys=['img']),
                    dict(type='Collect', keys=['img'])
                ])
        ]),
    test=dict(
        type='CocoDataset',
        ann_file='data/coco/annotations/instances_val2017.json',
        img_prefix='data/coco/val2017/',
        pipeline=[
            dict(type='LoadImageFromFile'),
            dict(
                type='MultiScaleFlipAug',
                img_scale=(1333, 800),
                flip=False,
                transforms=[
                    dict(type='Resize', keep_ratio=True),
                    dict(type='RandomFlip'),
                    dict(
                        type='Normalize',
                        mean=[123.675, 116.28, 103.53],
                        std=[58.395, 57.12, 57.375],
                        to_rgb=True),
                    dict(type='Pad', size_divisor=32),
                    dict(type='ImageToTensor', keys=['img']),
                    dict(type='Collect', keys=['img'])
                ])
        ]))
evaluation = dict(interval=1, metric='bbox')
optimizer = dict(type='SGD', lr=0.02, momentum=0.9, weight_decay=0.0001)
optimizer_config = dict(grad_clip=None)
lr_config = dict(
    policy='step',
    warmup='linear',
    warmup_iters=500,
    warmup_ratio=0.001,
    step=[8, 11])
runner = dict(type='EpochBasedRunner', max_epochs=12)
checkpoint_config = dict(interval=1)
log_config = dict(interval=50, hooks=[dict(type='TextLoggerHook')])
custom_hooks = [dict(type='NumClassCheckHook')]
dist_params = dict(backend='nccl')
log_level = 'INFO'
load_from = None
resume_from = None
workflow = [('train', 1)]
# Google Drive 접근을 위한 Mount 적용. 
import os, sys 
from google.colab import drive 

drive.mount('/content/gdrive')
# soft link로 Google Drive Directory 연결. 
!ln -s /content/gdrive/My\ Drive/ /mydrive
!ls /mydrive
# Google Drive 밑에 Directory 생성. 이미 생성 되어 있을 시 오류 발생. 
!mkdir "/mydrive/pet_work_dir"
!nvidia-smi
Sun Oct 17 09:04:09 2021       
# +-----------------------------------------------------------------------------+
# | NVIDIA-SMI 470.74       Driver Version: 460.32.03    CUDA Version: 11.2     |
# |-------------------------------+----------------------+----------------------+
# | GPU  Name        Persistence-M| Bus-Id        Disp.A | Volatile Uncorr. ECC |
# | Fan  Temp  Perf  Pwr:Usage/Cap|         Memory-Usage | GPU-Util  Compute M. |
# |                               |                      |               MIG M. |
# |===============================+======================+======================|
# |   0  Tesla K80           Off  | 00000000:00:04.0 Off |                    0 |
# | N/A   73C    P8    35W / 149W |      3MiB / 11441MiB |      0%      Default |
# |                               |                      |                  N/A |
# +-------------------------------+----------------------+----------------------+
#                                                                                
# +-----------------------------------------------------------------------------+
# | Processes:                                                                  |
# |  GPU   GI   CI        PID   Type   Process name                  GPU Memory |
# |        ID   ID                                                   Usage      |
# |=============================================================================|
# |  No running processes found                                                 |
# +-----------------------------------------------------------------------------+
from mmdet.apis import set_random_seed

# dataset에 대한 환경 파라미터 수정. 
cfg.dataset_type = 'PetDataset'
cfg.data_root = '/content/data/'

# train, val, test dataset에 대한 type, data_root, ann_file, img_prefix 환경 파라미터 수정. 
cfg.data.train.type = 'PetDataset'
cfg.data.train.data_root = '/content/data/'
cfg.data.train.ann_file = 'train.txt'
cfg.data.train.img_prefix = 'images'

cfg.data.val.type = 'PetDataset'
cfg.data.val.data_root = '/content/data/'
cfg.data.val.ann_file = 'val.txt'
cfg.data.val.img_prefix = 'images'

# class의 갯수 수정. 
cfg.model.roi_head.bbox_head.num_classes = 37
# pretrained 모델
cfg.load_from = 'checkpoints/faster_rcnn_r50_fpn_1x_coco_20200130-047c8118.pth'

# 학습 weight 파일로 로그를 저장하기 위한 디렉토리로 구글 Drive 설정. 
cfg.work_dir = '/mydrive/pet_work_dir'

# 학습율 변경 환경 파라미터 설정. 
cfg.optimizer.lr = 0.02 / 8
cfg.lr_config.warmup = None
cfg.log_config.interval = 5

cfg.runner.max_epochs = 5

# 평가 metric 설정. 
cfg.evaluation.metric = 'mAP'
# 평가 metric 수행할 epoch interval 설정. 
cfg.evaluation.interval = 5
# 학습 iteration시마다 모델을 저장할 epoch interval 설정. 
cfg.checkpoint_config.interval = 5

# 학습 시 Batch size 설정(단일 GPU 별 Batch size로 설정됨)
cfg.data.samples_per_gpu = 4 
# 3000을 2장씩 1500번보다 4장씩 725번이라 좀더 빨리진
# 근데 너무 높이면, gpu 메모리를 많이 먹어서 다운됨

# Set seed thus the results are more reproducible
cfg.seed = 0
set_random_seed(0, deterministic=False)
cfg.gpu_ids = range(1)
# 두번 config를 로드하면 lr_config의 policy가 사라지는 오류로 인하여 설정. 
cfg.lr_config.policy='step'
# We can initialize the logger for training and have a look
# at the final config used for training
print(f'Config:\n{cfg.pretty_text}')

Config:
model = dict(
    type='FasterRCNN',
    backbone=dict(
        type='ResNet',
        depth=50,
        num_stages=4,
        out_indices=(0, 1, 2, 3),
        frozen_stages=1,
        norm_cfg=dict(type='BN', requires_grad=True),
        norm_eval=True,
        style='pytorch',
        init_cfg=dict(type='Pretrained', checkpoint='torchvision://resnet50')),
    neck=dict(
        type='FPN',
        in_channels=[256, 512, 1024, 2048],
        out_channels=256,
        num_outs=5),
    rpn_head=dict(
        type='RPNHead',
        in_channels=256,
        feat_channels=256,
        anchor_generator=dict(
            type='AnchorGenerator',
            scales=[8],
            ratios=[0.5, 1.0, 2.0],
            strides=[4, 8, 16, 32, 64]),
        bbox_coder=dict(
            type='DeltaXYWHBBoxCoder',
            target_means=[0.0, 0.0, 0.0, 0.0],
            target_stds=[1.0, 1.0, 1.0, 1.0]),
        loss_cls=dict(
            type='CrossEntropyLoss', use_sigmoid=True, loss_weight=1.0),
        loss_bbox=dict(type='L1Loss', loss_weight=1.0)),
    roi_head=dict(
        type='StandardRoIHead',
        bbox_roi_extractor=dict(
            type='SingleRoIExtractor',
            roi_layer=dict(type='RoIAlign', output_size=7, sampling_ratio=0),
            out_channels=256,
            featmap_strides=[4, 8, 16, 32]),
        bbox_head=dict(
            type='Shared2FCBBoxHead',
            in_channels=256,
            fc_out_channels=1024,
            roi_feat_size=7,
            num_classes=37,
            bbox_coder=dict(
                type='DeltaXYWHBBoxCoder',
                target_means=[0.0, 0.0, 0.0, 0.0],
                target_stds=[0.1, 0.1, 0.2, 0.2]),
            reg_class_agnostic=False,
            loss_cls=dict(
                type='CrossEntropyLoss', use_sigmoid=False, loss_weight=1.0),
            loss_bbox=dict(type='L1Loss', loss_weight=1.0))),
    train_cfg=dict(
        rpn=dict(
            assigner=dict(
                type='MaxIoUAssigner',
                pos_iou_thr=0.7,
                neg_iou_thr=0.3,
                min_pos_iou=0.3,
                match_low_quality=True,
                ignore_iof_thr=-1),
            sampler=dict(
                type='RandomSampler',
                num=256,
                pos_fraction=0.5,
                neg_pos_ub=-1,
                add_gt_as_proposals=False),
            allowed_border=-1,
            pos_weight=-1,
            debug=False),
        rpn_proposal=dict(
            nms_pre=2000,
            max_per_img=1000,
            nms=dict(type='nms', iou_threshold=0.7),
            min_bbox_size=0),
        rcnn=dict(
            assigner=dict(
                type='MaxIoUAssigner',
                pos_iou_thr=0.5,
                neg_iou_thr=0.5,
                min_pos_iou=0.5,
                match_low_quality=False,
                ignore_iof_thr=-1),
            sampler=dict(
                type='RandomSampler',
                num=512,
                pos_fraction=0.25,
                neg_pos_ub=-1,
                add_gt_as_proposals=True),
            pos_weight=-1,
            debug=False)),
    test_cfg=dict(
        rpn=dict(
            nms_pre=1000,
            max_per_img=1000,
            nms=dict(type='nms', iou_threshold=0.7),
            min_bbox_size=0),
        rcnn=dict(
            score_thr=0.05,
            nms=dict(type='nms', iou_threshold=0.5),
            max_per_img=100)))
dataset_type = 'PetDataset'
data_root = '/content/data/'
img_norm_cfg = dict(
    mean=[123.675, 116.28, 103.53], std=[58.395, 57.12, 57.375], to_rgb=True)
train_pipeline = [
    dict(type='LoadImageFromFile'),
    dict(type='LoadAnnotations', with_bbox=True),
    dict(type='Resize', img_scale=(1333, 800), keep_ratio=True),
    dict(type='RandomFlip', flip_ratio=0.5),
    dict(
        type='Normalize',
        mean=[123.675, 116.28, 103.53],
        std=[58.395, 57.12, 57.375],
        to_rgb=True),
    dict(type='Pad', size_divisor=32),
    dict(type='DefaultFormatBundle'),
    dict(type='Collect', keys=['img', 'gt_bboxes', 'gt_labels'])
]
test_pipeline = [
    dict(type='LoadImageFromFile'),
    dict(
        type='MultiScaleFlipAug',
        img_scale=(1333, 800),
        flip=False,
        transforms=[
            dict(type='Resize', keep_ratio=True),
            dict(type='RandomFlip'),
            dict(
                type='Normalize',
                mean=[123.675, 116.28, 103.53],
                std=[58.395, 57.12, 57.375],
                to_rgb=True),
            dict(type='Pad', size_divisor=32),
            dict(type='ImageToTensor', keys=['img']),
            dict(type='Collect', keys=['img'])
        ])
]
data = dict(
    samples_per_gpu=4,
    workers_per_gpu=2,
    train=dict(
        type='PetDataset',
        ann_file='train.txt',
        img_prefix='images',
        pipeline=[
            dict(type='LoadImageFromFile'),
            dict(type='LoadAnnotations', with_bbox=True),
            dict(type='Resize', img_scale=(1333, 800), keep_ratio=True),
            dict(type='RandomFlip', flip_ratio=0.5),
            dict(
                type='Normalize',
                mean=[123.675, 116.28, 103.53],
                std=[58.395, 57.12, 57.375],
                to_rgb=True),
            dict(type='Pad', size_divisor=32),
            dict(type='DefaultFormatBundle'),
            dict(type='Collect', keys=['img', 'gt_bboxes', 'gt_labels'])
        ],
        data_root='/content/data/'),
    val=dict(
        type='PetDataset',
        ann_file='val.txt',
        img_prefix='images',
        pipeline=[
            dict(type='LoadImageFromFile'),
            dict(
                type='MultiScaleFlipAug',
                img_scale=(1333, 800),
                flip=False,
                transforms=[
                    dict(type='Resize', keep_ratio=True),
                    dict(type='RandomFlip'),
                    dict(
                        type='Normalize',
                        mean=[123.675, 116.28, 103.53],
                        std=[58.395, 57.12, 57.375],
                        to_rgb=True),
                    dict(type='Pad', size_divisor=32),
                    dict(type='ImageToTensor', keys=['img']),
                    dict(type='Collect', keys=['img'])
                ])
        ],
        data_root='/content/data/'),
    test=dict(
        type='CocoDataset',
        ann_file='data/coco/annotations/instances_val2017.json',
        img_prefix='data/coco/val2017/',
        pipeline=[
            dict(type='LoadImageFromFile'),
            dict(
                type='MultiScaleFlipAug',
                img_scale=(1333, 800),
                flip=False,
                transforms=[
                    dict(type='Resize', keep_ratio=True),
                    dict(type='RandomFlip'),
                    dict(
                        type='Normalize',
                        mean=[123.675, 116.28, 103.53],
                        std=[58.395, 57.12, 57.375],
                        to_rgb=True),
                    dict(type='Pad', size_divisor=32),
                    dict(type='ImageToTensor', keys=['img']),
                    dict(type='Collect', keys=['img'])
                ])
        ]))
evaluation = dict(interval=5, metric='mAP')
optimizer = dict(type='SGD', lr=0.0025, momentum=0.9, weight_decay=0.0001)
optimizer_config = dict(grad_clip=None)
lr_config = dict(
    policy='step',
    warmup=None,
    warmup_iters=500,
    warmup_ratio=0.001,
    step=[8, 11])
runner = dict(type='EpochBasedRunner', max_epochs=5)
checkpoint_config = dict(interval=5)
log_config = dict(interval=5, hooks=[dict(type='TextLoggerHook')])
custom_hooks = [dict(type='NumClassCheckHook')]
dist_params = dict(backend='nccl')
log_level = 'INFO'
load_from = 'checkpoints/faster_rcnn_r50_fpn_1x_coco_20200130-047c8118.pth'
resume_from = None
workflow = [('train', 1)]
work_dir = '/mydrive/pet_work_dir'
seed = 0
gpu_ids = range(0, 1)

 

Train용 데이터를 생성하고 Oxford Dataset을 학습수행.

  • build_dataset()로 train config 설정에 따른 Train용 dataset 생성.
  • build_detector()로 train과 test config반영하여 model 생성.
  • train_detector()로 model 학습.
from mmdet.datasets import build_dataset
from mmdet.models import build_detector
from mmdet.apis import train_detector

# train용 Dataset 생성. 
datasets = [build_dataset(cfg.data.train)]

datasets
# [
#  PetDataset Train dataset with number of images 3304, and instance counts: 
#  +-----------------------+-------+-------------------------+-------+-------------------------------+-------+---------------------+-------+---------------------------------+-------+
#  | category              | count | category                | count | category                      | count | category            | count | category                        | count |
#  +-----------------------+-------+-------------------------+-------+-------------------------------+-------+---------------------+-------+---------------------------------+-------+
#  | 0 [Abyssinian]        | 89    | 1 [american_bulldog]    | 90    | 2 [american_pit_bull_terrier] | 90    | 3 [basset_hound]    | 90    | 4 [beagle]                      | 90    |
#  | 5 [Bengal]            | 89    | 6 [Birman]              | 90    | 7 [Bombay]                    | 86    | 8 [boxer]           | 90    | 9 [British_Shorthair]           | 90    |
#  | 10 [chihuahua]        | 90    | 11 [Egyptian_Mau]       | 81    | 12 [english_cocker_spaniel]   | 86    | 13 [english_setter] | 90    | 14 [german_shorthaired]         | 90    |
#  | 15 [great_pyrenees]   | 90    | 16 [havanese]           | 90    | 17 [japanese_chin]            | 90    | 18 [keeshond]       | 90    | 19 [leonberger]                 | 90    |
#  | 20 [Maine_Coon]       | 90    | 21 [miniature_pinscher] | 90    | 22 [newfoundland]             | 87    | 23 [Persian]        | 90    | 24 [pomeranian]                 | 90    |
#  | 25 [pug]              | 90    | 26 [Ragdoll]            | 89    | 27 [Russian_Blue]             | 90    | 28 [saint_bernard]  | 89    | 29 [samoyed]                    | 90    |
#  | 30 [scottish_terrier] | 90    | 31 [shiba_inu]          | 90    | 32 [Siamese]                  | 89    | 33 [Sphynx]         | 90    | 34 [staffordshire_bull_terrier] | 90    |
#  |                       |       |                         |       |                               |       |                     |       |                                 |       |
#  | 35 [wheaten_terrier]  | 90    | 36 [yorkshire_terrier]  | 90    |                               |       |                     |       |                                 |       |
#  +-----------------------+-------+-------------------------+-------+-------------------------------+-------+---------------------+-------+---------------------------------+-------+]
%cd mmdetection

model = build_detector(cfg.model, train_cfg=cfg.get('train_cfg'), test_cfg=cfg.get('test_cfg'))
model.CLASSES = datasets[0].CLASSES

mmcv.mkdir_or_exist(osp.abspath(cfg.work_dir))
# epochs는 config의 runner 파라미터로 지정됨. 기본 12회 
train_detector(model, datasets, cfg, distributed=False, validate=True)

/content/mmdetection
/usr/local/lib/python3.7/dist-packages/mmdet-2.17.0-py3.7.egg/mmdet/core/anchor/builder.py:17: UserWarning: ``build_anchor_generator`` would be deprecated soon, please use ``build_prior_generator`` 
  '``build_anchor_generator`` would be deprecated soon, please use '
2021-10-17 09:04:41,047 - mmdet - INFO - load checkpoint from checkpoints/faster_rcnn_r50_fpn_1x_coco_20200130-047c8118.pth
2021-10-17 09:04:41,048 - mmdet - INFO - Use load_from_local loader
2021-10-17 09:04:41,215 - mmdet - WARNING - The model and loaded state dict do not match exactly

size mismatch for roi_head.bbox_head.fc_cls.weight: copying a param with shape torch.Size([81, 1024]) from checkpoint, the shape in current model is torch.Size([38, 1024]).
size mismatch for roi_head.bbox_head.fc_cls.bias: copying a param with shape torch.Size([81]) from checkpoint, the shape in current model is torch.Size([38]).
size mismatch for roi_head.bbox_head.fc_reg.weight: copying a param with shape torch.Size([320, 1024]) from checkpoint, the shape in current model is torch.Size([148, 1024]).
size mismatch for roi_head.bbox_head.fc_reg.bias: copying a param with shape torch.Size([320]) from checkpoint, the shape in current model is torch.Size([148]).
2021-10-17 09:04:41,226 - mmdet - INFO - Start running, host: root@bcf0fa707f92, work_dir: /mydrive/pet_work_dir
2021-10-17 09:04:41,228 - mmdet - INFO - Hooks will be executed in the following order:
before_run:
(VERY_HIGH   ) StepLrUpdaterHook                  
(NORMAL      ) CheckpointHook                     
(LOW         ) EvalHook                           
(VERY_LOW    ) TextLoggerHook                     
 -------------------- 
before_train_epoch:
(VERY_HIGH   ) StepLrUpdaterHook                  
(NORMAL      ) NumClassCheckHook                  
(LOW         ) IterTimerHook                      
(LOW         ) EvalHook                           
(VERY_LOW    ) TextLoggerHook                     
 -------------------- 
before_train_iter:
(VERY_HIGH   ) StepLrUpdaterHook                  
(LOW         ) IterTimerHook                      
(LOW         ) EvalHook                           
 -------------------- 
after_train_iter:
(ABOVE_NORMAL) OptimizerHook                      
(NORMAL      ) CheckpointHook                     
(LOW         ) IterTimerHook                      
(LOW         ) EvalHook                           
(VERY_LOW    ) TextLoggerHook                     
 -------------------- 
after_train_epoch:
(NORMAL      ) CheckpointHook                     
(LOW         ) EvalHook                           
(VERY_LOW    ) TextLoggerHook                     
 -------------------- 
before_val_epoch:
(NORMAL      ) NumClassCheckHook                  
(LOW         ) IterTimerHook                      
(VERY_LOW    ) TextLoggerHook                     
 -------------------- 
before_val_iter:
(LOW         ) IterTimerHook                      
 -------------------- 
after_val_iter:
(LOW         ) IterTimerHook                      
 -------------------- 
after_val_epoch:
(VERY_LOW    ) TextLoggerHook                     
 -------------------- 
2021-10-17 09:04:41,231 - mmdet - INFO - workflow: [('train', 1)], max: 5 epochs
/usr/local/lib/python3.7/dist-packages/torch/nn/functional.py:718: UserWarning: Named tensors and all their associated APIs are an experimental feature and subject to change. Please do not use them for anything important until they are released as stable. (Triggered internally at  /pytorch/c10/core/TensorImpl.h:1156.)
  return torch.max_pool2d(input, kernel_size, stride, padding, dilation, ceil_mode)
/usr/local/lib/python3.7/dist-packages/mmdet-2.17.0-py3.7.egg/mmdet/core/anchor/anchor_generator.py:324: UserWarning: ``grid_anchors`` would be deprecated soon. Please use ``grid_priors`` 
  warnings.warn('``grid_anchors`` would be deprecated soon. '
/usr/local/lib/python3.7/dist-packages/mmdet-2.17.0-py3.7.egg/mmdet/core/anchor/anchor_generator.py:361: UserWarning: ``single_level_grid_anchors`` would be deprecated soon. Please use ``single_level_grid_priors`` 
  '``single_level_grid_anchors`` would be deprecated soon. '
2021-10-17 09:05:01,399 - mmdet - INFO - Epoch [1][5/827]	lr: 2.500e-03, eta: 4:29:38, time: 3.917, data_time: 0.507, memory: 9645, loss_rpn_cls: 0.0123, loss_rpn_bbox: 0.0100, loss_cls: 2.2307, acc: 58.4863, loss_bbox: 0.1100, loss: 2.3629
# torch의 epoch방식 // batch size를 고려한  827, 1로 하면 3312개 // eta : 종료시간계산 // time  걸린 시간// memory : gpu메모리//      rpn  : rpn찾는 loss,// bbox찾는 loss        //                     main acc //                       main loss

 

 

 

 

 

 

반응형
728x90
반응형
# 런타임->런타임 다시 시작 후 아래 수행. 
from mmdet.apis import init_detector, inference_detector
import mmcv

Oxford Pet Dataset 다운로드

image와 annotations을 압축파일로 각각 download 수행.

!wget https://www.robots.ox.ac.uk/~vgg/data/pets/data/images.tar.gz
!wget https://www.robots.ox.ac.uk/~vgg/data/pets/data/annotations.tar.gz
# /content/data 디렉토리를 만들고 해당 디렉토리에 다운로드 받은 압축 파일 풀기.
!mkdir /content/data
!tar -xvf images.tar.gz -C /content/data
!tar -xvf annotations.tar.gz -C /content/data

이미지 디렉토리와 annotation 파일 살펴 보기

!ls -lia ./data/images/Abyss*.jpg
!ls -lia ./data/images
!cat ./data/annotations/xmls/Abyssinian_1.xml
import glob
import xml.etree.ElementTree as ET

# annotation xml 파일 파싱해서 bbox정보 추출
def get_bboxes_from_xml_test(xml_file):
  tree = ET.parse(xml_file)
  root = tree.getroot()
  bbox_names = []
  bboxes = []
  # 파일내에 있는 모든 object Element를 찾음. 
  for obj in root.findall('object'):

    bbox_name = obj.find('name').text
    xmlbox = obj.find('bndbox')
    x1 = int(xmlbox.find('xmin').text)
    y1 = int(xmlbox.find('ymin').text)
    x2 = int(xmlbox.find('xmax').text)
    y2 = int(xmlbox.find('ymax').text)

    bbox_names.append(bbox_name)
    bboxes.append([x1, y1, x2, y2])

  return bbox_names, bboxes

get_bboxes_from_xml_test('./data/annotations/xmls/Abyssinian_1.xml')
# (['cat'], [[333, 72, 425, 158]])
!ls -lia ./data/annotations/xmls/Abys*.xml

train, val image/annotation 메타 파일 보기

  • train과 valid 데이터로 나뉠 image와 annotation의 파일명을 가지는 메타 파일
  • train과 valid용 meta 파일을 별도로 만듬.
!cd ./data/annotations; cat trainval.txt
import pandas as pd

pet_df = pd.read_csv('./data/annotations/trainval.txt', sep=' ', header=None, names=['img_name', 'class_id', 'etc1', 'etc2'])
pet_df.head()

img_name	class_id	etc1	etc2
0	Abyssinian_100	1	1	1
1	Abyssinian_101	1	1	1
2	Abyssinian_102	1	1	1
3	Abyssinian_103	1	1	1
4	Abyssinian_104	1	1	1
pet_df['class_id'].value_counts()
37    100
22    100
34    100
32    100
30    100
28    100
26    100
24    100
20    100
35    100
18    100
16    100
14    100
10    100
6     100
4     100
36    100
1     100
3     100
19    100
31    100
29    100
27    100
25    100
5     100
21    100
17    100
15    100
11    100
9     100
7     100
2     100
33     99
23     96
13     96
8      96
12     93
Name: class_id, dtype: int64
pet_df['class_name'] = pet_df['img_name'].apply(lambda x:x[:x.rfind('_')])
pet_df.head()
	img_name	class_id	etc1	etc2	class_name
0	Abyssinian_100	1	1	1	Abyssinian
1	Abyssinian_101	1	1	1	Abyssinian
2	Abyssinian_102	1	1	1	Abyssinian
3	Abyssinian_103	1	1	1	Abyssinian
4	Abyssinian_104	1	1	1	Abyssinian
from sklearn.model_selection import train_test_split

train_df, val_df = train_test_split(pet_df, test_size=0.1, stratify=pet_df['class_id'], random_state=2021)
print(train_df['class_id'].value_counts(), val_df['class_id'].value_counts())
37    90
22    90
34    90
32    90
30    90
28    90
26    90
24    90
20    90
35    90
18    90
16    90
14    90
10    90
6     90
4     90
36    90
1     90
3     90
19    90
31    90
29    90
27    90
25    90
5     90
21    90
17    90
15    90
11    90
9     90
7     90
2     90
33    89
23    87
13    86
8     86
12    84
Name: class_id, dtype: int64 37    10
36    10
17    10
16    10
15    10
14    10
13    10
11    10
10    10
9     10
8     10
7     10
6     10
5     10
4     10
3     10
2     10
18    10
19    10
20    10
21    10
35    10
34    10
33    10
32    10
31    10
30    10
29    10
28    10
27    10
26    10
25    10
24    10
22    10
1     10
12     9
23     9
Name: class_id, dtype: int64
train_df = train_df.sort_values(by='img_name')
val_df = val_df.sort_values(by='img_name')

# ann_file로 주어지는 메타파일은 가급적이면 소스데이터의 가장 상단 디렉토리에 저장하는 것이 바람직. 
train_df['img_name'].to_csv('./data/train.txt', sep=' ', header=False, index=False)
val_df['img_name'].to_csv('./data/val.txt', sep=' ', header=False, index=False)

pet_classes_list = pet_df['class_name'].unique().tolist()
print(pet_classes_list)
# ['Abyssinian', 'american_bulldog', 'american_pit_bull_terrier', 'basset_hound', 'beagle', 'Bengal', 'Birman', 'Bombay', 'boxer', 'British_Shorthair', 'chihuahua', 'Egyptian_Mau', 'english_cocker_spaniel', 'english_setter', 'german_shorthaired', 'great_pyrenees', 'havanese', 'japanese_chin', 'keeshond', 'leonberger', 'Maine_Coon', 'miniature_pinscher', 'newfoundland', 'Persian', 'pomeranian', 'pug', 'Ragdoll', 'Russian_Blue', 'saint_bernard', 'samoyed', 'scottish_terrier', 'shiba_inu', 'Siamese', 'Sphynx', 'staffordshire_bull_terrier', 'wheaten_terrier', 'yorkshire_terrier']
!echo 'train list #####'; cat ./data/train.txt
train list #####
Abyssinian_1
Abyssinian_10
...
yorkshire_terrier_188
yorkshire_terrier_189
!echo ' valid list ###'; cat ./data/val.txt
 valid list ###
Abyssinian_100
Abyssinian_11
Abyssinian_122
...
yorkshire_terrier_185
yorkshire_terrier_190

mmdetection의 중립 annotation 포맷 변환

  • CLASSES 는 pet_df의 'class_name' 컬럼에 unique 데이터로 지정. class id는 tuple(list)형의 CLASSES의 index값에 따라 설정.
  • ann_file로 입력되는 메타 파일을 읽어서 개별 image정보와 ann 정보를 dict로 생성하여 data_infos list에 입력
  • 개별 XML 읽어서 ann 정보를 만드는 것은 get_bboxes_from_xml() 함수 이용.
  • 디버깅용으로 CustomDataset을 만들어서 미리 테스트 하는 방법도 고려.

[ ]

import xml.etree.ElementTree as ET

# 1개의 annotation 파일에서 bbox 정보 추출. 여러개의 object가 있을 경우 이들 object의 name과 bbox 좌표들을 list로 반환.
def get_bboxes_from_xml(anno_dir, xml_file):
  anno_xml_file = osp.join(anno_dir, xml_file)
  tree = ET.parse(anno_xml_file)
  root = tree.getroot()
  bbox_names = []
  bboxes = []

  # 파일내에 있는 모든 object Element를 찾음. 
  for obj in root.findall('object'):
    #obj.find('name').text는 cat 이나 dog을 반환     
    #bbox_name = obj.find('name').text
    # object의 클래스명은 파일명에서 추출. 
    bbox_name = xml_file[:xml_file.rfind('_')]

    xmlbox = obj.find('bndbox')
    x1 = int(xmlbox.find('xmin').text)
    y1 = int(xmlbox.find('ymin').text)
    x2 = int(xmlbox.find('xmax').text)
    y2 = int(xmlbox.find('ymax').text)

    bboxes.append([x1, y1, x2, y2])
    bbox_names.append(bbox_name)

  return bbox_names, bboxes
PET_CLASSES = pet_df['class_name'].unique().tolist()
PET_CLASSES

['Abyssinian',
 'american_bulldog',
 'american_pit_bull_terrier',
 'basset_hound',
 'beagle',
 'Bengal',
 'Birman',
 'Bombay',
 'boxer',
 'British_Shorthair',
 'chihuahua',
 'Egyptian_Mau',
 'english_cocker_spaniel',
 'english_setter',
 'german_shorthaired',
 'great_pyrenees',
 'havanese',
 'japanese_chin',
 'keeshond',
 'leonberger',
 'Maine_Coon',
 'miniature_pinscher',
 'newfoundland',
 'Persian',
 'pomeranian',
 'pug',
 'Ragdoll',
 'Russian_Blue',
 'saint_bernard',
 'samoyed',
 'scottish_terrier',
 'shiba_inu',
 'Siamese',
 'Sphynx',
 'staffordshire_bull_terrier',
 'wheaten_terrier',
 'yorkshire_terrier']
import copy
import os.path as osp

import mmcv
import numpy as np
import cv2

from mmdet.datasets.builder import DATASETS
from mmdet.datasets.custom import CustomDataset

import xml.etree.ElementTree as ET

PET_CLASSES = pet_df['class_name'].unique().tolist()

@DATASETS.register_module(force=True)
class PetDataset(CustomDataset):
  CLASSES = PET_CLASSES

  # annotation에 대한 모든 파일명을 가지고 있는 텍스트 파일을 __init__(self, ann_file)로 입력 받고, 
  # 이 self.ann_file이 load_annotations()의 인자로 입력
  def load_annotations(self, ann_file):
    cat2label = {k:i for i, k in enumerate(self.CLASSES)}
    image_list = mmcv.list_from_file(self.ann_file)
    # 포맷 중립 데이터를 담을 list 객체
    data_infos = []

    for image_id in image_list:
      # self.img_prefix는 images 가 입력될 것임. 
      filename = '{0:}/{1:}.jpg'.format(self.img_prefix, image_id)
      # 원본 이미지의 너비, 높이를 image를 직접 로드하여 구함. 
      image = cv2.imread(filename)
      height, width = image.shape[:2]
      # 개별 image의 annotation 정보 저장용 Dict 생성. key값 filename에는 image의 파일명만 들어감(디렉토리는 제외)
      data_info = {'filename': filename,
                  'width': width, 'height': height}
      # 개별 annotation XML 파일이 있는 서브 디렉토리의 prefix 변환. 
      label_prefix = self.img_prefix.replace('images', 'annotations')
      
      # 개별 annotation XML 파일을 1개 line 씩 읽어서 list 로드. annotation XML파일이 xmls 밑에 있음에 유의
      anno_xml_file = osp.join(label_prefix, 'xmls/'+str(image_id)+'.xml')
      # 메타 파일에는 이름이 있으나 실제로는 존재하지 않는 XML이 있으므로 이는 제외. 
      if not osp.exists(anno_xml_file):
          continue
      
      # get_bboxes_from_xml() 를 이용하여 개별 XML 파일에 있는 이미지의 모든 bbox 정보를 list 객체로 생성. 
      anno_dir = osp.join(label_prefix, 'xmls')
      bbox_names, bboxes = get_bboxes_from_xml(anno_dir, str(image_id)+'.xml')
      #print('#########:', bbox_names)
                  
      gt_bboxes = []
      gt_labels = []
      gt_bboxes_ignore = []
      gt_labels_ignore = []
        
      # bbox별 Object들의 class name을 class id로 매핑. class id는 tuple(list)형의 CLASSES의 index값에 따라 설정
      for bbox_name, bbox in zip(bbox_names, bboxes):
        # 만약 bbox_name이 클래스명에 해당 되면, gt_bboxes와 gt_labels에 추가, 그렇지 않으면 gt_bboxes_ignore, gt_labels_ignore에 추가
        # bbox_name이 CLASSES중에 반드시 하나 있어야 함. 안 그러면 FILTERING 되므로 주의 할것. 
        if bbox_name in cat2label:
            gt_bboxes.append(bbox)
            # gt_labels에는 class id를 입력
            gt_labels.append(cat2label[bbox_name])
        else:
            gt_bboxes_ignore.append(bbox)
            gt_labels_ignore.append(-1)
      
      # 개별 image별 annotation 정보를 가지는 Dict 생성. 해당 Dict의 value값을 np.array형태로 bbox의 좌표와 label값으로 생성. 
      data_anno = {
        'bboxes': np.array(gt_bboxes, dtype=np.float32).reshape(-1, 4),
        'labels': np.array(gt_labels, dtype=np.long),
        'bboxes_ignore': np.array(gt_bboxes_ignore, dtype=np.float32).reshape(-1, 4),
        'labels_ignore': np.array(gt_labels_ignore, dtype=np.long)
      }
      
      # image에 대한 메타 정보를 가지는 data_info Dict에 'ann' key값으로 data_anno를 value로 저장. 
      data_info.update(ann=data_anno)
      # 전체 annotation 파일들에 대한 정보를 가지는 data_infos에 data_info Dict를 추가
      data_infos.append(data_info)
      #print(data_info)

    return data_infos
# 디버깅 용도로 생성한 클래스를 생성하고 data_infos를 10개만 추출하여 생성된 데이터 확인. 
train_ds = PetDataset_imsi(data_root='/content/data', ann_file='train.txt', img_prefix='images')
print(train_ds.data_infos[:10])
[{'filename': '/content/data/images/Abyssinian_1.jpg', 'width': 600, 'height': 400, 'ann': {'bboxes': array([[333.,  72., 425., 158.]], dtype=float32), 'labels': array([0]), 'bboxes_ignore': array([], shape=(0, 4), dtype=float32), 'labels_ignore': array([], dtype=int64)}}, {'filename': '/content/data/images/Abyssinian_10.jpg', 'width': 375, 'height': 500, 'ann': {'bboxes': array([[ 72., 105., 288., 291.]], dtype=float32), 'labels': array([0]), 'bboxes_ignore': array([], shape=(0, 4), dtype=float32), 'labels_ignore': array([], dtype=int64)}}, {'filename': '/content/data/images/Abyssinian_101.jpg', 'width': 450, 'height': 313, 'ann': {'bboxes': array([[ 54.,  36., 319., 235.]], dtype=float32), 'labels': array([0]), 'bboxes_ignore': array([], shape=(0, 4), dtype=float32), 'labels_ignore': array([], dtype=int64)}}, {'filename': '/content/data/images/Abyssinian_102.jpg', 'width': 500, 'height': 465, 'ann': {'bboxes': array([[ 23.,  27., 325., 320.]], dtype=float32), 'labels': array([0]), 'bboxes_ignore': array([], shape=(0, 4), dtype=float32), 'labels_ignore': array([], dtype=int64)}}, {'filename': '/content/data/images/Abyssinian_103.jpg', 'width': 500, 'height': 351, 'ann': {'bboxes': array([[241.,  68., 362., 196.]], dtype=float32), 'labels': array([0]), 'bboxes_ignore': array([], shape=(0, 4), dtype=float32), 'labels_ignore': array([], dtype=int64)}}, {'filename': '/content/data/images/Abyssinian_105.jpg', 'width': 500, 'height': 375, 'ann': {'bboxes': array([[237., 101., 373., 227.]], dtype=float32), 'labels': array([0]), 'bboxes_ignore': array([], shape=(0, 4), dtype=float32), 'labels_ignore': array([], dtype=int64)}}, {'filename': '/content/data/images/Abyssinian_106.jpg', 'width': 1536, 'height': 1024, 'ann': {'bboxes': array([[ 861.,  156., 1302.,  563.]], dtype=float32), 'labels': array([0]), 'bboxes_ignore': array([], shape=(0, 4), dtype=float32), 'labels_ignore': array([], dtype=int64)}}, {'filename': '/content/data/images/Abyssinian_107.jpg', 'width': 500, 'height': 448, 'ann': {'bboxes': array([[ 94.,  76., 275., 271.]], dtype=float32), 'labels': array([0]), 'bboxes_ignore': array([], shape=(0, 4), dtype=float32), 'labels_ignore': array([], dtype=int64)}}, {'filename': '/content/data/images/Abyssinian_108.jpg', 'width': 500, 'height': 404, 'ann': {'bboxes': array([[ 50.,  14., 336., 304.]], dtype=float32), 'labels': array([0]), 'bboxes_ignore': array([], shape=(0, 4), dtype=float32), 'labels_ignore': array([], dtype=int64)}}, {'filename': '/content/data/images/Abyssinian_109.jpg', 'width': 282, 'height': 450, 'ann': {'bboxes': array([[ 81.,   7., 246., 146.]], dtype=float32), 'labels': array([0]), 'bboxes_ignore': array([], shape=(0, 4), dtype=float32), 'labels_ignore': array([], dtype=int64)}}]

 

 

 

 

반응형

+ Recent posts